[拼音]:juyixichun suojiaquan
[外文]:polyvinyl formal
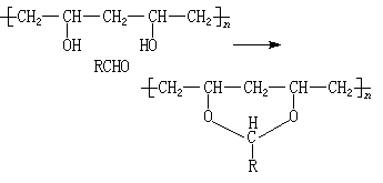
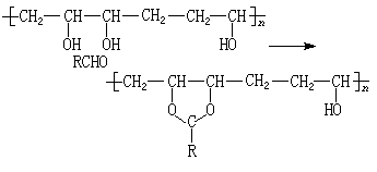
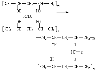
聚乙烯醇和甲醛的缩合物。聚乙烯醇与醛的缩醛化反应可能有反应式(1)~(3)三种。一般,缩醛化反应主要在分子内部进行,生成六元环结构,如式(1)所示,但是分子之间的交联反应以及生成五元环缩醛化物的反应也会发生,如式(2)、(3)所示。
(1)
(2)
(3)
聚乙烯醇缩甲醛的性质和用途,随着聚乙烯醇原料、制造方法和缩醛化程度的不同而有很大差别。工业上最主要的用途是制作维纶纤维。
维纶纤维是由完全醇解的聚乙烯醇合成的,它的平均聚合度为1700~1800。1924年德国W.O.赫尔曼和W.黑内尔首先制得了聚乙烯醇,1934年德国制得了水溶性聚乙烯醇纤维,1938年日本樱田一郎研究成功热处理和缩醛化技术,提高了纤维耐水性,扩大了在纺织工业中的应用范围。1948年维纶纤维问世,1950年日本建成了第一个生产装置,此后产量迅速上升。60年代以后,朝鲜民主主义人民共和国、中国、联邦德国、苏联、南朝鲜等相继生产,目前以中国、朝鲜民主主义人民共和国、日本的产量最大。
工业上维纶纤维的制造是将聚乙烯醇溶于水中,制得15%左右水溶液,通过0.07毫米左右孔径的喷丝头,在饱和的硫酸钠水溶液凝固浴中制得纤维,再经拉伸及热处理,提高强度及耐热水性;然后在催化剂硫酸存在下,与甲醛进行缩醛化反应,温度约70℃,时间20~30分钟,经水洗,上油即得维纶纤维。维纶纤维有短纤维、丝束及长丝等品种,其中以棉型短纤维及丝束最为普遍。
维纶纤维相对密度1.26~1.30,软化点220~230℃,水中软化点110℃;棉型短纤维的纤度1.4旦(定长9000米质量1克为1旦);干湿强度分别为5.4克力/旦、4.3克力/旦,干湿伸度分别为16.5%、17.5%,杨氏模数550千克力/毫米2,弹性恢复率(3%)70%。维纶纤维的特点是强度高、韧性好、耐磨、耐酸碱、湿强度高、不怕霉蛀等;缺点是弹性、染色性和尺寸稳定性较差。维纶纤维主要用来制作衣服,也可用于制造各种缆绳,帆布,农用防风、防寒纱布等。
聚乙烯醇缩甲醛除用于维纶纤维外,还可用作发泡剂、研磨材料、胶粘剂、电气绝缘材料等。