超导电性

浏览

某些物质在低温条件下呈现电阻等于零和排斥磁力线的性质,这种物质称为超导体。现已发现有28种元素、几千种合金和化合物是超导体(见超导元素及合金和化合物)。目前,超导体在某些科学技术领域中开始进入实用阶段。

超导电性的发现

1908年荷兰物理学家H.开默林-昂内斯液化氦成功,从而达到一个新的低温区(4.2K以下),他在这样的低温区内测量各种纯金属的电阻率。1911年,他发现,当温度降到4.2K附近时,汞样品的电阻突然降到0。不但纯汞,而且加入杂质后,甚至汞和锡的合金也具有这种性质。他把这种性质称为超导电性。

超导体的基本性质

超导体由正常态转变为超导态的温度称临界温度T0。大多数在10K以下,但最近已有所突破。

对于超导体,只有当外加磁场小于某一量值时,才能保持超导电性,否则超导态即被破坏,而转变为正常态。这一磁场值称为临界磁场H0。同样,超导体也存在一临界电流I0。临界磁场与温度的关系为

Hc=H0[1-(T/Tc)2],

式中H0为0K时的临界磁场。

电阻等于零是超导体的最显著的特性。如果将一金属环放在磁场中,突然撤去磁场,在环内就会出现感生电流。金属环具有电阻R 和电感L。由于焦耳热损耗,感生电流会逐渐衰减到零,衰减速度与LR的比值有关,L/R的值越大,衰减越慢。如果圆环是超导体,则电阻为零而电感不为零;因此电流会毫不衰减地维持下去。这种“持续电流”已在多次实验中观察到。

测量超导环中持续电流变化的实验给出,样品铅的电阻率小于3.6×10-2欧姆厘米,它比铜在室温下的电阻率1.6×10-6欧姆厘米还要小4.4×1016倍。这个实验结果表明超导体的电阻率确实是零。

超导体的另一个特征是磁力线不能穿过它的体内,也就是说超导体处于超导态时,体内的磁场恒等于零。超导体的这种排斥磁力线的现象称为迈斯纳效应(理想抗磁性)。

伦敦方程和唯象理论

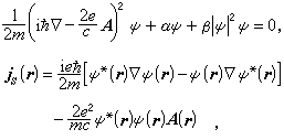
许多事实表明,超导体中的电子由两部分组成,一部分仍与普通导体中的电子相同,称为正常电子,遵从欧姆定律;另一部分具有超导电性,运动时不受任何阻力,称为超导电子。1935年伦敦兄弟根据超导体的这两个基本性质,提出描述超导电子运动规律的方程

, (1)

, (2)

式中Js是超导电流,с是光速,称为伦敦穿透深度,ns是超导电子的密度,me为电子的质量和电荷。如果是直流电流,由方程(1)可直接得出电阻率为零,因此方程(1)反映了理想导电性的事实。由方程(2)可得出在超导体表面附近,磁场是按指数规律衰减的。穿透层的深度约为λ,其数量级为10-6cm。在超导体内部磁场为零。因此方程(2)反映了理想抗磁性的事实。

伦敦方程预言了表面透入层的存在。而且当超导体的尺寸与λ相近时,磁场会透入到样品中心。因此小尺寸超导体不具有完全抗磁性,它在磁场中的能量就比大块超导体低,从而临界磁场会高于大块样品。

另一方面,实验发现,对于锡、铟等超导体,λ的测量值以及临界磁场与样品尺寸的关系,与伦敦理论只是定性的符合,在数量上并不一致,有的甚至定性的关系也不符合。

1953年,A.B.皮帕德根据以前在一系列超导体上所作的微波表面阻抗的测量结果,提出了相干长度的概念,并对伦敦理论作了非局域推广。由超导体中磁场的非局域效应与正常金属中的反常趋肤效应之间的相似性,皮帕德将超导体某点r的超导电流密度表示为

式中RrrA(r┡)为在点r的矢势,ξ0为在纯超导体中的相干长度,λL是伦敦穿透深度,皮帕德相干长度ξP用下式表示

式中l为正常态时超导体电子的平均自由程,α=0.80,因此当lξ0时,ξPξ0;而当lξ0时,ξPαl。这样就能解释超导体穿透深度λ与纯度的关系,以及磁场对λ的影响。

