气候资料的基本统计

浏览

各气象要素的多年观测记录按不同方式的统计。其统计结果称为气候统计量,又称气候要素。它们是分析和描述气候特征及其变化规律的基本资料。通常使用的有均值、总量、频率、极值、变率、各种天气现象的日数及其初终日期,以及某些要素的持续日数等。

气候统计量通常要求有较长年代的记录,以便使所得的统计结果比较稳定,一般取连续30年以上的记录即可。为了对某区域或全球范围的气候进行分析比较,必须采用相同年份或相同年代的资料。为此,世界气象组织曾先后建议把1901~1930年和1931~1960年两段各30年的记录,作为全世界统一的资料统计年代。在一些气候变化不大的地区,或对于一些年际间变化较小的要素,其连续10年以上的统计结果,也具有一定的代表性。

平均值和总量

平均值 是基本气候资料中最常用的统计量。必须统计平均值的气象要素,有气压、气温、湿度、风速和云量等。日平均值是一昼夜的 24次、8次或 4次观测值的平均数据。候平均值、旬平均值和月平均值,分别为每 5天、10天和30天(或31天)中的日平均值的平均数据。年平均值则为一年12个月的月平均值平均所得的数据。多年平均值为某要素逐年同期的平均值,在相当长(至少连续30年)的时期内平均所得的数据。为了解气候的变化或某气象要素的变化,还常用距平值。它是一系列数值中的个别值与平均值之差。个别值大于平均值者称正距平,小于平均值者称负距平。主要有对多年平均值的偏差、气候要素在某一特定地点的数值与该要素在该地所在纬圈的平均值之差等。

总量

是某气象要素观测值在一定时段内的累积量。如:某年7月的月降水量,就是该年7月1~31日所有各日降水量的总和;某年的年降水量则为该年1~12月各月降水量的总和。统计总量的要素有:降水量、日照时数、蒸发量和辐射量等。

极值

某气象要素自有观测记录以来的极端数值或在某特定时段的极端数值。实际应用的有平均极值、极端极值和一定保证率的极值等三种。平均极值是指对每天观测到的某项极值(如最低温度)进行旬、月、年和多年平均的结果。如北京在1951~1970年的20年间,7月平均最高气温为31.1°C,1月平均最低气温为-10.0°C。极端极值是从某要素在某时段的全部极值观测记录中挑选出的最极端的数值(表1)。如北京在1951~1970年的20年中,极端最高气温曾达到40.6°C(1961年6月10日),极端最低气温为-27.4°C(1966年2月22日)。

表1

气候资料中的极端极值同统计的时段(候、旬、月、年)和记录的年代有关,时段和记录的年代不同,极端极值就可能不同。

在解决许多实际生产任务时,往往不取极端极值,而取某种保证率的极值,如取30年(或50年、100年甚至更长时段)一遇的极值。这种极值是根据一定时间的实测资料,按照数理统计极值频数分配理论计算出来的。

频率

将某气象要素的全部观测序列,按数值大小分成若干组,各组中所含的次数称为频数;各组的频数所占总次数(即各组频数的总和)的百分比即称为频率。将频率按一定顺序逐个累加的结果,称为累积频率。

为表示某地在一定时间内的风向和风速的频率,常用形似玫瑰花朵的风玫瑰图。风向一般用 8个方位或16个方位表示。风向风玫瑰的模量,表示各风向的频率。频率最高,表示该风向出现的次数最多(图1)。风玫瑰图通常有年、季和月等多种,也有按特定风速绘制的风玫瑰,如大于10.0米/秒或小于3.0米/秒的风向风玫瑰等。风玫瑰图可供城市规划、 港口和机场设计、工厂建筑设计以及气候研究等方面使用。

图1

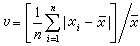
变率

表示气象要素观测资料序列变动程度的数量。气候学中一般用相对平均差(v)表示变率,即:

式中xi为各观测值序列,塣 为多年平均值,n为序列样本数。在气候学中,将上式的分子部分,即距平绝对值的平均称为平均绝对变率,v为以百分率表示的相对平均差,称为平均相对变率,或简称变率。

变率的大小表示该要素年际间变化的程度。降水变率是使用较广的一种统计量,常用来比较不同地区降水的多年变化特征和旱涝特征。例如,开罗和仰光两地降水量的年平均绝对变率虽然都是17毫米,但是年平均降水量却分别为 34毫米和 2540毫米,所以开罗年降水量的平均相对变率为17/34=50%,而仰光则为17/2540=0.68%。这表明开罗年降水量的年际间变化很大;而仰光则很小,年降水量相当稳定。中国大部分地区的降水变率都比较大(表2)。

表2 图2

年变化

气象要素以年为周期的变化。通常以12个月的多年平均值的变化来表示。气候要素受太阳辐射的影响,其年变化主要由地球绕日公转所致。如冬季,太阳直射赤道以南,北半球的太阳高度角小,白昼时间短,地面获得的日射量小;夏季,太阳直射赤道以北,北半球的太阳高度角大,白昼时间长,地面获得的日射量也大;至于春秋两季,地面获得的日射量则介于冬夏之间。这是造成各种气象要素的年变化的主要原因。而地理纬度、海陆分布、大气环流以及地面状况等的不同,则造成了各地气象要素年变化的不同特征。如中国海口、上海、北京的气温、降水和湿度等要素,都有各自的年变化特征(图2)。

