对苯二酚

浏览

又称氢醌,或称1,4-苯二酚。分子式1,4-C6H4(OH)2对苯二酚为无色结晶;熔点173~174℃,沸点285℃(750毫米汞柱),密度1.328克/厘米3(15℃);溶于醇、醚和热水,微溶于苯。对苯二酚是一种强还原剂,弱的氧化剂即可将它氧化成对苯醌,在碱性溶液中反应极快:

公式 符号

这是一个可逆反应,反应平衡的位置与氢离子浓度的平方成比例,在电解池内可以产生一个电极势,并对pH非常敏感。由于这个性质,一度曾用它来测定溶液的pH值。用三氯化铁氧化对苯二酚生成的对苯醌,可与对苯二酚结合成1:1的分子络合物(见配位化合物),称作醌氢醌,继续氧化,则生成对苯醌:

公式 符号

对苯二酚与苯甲醛缩合反应

公式 符号

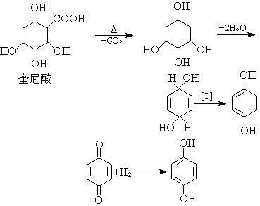
对苯二酚最初是从干馏或者用氧化铅氧化1,3,4,5-四羟基环己烷羧酸(也称奎尼酸)制得。对苯醌经过氢化也能得到对苯二酚:

公式 符号

工业上是将苯胺先氧化成对苯醌,然后再还原成氢醌。对亚硝基苯酚与羟胺反应,也是一种制取对苯二酚的方法:

公式 符号

对苯二酚可作显影剂和抗氧剂