为了解释伦敦理论与一些实验结果之间的矛盾,于1950年Β.Л.京茨堡和Л.Д.朗道在朗道二级相变理论的基础上引入一些假设,提出京茨堡-朗道方程即G-L方程

式中除前面已提到的一些参量外,为序参量,其中嗞(r)为其位相,αß是与温度有关的系数。

唯象的 G-L方程预示出超导体具有的一些宏观量子现象,成功地计算出磁场的穿透深度、界面能、小样品的临界磁场等问题。1959年Л.∏.戈科夫用他自己的关于BCS理论的表述形式,推导出G-L方程,使此方程的正确性进一步得到肯定。

G-L 理论中,引入了一个参量k=λ(T)/ξ(T),称为京茨堡-朗道参量;并可以证明;当时,界面能是正的(皮帕德型超导体);当时,是负的(伦敦型超导体)。

界面能与两类超导体

一般超导体内部磁场为零;但在一定条件下,磁力线也可以进入超导体内部。这种情况下,超导体内部同时存在超导区域和正常区域。在两区域的交界面上,存在附加的界面能。界面能可以大于零也可以小于零,大于零的超导体称为第一类超导体,小于零的称为第二类超导体。当第一类超导体表面某部分(与形状有关)的磁场达到临界磁场H0时,超导体即进入超导与正常区域相间的状态──中间态。这些区域的大小具有宏观的尺寸,数量级为10-2cm。对于第二类超导体,由于界面能为负,超导与正常区域同时存在的状态(混合态)的能量更低。而在HH0时,超导电性才完全消失。这类超导体的超导与正常区域的尺寸可以小到10-7~10-6cm。利用某些第二类超导体制成的超导强磁体;目前已得到广泛应用。

超导电性的微观理论

经典理论对超导电性产生的原因无法解释。在量子论建立不久,F.伦敦就指出,超导环内的磁通是量子化的。因此,超导电性是宏观世界的量子现象。1962年,实验证实磁通是量子化的。

1950年H.弗罗利希指出,金属中电子通过交换声子(点阵振动)可以产生吸引作用。同年的实验发现< T0∞M,其中M为同位素质量,这也表明导致超导电性的相互作用与金属的点阵振动有关。

1956年,L.N.库珀从理论上证明了费密面附近的两个电子,只要存在净的吸引作用,不管多么微弱,都可以形成束缚态──库珀对。第二年,J.巴丁、库珀和J.R.施里弗建立了完整的超导微观理论(BCS理论)。

BCS理论可以导出与伦敦方程、皮帕德方程以及京茨堡-朗道方程相类似的方程,从而可以解释超导电性的各种现象,并且其结果与实验符合得更好。

BCS理论是以近自由电子模型为基础,是在电子-声子作用很弱的前提下建立起来的理论。对于某些超导体,例如汞和铅,有一些现象不能用它来解释。在BCS理论的基础上发展起来的超导强耦合理论,对这些现象能很好地解释(见强耦合超导体)。

约瑟夫森效应

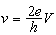
两超导体之间有一薄绝缘层的结构称为超导的隧道结。当绝缘层的厚度只有几十埃时,B.D.约瑟夫森预言,电子对可以越过绝缘层形成电流,而隧道结两端没有电压,即绝缘层也成了超导体。当电流超过一临界值后,结两端出现电压V,同时电流变成高频交变电流,频率为。外加频率为v0的电磁波可以与这个电流作用,使隧道结I(V)特性曲线上在

处产生一系列跳跃。

不仅隧道结具有约瑟夫森效应,弱连接超导体(两超导体之间有某种可以交换电子对的微弱联系的体系)普遍具有这种效应。约瑟夫森效应不仅有重要的理论意义,而且有广泛的应用,超导量子干涉器件(SQUID)就是利用它制作的。

参考书目
  1. 管惟炎、李宏成、蔡建华、吴杭生等著:《超导电性·物理基础》,科学出版社,北京,1981。
  2. 吴杭生、管惟炎、李宏成等著:《超导电性·第二类超导体和弱连接超导体》,科学出版社,北京,1979。
  3. R.D.Parks,Superconductivity,Vol.Ⅰ,Ⅱ,Marcel Dekker,New York,1969.