气温年变化

气温以年为周期的变化。赤道附近(南北回归线之间)的地区,一年中气温的年变化较小,有些地方出现两个峰值和两个谷值,但在南(北)回归线以南(北)的地区,这种年变化的幅度比赤道附近大,而且在一年之中,气温只有一个峰值和一个谷值。南半球的最高气温一般出现在1月或2月,北半球则一般出现在7月或8月;南半球的最低气温出现在7月或8月,北半球则出现在1月或2月。一年中最暖月的平均气温与最冷月的平均气温之差,称为气温年较差。它一般随纬度的增高而增大,随海拔高度的增高而减小。有时可用它来表示气温年变化的大小。在中国,珠江流域的气温年较差约为16°C,长江中下游为24~26°C,华北达32°C,黑龙江流域最大达44°C以上。

湿度年变化

绝对湿度的年变化和气温相似。在赤道附近的一些地区,一年中有两个峰值和两个谷值,其他地区,绝对湿度的最大值一般出现在夏季,最低值出现在冬季。

气压年变化

在大陆上,气压冬季最高,夏季最低;在海洋上,气压的年变化较小,规律性也不明显。气压的年变化随纬度的增高而增大,赤道附近的年变化最小。此外,气压的年变化还随海拔高度的增高而减小。

日变化

气象要素以日为周期的变化,通常以多年的每日1~24时的逐时平均值表示(图3)。

图3

日变化主要由地球自转所引起。以气温为例,一般在白天,地面受到太阳照射而增温,至13~15时达到最高值,称最高气温。然后,随太阳高度角的减小,气温逐渐下降;日落以后,地面辐射使气温进一步降低,至次日日出之前出现最低值,称最低气温。此外,海陆物理性质的不同和地面状况的差别对气象要素的影响也很大。因此,气温、气压、风速和湿度等的日变化都各有其显著的特征。

气温日变化

气温以日为周期的变化。这种变化离地面愈近愈明显。一般同纬度高低、下垫面情况和季节变化等因素有关,还受当地云量、风速和天气系统等变化的影响。它反映了当地的气候特点。气温日变化的大小,可用一日中最高气温和最低气温的差值,即气温日较差来表示。在中国气温日较差的年平均值,由东南沿海到西北内陆,约从6°C增大至16°C。

湿度日变化

通常,在海洋及其沿岸地区和大陆的湿润地区,绝对湿度随温度的升高和蒸发的加强而增大,其日变化为单峰型。但大陆在暖季时,早晨绝对湿度随着温度的升高和水分蒸发的加快而增大;中午前后温度进一步升高,湍流交换加强,近地面层空气中的水汽被带至高层,地面的绝对湿度减小;午后温度降低,湍流减弱,近地面的绝对湿度再次升高,日变化便呈双峰型。而相对湿度一般则随气温上升而减小,随气温降低而增大。

风速日变化

陆地上风速一般在清晨最小,午后达最大值,以后,又迅速减小。海上风速的日变化则小于陆地,而且最大风速的出现时刻也较陆地迟。

风向日变化

风向日变化主要由温度的周期性日变化所致。一般在山区、海陆交界地区最为明显,如山谷风、海陆风等。风向的周期性日变化,常受天气系统的影响而破坏。

气压日变化

气压在一天中有两个最高值(在9~10时和21~22时)和两个最低值(在3~4时和15~16时),其振幅随纬度的增加而减小。

天气现象日数

在某时段(旬、月、年)内,出现某种天气现象的天数,称为该天气现象的日数(如降水日数、大风日数等)。天气现象的日数反映各种现象在某时段内的频繁程度,是表示某地气候特征的一种统计量。在气候统计分析中,常用的天气现象日数有降水(雨、雪)日数、冰雹日数、雾日数、 沙暴日数、雷暴日数、大风日数等等。

降水日数

通常把一日内降水量达 0.1毫米以上的日子(不考虑降水时间的长短),称为一个降水日,又称雨日。一月或一年内降水日的总数,是相应时段的降水日数。有时,还统计日降水量达10毫米以上的中雨日数、25毫米以上的大雨日数和50毫米以上的暴雨日数。

冰雹日数

冰雹是固态降水物,它是一种灾害性天气,所以在统计降水日数之外,往往还要专门进行统计。只要当日降雹,无论其量是否达到 0.1毫米,均按冰雹日计算。

雾日数

指近地面几米至几百米高度的大气层有雾形成或移来,使水平能见度小于1000米的日数。

沙暴日数

有沙(尘)暴使能见度小于1000米的日数。

雷暴日数

指观测站上既见闪电又闻雷声,或只闻雷声而不见闪电的日数。

大风日数

用仪器测量时,指瞬间风速达到或超过17米/秒的日数;用目力观测时,指风力达8级以上的日数。

初终日数

指某种天气现象在年度内第一次出现和最后一次出现的日期。通常统计初终日期的项目有霜、雪、积雪、结冰,最低气温小于或等于 0°C、地面最低温度小于或等于0°C等各种界限温度和雷暴等。

初日至终日的期间为该现象的出现期。如初霜日至终霜日之间为霜期,其余时间为无霜期。

界限温度

指在农业生产上有指示意义的温度,如0°C、5°C、10°C、15°C和20°C等。0°C表示土壤解冻(冻结)的界限;5°C是大多数木本植物开始(停止)生长的界限;10°C是大多数作物开始(停止)活跃生长的界限;15°C是水稻栽插的适宜界限;20°C是水稻分蘖和迅速增长的界限。一般认为 0°C以上的持续期为温暖期或农事期,5°C以上的持续期为生长期,10°C以上的持续期为生长活跃期等。统计上述界限温度的初终日期和持续的日数,可以供给生产部门以及有关方面参考使用。