[拼音]:youji huaxue jiegou lilun
[外文]:structural theory of organic chemistry
阐述形成有机分子的原子在分子中相互结合、相互影响,以及它们与该化合物性质之间的相互关系的学科。
19世纪初期,开始了结构理论的研究。1828年F.维勒和J.von 李比希认识到每一个化合物都有一定的组成。瑞典化学家J.J.贝采利乌斯1827年提出了同分异构现象的概念,并且指出异构体的不同是与分子中各个原子结合的不同而产生的,把这种不同的结合叫做结构。这是结构理论的开端。
原子价学说1858年德国化学家F.A.凯库勒和英国化学家A.S.库珀同时分别引入了原子价的概念,提出了“原子价学说”。并根据碳、氢、氮等元素的原子价,提出在有机化合物中碳原子可以相互结合成链,形成碳链学说。
凯库勒和库珀阐明了无论在简单还是复杂的化合物中,碳原子与其他原子的数目总保持着一定的比例。例如,在甲烷CH4、四氯化碳CCl4、氯仿CHCl3中都是由一个碳原子与四个其他原子结合。凯库勒认为每一种原子都有一定的“化合力”,并且把这种化合力叫做价。假定氢是一价的,则碳在以上四个化合物中都是四价的。凯库勒提出用短线表示原子的价,例如:
用一条长一点的线放在两个相互结合的原子之间,表示其中每一个原子都用了一个价来成键,例如:
凯库勒和库珀给甲烷设计的分子式与现代电子结构式相似。凯库勒和库珀的价键,用现代语言来说就是一对共用的电子对:
在碳原子是四价的概念和价键学说的基础上,凯库勒和库珀阐明了碳原子不仅可以与其他原子结合成键,而且可以互相结合形成碳链。例如,在乙烷中两个碳原子连接成链,其余的六个价键与六个氢结合;在丙烷中三个碳原子连接成链,其余的八个价键与八个氢结合:
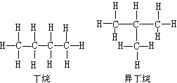
至于丁烷C4H10有两个异构体,可以解释为四个碳原子可以连接成为一个直链,也可以有三个碳原子连接成为一个直链,而第四个碳原子则连接在直链中间的碳原子上形成一个支链,如果每一个碳原子上都有需要的氢原子来满足其四价,则得到符合C4H10的结构式:
碳原子彼此结合时,不仅可以以单键的方式用一价相结合,而且在某些化合物中还可以以双键的方式用两价或以叁键的方式用三价相互结合。这样, C2H4和C2H2的结构式分别为:
当每一个碳原子都以两个键与另外两个碳原子相连接时,则形成一个环状结构,同时每一个碳原子以其另外两价与两个氢结合,也正好满足碳原子四价的要求,例如环戊烷 (结构式如
)。1865年凯库勒又将这个理论应用到芳香族化合物中,提出了在芳香族化合物中,碳原子形成环状结构;并提出苯的凯库勒结构式。
由于当时无法直接测定有机分子静态时的结构,凯库勒认为通过化学反应了解的这些式子只是表示一个分子的化学性能,仅代表某一反应前和反应后结构上的差别。一个化合物可以发生不同的反应也就应该有不同的式子。库珀则在表示有机化合物的结构时,仅仅由元素的原子价概念出发,而忽略了化学性质。因而凯库勒和库珀在结构理论上虽然取得了不可磨灭的功绩,但是他们对分子结构的本质并没有明确的概念。
布特列洛夫的结构学说1861年俄国化学家Α.М.布特列洛夫指出,物质成分中的每一个分子不是原子的简单堆积,而是原子按一定排列顺序的化学结合;原子之间有复杂的化学力相互作用着,这种化学力作用的分配,便叫作物质的化学结构。布特列洛夫明确指出一个分子只有一个结构,由化合物的化学性质可以推断化学结构;反之,通过化学结构也可以预见分子的化学性质。布特列洛夫还通过实践合成了叔丁醇,补足了丁醇四种异构体的一个,进一步验证了结构学说的正确性。
碳原子的四面体结构假说1874年, 荷兰的J.H.范托夫和法国的J.-A.勒贝尔 将旋光异构体(见旋光异构)的数目与空间结构联系起来,提出碳原子具有四面体结构的假说,阐明了碳原子与其他四个原子(或基团)结合时, 碳原子位于一个正四面体的中央,四个原子(或基团)位于四面体的角顶。如果碳原子连接的四个原子(或基团)不相同时,则产生实体和镜像不相同的一对,有旋光异构体存在,产生旋光异构现象。这个假说奠定了立体化学的基础。
几何异构现象理论1887年J.A.威斯利采努斯和1888年A.von拜耳根据范托夫观察到的顺丁烯二酸可以形成酸酐,反丁烯二酸不能形成酸酐,而只有转变成顺丁烯二酸后才能形成酸酐的特点,提出几何异构现象的理论,建立了几何结构的观念。
1885年C.拉尔研究了乙酰乙酸乙酯的特性,明确了互变异构现象。
