蒸腾作用

浏览

陆生植物体内的水分以蒸气状态向大气散发(蒸发)的过程。它通过植物地上部的表皮,主要是其上的气孔(器)进行。组成气孔的保卫细胞响应植物体内外条件变化而运动,使气孔开闭,从而引起水蒸气扩散阻力的变化。因此蒸腾作用实质上是生理调节(气孔运动)下的物理过程(蒸发)。

部位

水分可以从植物体与空气接触的任何表面蒸发。藻类的水分可从整个表面蒸发。维管植物的叶表皮除气孔以外的表面被角质层覆盖。气孔与角质层对水蒸气的导性(或其倒数阻力)大小相同,水分散失的速率也大不相同。蒸腾作用可按其发生的部位分为气孔蒸腾、角质层蒸腾和周皮蒸腾。气孔在叶表皮上所占的相对面积 (1%左右)虽然很小,但单位叶面积上数目多、间隔小,所以在气孔开张时扩散阻力不大。气孔内侧的叶肉细胞表面透水性好,海绵组织的细胞排列松散,空隙多,表面积大,水分扩散的阻力更小,所以气孔蒸腾最为重要。角质层富含蜡质,对水分通过的阻力极大;角质膜上有极性小孔,可容许水分通过。当水分多时或pH值高时,单位面积膜上极性小孔数目增多,膜的透性略为增高。周皮蒸腾是木本植物通过茎表面覆盖着的周皮层进行的蒸腾。周皮层已木栓化,透水性很差;只有不多的皮孔和裂隙可允许水蒸气通过。

动力和阻力

蒸腾作用中水分自叶面散失的直接推动力,是叶细胞(主要是叶肉细胞)表面水分的蒸发和水蒸气向大气的扩散。因为扩散是双向的,所以净的推动力是叶细胞表面与大气间蒸气压(分别为e1ea)或水蒸气浓度(分别为C1Ca)之差。一般叶水势变化对蒸气压影响不大,e1总是接近水在叶温(T1)下的饱和蒸气压。而ea则是大气温度(Ta)下的饱和蒸气压乘以相对湿度(图1)。当叶温和气温相等时,e1-ea就是饱和差。由于饱和蒸气压是温度的指数函数,相对湿度相同,高温下的饱和差比低温下大。

图1

与电学上电阻线路类比,可以把蒸腾速率表示为水蒸气浓度差被阻力除所得的商:

     (1)

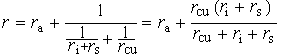
其中E 为蒸腾速率,ρ为水蒸气密度,r为阻力。扩散阻力是由扩散途径中各个部分的阻力组合而成的。与电学上相似,几个阻力串联时的总阻力为各阻力之和,而并联时的总阻力则为各阻力倒数之和的倒数。水蒸气可以自叶肉细胞表面经细胞间隙和气孔向外扩散,其阻力分别为r1rs;也可以通过角质层向外扩散,其阻力为rou。因为气孔阻力与角质层阻力是并联的,所以叶面总阻力为:

  (2)

以图表示,如图2。角质层透水性差,rou通常可以忽略。气孔阻力(rs)大小随气孔开闭而变,开放时很小,关闭时很大。总的阻力则是:

    (3)

其中r为总阻力,ra为叶面上空气中的阻力。当气孔开张时,rsrou相比很小,方程(3)可简化为:

r =r1+ra=r1+rs+ra       (4)

图2

如果考虑水分通过整个土壤-植物-大气系统的运动,则总阻力还应包括茎、根、根际土壤等几个部分的阻力(见植物水分生理)。

影响蒸腾速率的因子

各种环境因子分别影响蒸腾作用的动力和阻力。有些因子对两者都有影响。据J.L.蒙蒂思对蒸腾作用的分析,蒸腾速率(E)可用下式代表:

   (5)

