[拼音]:yichuan pingheng
[外文]:genetic equilibrium
群体中基因频率(某一等位基因在群体所有等位基因中所占的比例)和基因型频率(某一基因型个体在群体总个体数中所占的比例)从一代到另一代保持不变的现象。遗传平衡是群体遗传学的基本概念,根据遗传平衡理论,可以估计遗传学参数,检查遗传学假说,又可由此出发,研究各种进化现象。
一群可以相互交配的个体称为群体。若一个群体符合下列条件:
(1)群体无限大;
(2)随机交配;
(3)没有突变;
(4)没有迁移;
(5)没有任何形式的自然选择;则群体中各基因型的比率从一代到另一代保持不变。这就是由英国数学家G.H.哈迪和德国医生W.魏因贝格于1908年分别推导出来的遗传平衡定律,也称哈迪-魏因贝格定律。
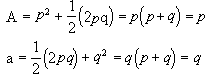
设A和a是等位基因,基因型AA和基因型aa的个体各占群体的一半,那么群体中各基因型的频率是:
它们所产生的配子的频率是:
根据假定,群体中各个体间的交配是随机的,而且又没有自然选择,所以每一个体都为下代贡献同样数目的配子。由于各种配子的频率就是基因的频率,所以如果要计算不同基因型个体的随机交配所产生的后代基因型频率,只要计算各基因即各配子的随机组合的结果即可(表1)。
从而得出子代的三种基因型的频率
子代所产生的配子的频率和亲代的一样
所以可以推论,孙代的三种基因型频率仍然是
依此类推,群体中的基因频率和基因型频率就可以这样一代代保持平衡。如果群体中三种基因型的频率是
p+q=1
那么这个群体已经达到平衡。
因为三种基因型所产生的两种配子的频率是
按原假设,个体间的交配和配子间的结合都是随机的,所以可以得到下面这一结果(表2)。
把相同基因型的频率加起来,得到群体中三种基因型的频率是
这三种基因型的频率跟上代完全一样,对基因来说,群体已经达到平衡。这频率就是该基因的平衡频率。
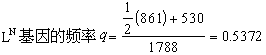
把上述结果概括起来:在一个大群体里如果交配随机,没有突变,没有迁移,也没有自然选择的影响,那么群体中三种基因型的频率就可以一代代保持不变。例如人的MN血型是由一对共显性基因 LM和LN决定,M型和N型个体都是纯合体,MM型是杂合体。在上海居民中调查了1788人,其中397人是M型,861人是MN型,530人是N型。因此
把计算所得的基因频率代入基因型的平衡频率,再乘以总人数得到预期数。从预期数与实得数的比较中(表3)可以看到两者数值相当接近,表明上海居民中MN血型的三种基因型频率处于遗传平衡状态,也说明对于MN血型来讲既不存在着自然选择作用,而且不同血型的人的婚配也是随机的。