共缩聚

浏览

结构不同的两种A-B型或三种以上A-A、B-B、C-C型单体进行的缩合聚合反应。其基本规律和方法都和一般的均缩聚反应相同。通过共缩聚改变了缩聚产物的结构,不但能够改进原有聚合物的性能,而且为合成具有指定结构或序列的高分子材料提供了途径。

共缩聚产物的特点

一般,共缩聚反应得到的共聚物的结构单元序列是无规则的,与均聚物相比,其结晶度和熔融温度都降低,机械强度一般也下降,但柔顺性和在溶剂中的溶解度则增加。共缩聚产物的熔融温度与共聚组成符合P.J.弗洛里推导的关系式:

公式 符号

式中T妔和Tm分别为均聚物和共聚物的熔融温度;ΔHu为1摩尔重复结构单元的熔解热;NA为共聚物中能结晶的A组分的摩尔分数;R为气体常数。

图

的曲线 1表示6T/610共聚物(6T代表对苯二甲酸己二胺盐,610是癸二酸己二胺盐或称耐纶610)的熔融温度随组成的变化。如果两种共聚组分的分子结构类似,链长相接近,缩聚时就形成类似的晶体结构。例如在己二酸和对苯二甲酸中,羰基间的距离分别为5.49埃和5.80埃,得到的6T/66(66表示耐纶66)共聚物的熔融温度随组成的变化如图曲线2所示,共聚物的熔融温度接近于由两组分分别得到的均聚物的熔融温度间连接起来的直线。这时生成的共聚物的结晶组成为同型性,称同型置换共聚物。

有规序列共缩聚物的制备

可以按照经典有机合成方法像合成多肽那样利用活性酯等进行逐步合成;也可以用不可逆缩聚反应(如界面缩聚和低温溶液缩聚)来制得。另外,还可以利用酰胺或酯的交换反应得到嵌段共聚物,例如聚酰胺66与聚间苯二甲酰己二胺混合熔融纺丝时,发生交换反应,生成具有嵌段的共聚酰胺,制得的纤维耐疲劳,模量较高。嵌段共聚物也可以用具有不同官能团的预聚物作为大分子单体。在较短的反应时间内进行熔融缩聚来制得,这种嵌段共聚物的熔融温度比从单体盐制得的无规共聚物高。

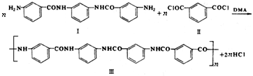
通过共缩聚反应直接合成交替共聚物比较困难,但可以采用分步缩聚来实现,例如先经缩合制得含有间氨基苯甲酰基的二胺(Ⅰ)作为单体,再与间苯二甲酰氯(Ⅱ)进行低温溶液缩聚制得交替共聚酰胺(Ⅲ):

公式 符号

式中 DMA为二甲基乙酰胺。交替共聚酰胺的熔融温度为410℃。而从间氨基苯甲酸、间苯二胺和间苯二甲酸经熔融缩聚得到的是同一组成的无规共聚物,其熔融温度则为310℃。与无规共聚物相比,交替共聚物具有较高的耐热氧化性。

也可以利用官能团的活性差别制备交替共聚物。例如当氨基苯酚与双酰氯进行界面缩聚时,由于氨基和羟基两种官能团的反应性能相差很大,所以氨基先与酰氯反应生成双酚单体,然后再与酰氯缩聚生成交替的聚酯酰胺(熔融温度为125℃):

公式 符号