式中Ɗ为饱和蒸气压-温度曲线的斜率,H为总能通量,ρ为水蒸气密度,Cp为定压气体比热,es(T)为温度T时的饱和蒸气压,ra为边界层阻力,r*为干湿球温度计常数的表观值,λ为水的潜热r*r(ra+ rc/ ra),其中r为干湿球温度计常数,rarc分别为边界层与作物群体阻力。气象因子中,温度(T)影响饱和蒸气压es(T),如果绝对湿度相同,则温度升高会加大饱和差。风速提高则湍流交换加强,边界层阻力ra下降。辐射影响热通量。因此这几个因素加强都使蒸腾速率上升。植物内部因素中直接影响蒸腾的,是气孔的开张度。气孔开放使rc减小,于是r*接近rE上升,向自由水面(即rc=0时)的蒸发速率接近。自由水面的蒸发可看作植物群体蒸发的极限值,称为腾发势,它综合地反映了各气象条件的影响,即蒸发需求。实际蒸发速率通常低于腾发势,则是受到叶面阻力的影响。

蒸发需求强而植物根系吸水不足以满足蒸腾需要时,叶片内水势下降。这对叶肉细胞表面蒸气压影响不大,却使气孔收缩以至关闭,因而提高气空阻力rs的作用,并显著降低蒸腾速率。

气孔的构造和开张度对光强、水分状况的响应,因植物种类而异,因而rs与环境因子的关系也各不相同。叶表面有无绒毛既影响边界层厚度,也影响光的吸收,从而影响叶温。热带沙生植物有多种适应干旱、节约用水的形态、生理特点。

各种环境和植物内部因子之间,还有许多交互作用和反馈作用,对蒸腾速率的影响极为复杂。例如凡是增加水蒸气扩散阻力的因素,在使蒸腾速率下降的同时,也使叶温(T)上升,从而提高es(T),增加蒸腾的动力。

蒸腾效率

植物适应于吸收光能和大气中稀薄的CO2(约为万分之三)的需要,演化出扁而薄的叶片,并有数目众多的气孔,便于CO2的吸收,但同时也就便于水分的散失。每形成 1克干物质所消耗的水的克数称为蒸腾系数,或蒸腾比。其数值一般植物为125~1000,其中三碳的禾谷类作物多在500~650,豆科植物为700~800;四碳植物、温带落叶树及针叶树较低,约为200~350;景天科酸代谢(CAM)植物最低,仅50~100。蒸腾系数的倒数是蒸腾效率,或称水分利用效率,即消耗单位重量的水所能生产的干物质重量的单位数。 因其数值常在1%以下,所以有时用每升水所形成的干物质克数(g/L)表示,其数值除CAM植物超过10g/L以外,多在1~8g/L。

蒸腾系数的基础是蒸腾速率(E)与光合速率(P)之比。P可以用与方程(1)类似,但输送方向相反的方程(6)来表示:

       (6)

其中[CO2]a与[CO2]c分别为大气与叶绿体处的CO2浓度,r'为阻力。 r'也可以仿照方程(4)分解为几个组分。但CO2进入叶肉细胞后,还要经过叶肉细胞阻力(r╭),因而与方程(4)相对应的方程为

r'= rá+r▂+r媴+r╭       (7)

而对于水的运动,叶肉细胞阻力可以忽略。此外,CO2的分子量比啹O大,因而rá等阻力也都比ra等阻力大一些。方程(6)右侧的分子中[CO2]a以体积计仅0.034%,[CO2]c则总是大于0,所以二者之差与方程(1)中的e1-ea相比,相差上百倍。推动水分蒸腾的浓度差大,而阻力却小,因而蒸腾速率远比光合速率大,E/P比以摩尔计可在100以上,三碳植物高于四碳植物。

长时间田间试验得到的蒸腾系数通常比用单叶测得的E/P值大得多。 因为前者的水分消耗项还包括土壤的蒸发,因此是腾发,而且干物质累积量受植物非光合器官的呼吸消耗(包括夜间的)的影响,比叶片的净光合量低。

