[拼音]:kangyangji
[外文]:antioxidant
一些能够抑制或者延缓高聚物(见高分子化合物)和其他有机化合物在空气中热氧化的有机化合物。例如,食品容易氧化变质,可以加入少量抗氧剂以延长它们的储存时间。塑料、合成纤维和橡胶等高分子材料容易发生热氧降解反应(见高分子热降解),加入抗氧剂可以保持高分子材料的优良性能,延长使用寿命。
有机化合物的热氧化过程是一系列的自由基链式反应。在热、光或氧的作用下,有机分子首先在最薄弱的化学键上发生断裂,生成活泼的自由基 R·和氢过氧化物。氢过氧化物ROOH发生分解反应,也生成烃氧自由基RO·和羟基自由基HO·。这些自由基可以引发一系列的自由基链式反应,最后导致有机化合物的结构和性质发生根本变化。
抗氧剂的作用是消除刚刚产生的自由基,或者促使氢过氧化物的分解,阻止链式反应的进行。能消除自由基的抗氧剂有芳香胺和受阻酚等化合物及其衍生物,称为主抗氧剂;能分解氢过氧化物的抗氧剂有含磷和含硫的有机化合物,称为辅助抗氧剂。
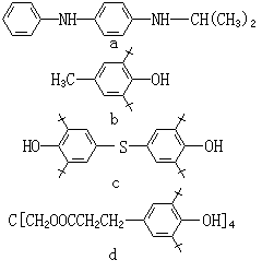
芳香胺类抗氧剂,又称为橡胶防老剂,是生产数量最多的一类,主要用在橡胶制品中,这类抗氧剂价格低廉,抗氧效果显著,但由于使制品变色,限制了它们在浅色和白色制品方面的应用。重要的芳香胺类抗氧剂有:二苯胺、对苯二胺和二氢喹啉等化合物及其衍生物或聚合物。代表性的产品有 N-异丙基-N′-苯基对苯二胺(见结构式a)。产品为灰色至紫色结晶,熔点为 70℃以上,可用在天然橡胶、丁苯橡胶、氯丁橡胶和异戊橡胶等制品中。
受阻酚类抗氧剂是一些具有空间阻碍的酚类化合物,它们的抗热氧化效果显著,不会污染制品,发展很快。这类抗氧剂的品种很多,重要的产品有:2,6-三级丁基-4-甲基苯酚(b),双(3,5-三级丁基-4-羟基苯基)硫醚(c)和四[β-(3,5-三级丁基-4-羟基苯基)丙酸]季戊四醇酯(d)等。四[β-(3,5-三级丁基-4-羟基苯基)丙酸]季戊四醇酯是聚烯烃的优良抗氧剂。受阻酚类抗氧剂主要用在塑料、合成纤维、乳胶、石油制品、食品、药物和化妆品中。
硫代二丙酸双酯是一类辅助抗氧剂,常与受阻酚类抗氧剂并用,效果显著。主要的产品有:双十二碳醇酯、双十四碳醇酯和双十八碳醇酯。亚磷酸酯也是辅助抗氧剂,主要的产品有:三辛酯、三癸酯、三(十二碳醇)酯和三(十六碳醇)酯等,和主抗氧剂配合使用,效果也很好。
抗氧剂的研究方向已转向开发高效多能的助剂产品和反应型抗氧剂。