固结和次时间效应

浏览

饱和土在载重作用下,变形一般有两种时间效应。一是孔隙中的水逐渐逸出,导致土孔隙体积缩小,这一过程称为固结;二是土骨架随时间缓慢变形,这一时间效应称为次时间效应。最初人们认为土体的变形、地基的沉陷主要是由固结这一时间效应引起的,而次时间效应则是次要的,因此,人们称前者为主固结,而把后者称为次固结。

固结理论

奥地利学者K.泰尔扎吉(又译太沙基)于1923年首先提出单元固结理论,或称主固结理论。这一理论的基本假定是:

(1)土体是均质和完全饱和的;

(2)土的渗透系数不变;

(3)土颗粒和水均为不可压缩体;

(4)外载重是瞬时加到土体上的,并在固结过程中保持恒定;

(5)土体的应力与应变呈线性关系;

(6)在外力作用下,土体中只引起上下方向的渗流与压缩;

(7)土中渗流服从达西渗流定律;

(8)土体变形完全是由孔隙水排出和超静水压力消散引起的;

(9)土骨架的变形没有时间效应。根据上述假定,他导出单向渗透固结的微分方程式如下:

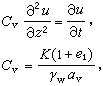
公式 符号

式中u为孔隙水压力;K为土的渗透系数;e1为土层固结前的初始孔隙比;γw为水的容重;av为土层的压缩系数;Cv为固结系数。根据上式,结合初始条件和边界条件,当已知土层中任一点在某一时刻的孔隙水压力值u后,就可算出该点的孔隙比的变化,从而可确定土层总厚度的变化,即预测土层的变形随时间的增长过程。

泰尔扎吉的理论主要是以孔隙水压力消散为依据的,而没有考虑土骨架蠕变引起的次时间效应,因此,与实际有出入。实践表明,对粘土层,特别是软土和淤泥层,由次时间效应引起的沉陷量在总沉陷量中所占的比重很大。因此,许多学者,如美国的D.W.泰勒(1940)、M.A.毕奥(1956),中国的陈宗基(1953~1957)、英国的R.E.吉勃逊(1961)等在这方面通过研究,改进了泰尔扎吉的固结理论。

次时间效应

陈宗基最先考虑了土骨架蠕变引起的次时间效应,并建立了三向固结理论。他早年通过系统的粘土流变试验,发现土的次时间效应,并建立了三向固结理论,这一理论认为,次时间效应是由下面两个原因引起的:

(1)偏应力(或剪应力)引起土骨架的粘滞剪切流动;

(2)球应力产生体积蠕变的延滞作用是由于土骨架本身的粘弹性性质引起的,同时也是由于孔隙水挤出的延滞作用产生的。对于沉陷初期,这一理论和泰尔扎吉理论比较接近,但对于长期沉陷,两者差异较大,陈的理论比较符合实际。特别是对于淤泥、软土层更是如此。

参考书目
  1. K.太沙基著,徐志英译:《理论土力学》,地质出版社,1960。(K.Terzaghi,Theoretical Soil Mechanics,John Wiley &Sons,New York,1943.)
  2. 黄文熙主编:《土的工程性质》,水利电力出版社,北京,1983。