[拼音]:wenqiuliguan
[外文]:Venturi tube
测量流体压差的一种装置,是意大利物理学家G.B.文丘里发明的,故名。文丘里管是先收缩而后逐渐扩大的管道。测出其入口截面和最小截面处的压力差,用伯努利定理即可求出流量。
文丘里管由以下各部分组成:
(1)入口段:一个短的圆柱段,其直径为D;
(2)收缩段:形状为一锥形管,锥角约为21°±2°;
(3)喉道:一个短的直管段,直径约为(1/3~1/4)D,长度等于管径;
(4)扩散段;锥角为8°~15°的锥管。距入口段末端(0.25~0.75)D处有一个测压环,上面至少有4个测压孔,测压环通向压力计。此外,在喉道中央处也有一个多孔道的测压环通向压力计。通过压力计的刻度或自动记录仪可测出入口截面同最小截面(即喉道截面)处的压力差。
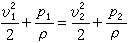
设入口截面处和喉道处的平均速度、平均压力和截面积分别为v1、p1、S1、和v2、p2、S2;流体密度为ρ。应用伯努利定理和连续性方程并注意到平均运动的流线是等高的,可得出:
S1v1= S2v2=Q,
。
由此可得计算流量Q的公式:
。
知道ρ、S1、S2并测出p1-p2后,可以根据上式求出流量Q。
文丘里管主要优点是装置简单;其次,由于它的扩散段使流体逐渐减速,减小了湍流度(见湍流),所以压头损失小,不超过入口和喉道间压差的10%~20%。