环境条件变化时,e1ea和 [CO2]c变化的方式很不一样,因此E/P比变化很大。如es(T)随温度升高成指数函数上升,[CO2]c因光合进行而降低的程度,随温度升高而增大到光合作用的最适温度为止。因而高温下E/P比大。空气干燥只扩大方程(1)中es(T)与ea的差值,却不影响方程(6)中[CO2]a与[CO2]c的差值,因而也提高E/P比。气孔收缩,虽然rsr▂同样增加,对EP的影响却不相等。因为 CO2输送阻力中多包含一项r╭,所以增加对P的相对影响小于rs的同样增加量对E的影响,因而使E/P下降,对水分利用有利。曾有人根据这个原理,用称为抗蒸腾剂的化学药剂处理叶片,引起气孔收缩或部分覆盖气孔,以降低E/P比。但因药剂维持时间不长或有残毒而未能在农业上应用。

植物结构与蒸腾速率

陆生植物,特别是在干热条件下生长的植物,随时面临失水过多、干枯致死的威胁,曾演化出许多结构与功能特点,巧妙地解决既吸收光能和CO2又不受灼伤或过多丧失水分的矛盾。如气孔深陷,可以增加扩散阻力;植株着生白色绒毛,增加反射;水平叶片在强光下下垂,减少对辐射能的截获,都可以降低叶温从而缩小饱和差。水稻、高粱等植物叶片上有与叶脉平行排列的泡状细胞,在叶片失水时迅速收缩,将叶片卷成圆筒,从而减少蒸腾面积。气孔随植株水势降低或大气饱和差增加而收缩以至关闭(见气孔(器))是最普遍、最重要的控制蒸腾的功能。四碳植物气孔随叶内部CO2上升而收缩的响应有提高水利用率的作用;四碳代谢途径PEP羧化酶与CO2亲和力高,[CO2]c比[CO2]a低得多,也有利于提高水利用率。植物演化的最突出的产物是景天科酸代谢植物。它们的气孔对光照的特殊响应方式(昼合夜开)和CO2固定的特殊途径,使得CO2的吸收在夜间蒸腾需求低的时间进行,大大降低了蒸腾系数。

生理意义

蒸腾作用是陆生植物吸收CO2的同时不可避免地丧失水分的过程。但它能加速植物根系对矿质营养物质的吸收和向地上部的运输(见植物体内运输),和减轻叶温因受辐射而上升的程度,在某些情况下也起有益作用。但根系对营养元素离子有主动吸收功能,不完全依靠蒸腾流。蒸腾流常带入一些无益的阑入元素,在盐渍土上带入盐量过多,浓缩后造成伤害。蒸腾降低叶温也只是物理作用,不像人体出汗那样是体温调节的一部分;有些植物在炎热的中午和下午,因水分亏缺而气孔关闭,蒸腾降低,叶温反而上升。

研究的意义与方法

干旱、半干旱地区农业生产中水的供应是影响产量的主要因素。蒸腾速率的估测对了解植物需水量和水的利用效率有很大意义。对自然植被蒸腾特性的测定,为了解植物种的分布和对干旱条件的适应,提供重要的知识。

测定蒸腾速率的方法,按测定技术分,有测定失水速率的重量法和容量法,和测定空气中水分因蒸腾而增加的数量的湿度计法(湿敏电阻法、红外线分析仪法、干燥剂吸水增重法等);按测定对象分,有测定叶片上小面积的蒸腾速率的气孔计法,测定单枝经毛细管吸水速率的方法,以及测定整片植物群体及土壤的腾发速率的腾发计(或称蒸散计)法。还有利用空气动力学原理测定植物群体上方湿度剖面,结合风速剖面或热平衡数据计算群体腾发速率的微气象学方法。对单叶蒸腾速率的测定可用于研究蒸腾受生理状况和环境条件的影响,但用于估算田间作物的耗水量时,还须考虑群体内各层叶片微气象条件的不同。

参考文章