近代结构学说20世纪20年代,化学工作者将物理学中的电子理论引用到有机化学中。G.N.路易斯认为凯库勒式中一条线代表一对电子,两个碳原子各出一个电子成键,称为共价键,又可称为共享电子对。形成了价键理论和近代结构学说。处理分子结构问题的近似方法中最常用的是电子配对法和分子轨道法:
(1)电子配对法,又称价键法,是在W.H.海特勒和F.W.伦敦处理氢分子的基础上发展起来的。电子配对法认为,自旋相反的成单的电子相互接近时,可以相互配对,形成稳定的化学键。这样构成的化学键叫做共价键。如果一个原子有几个未成对电子,便可以和几个自旋相反的电子相互配对成键,因而一个原子有n个未成对电子,它的化合价数就是n。
自旋相反的两个电子相互结合成键时,成键电子的原子轨道重叠愈多,则电子云密度愈大,形成的共价键就愈牢固。这样,共价键的形成在可能范围内采取电子云密度最大的方向。例如,H的1s电子云与Cl的3px电子云重叠,H和Cl沿x轴相互接近,结合成稳定的分子(图1)。这样形成的共价键叫 σ键,由于轨道重叠的结果,电子云有圆柱状的轴对称。电子配对法也适用于多原子分子,如四价碳化物。
根据泡利原理和量子力学计算,主量子数等于 2时(n=2),价电子可以分为两个副层:在一个副层里有两个s电子,而在另一个副层里可以有6个p电子。s电子的电子云以球形对称分布,它们的轨道在空间没有选择的方向。p电子的电子云具有“8”字的形状,它们的轨道以固定的方式在空间分布,三个p电子轨道的方向,相当于空间垂直坐标的方向(图2)。


碳原子在其基本情态下,有一对ls电子,一对2s电子和两个未成对的2p电子(图3)。在形成化合物时,若仅是这两个未成对的p电子作为成价电子,则形成两价碳的化合物。当碳与其他原子或原子团形成四价碳的化合物时,碳必须在激发态下,一个2s电子跃迁至2p电子层的空位里(图4)。这样,参加四价碳化合物中形成共价键的一个电子是s电子,其余三个是p电子。碳原子在与四个相同的原子或原子团形成化合物时,它的四个价键均匀对称地形成四面体的四个顶角。据此,L.C.鲍林和J.C.斯莱特于1928年提出了著名的原子轨道杂化理论:几个原子轨道可以混杂,经过再分配而组成数目相同、互相等同的杂化轨道。也即:碳原子在激发态下,其s电子和p电子位于相当接近的能级中,不再是相当于个别s电子和p电子,而是相当于它们的某种结合状态,形成sp3电子云,在空间均匀分布着(图5、图6)。这种几个电子轨道重新组成复杂的电子轨道的现象叫做原子轨道的杂化,在杂化过程中形成的新轨道叫做杂化轨道(见彩图)。当碳原子与四个相同的原子或原子团相互结合时,形成的夹角是109°28′。
在图7中示出三个碳原子的四个杂化的原子轨道,用这四个轨道形成C1-C2和C2-C3两个键。这里C2原子右边的轨道(用虚线表示)与 C3原子轨道重叠, 而C2原子左边的轨道(用实线表示)与C1原子的轨道重叠。
在形成烯键的过程中,每个碳原子的一个s电子和两个p电子杂化,形成sp2电子云,与所结合的原子或原子团形成3个σ键,在同一平面里,互成120°夹角(图8)。两个碳原子各自剩余的一个电子,未经杂化,依两个“8”字形的p轨道相互结合,形成π键。形成π键的两个p轨道相互平行, 在与σ键垂直的方向,均等地分布于σ键所占平面的上下(图9)。π 键的电子轨道在它们相互平行时轨道重叠部分最大。沿C─C键旋转则使两个π 电子轨道离开平行状态,因而π电子的结合对旋转有阻碍作用。
在形成炔键的过程中,碳原子以一个s电子和一个p电子杂化形成sp电子云, 与所结合的原子或原子团形成两个σ键,结果形成的σ键在一条直线上,键角为180°。每个碳原子的另外两个p电子与所结合的碳原子的两个p电子结合成对,形成两个π键,在与HCCH直线垂直的方向相互垂直(图10)。
(2)分子轨道理论认为原子相互结合形成分子以后,价电子不再定域于个别原子之内,而运动于整个分子之中。分子轨道理论用原子轨道线性组合表示分子轨道。用状态函数ψ来描述分子中每个电子的运动状态,ψ就是分子轨道。ψ2dτ表示该电子在微体积dτ内的几率,而ψ2则为几率密度(又称电子云密度)。以Ei代表每一个分子轨道ψi相应的能量, 则Ei近似地表示在该轨道上的电子电离时所需的能量。假设分子的总能量E 等于被电子占据着的分子轨道的能量的总和,如果ψi被两个电子所占据,它的能量Ei应该计算两次,即:
式中Ni是在ψi轨道上的电子数目,可以等于0、1或2。
分子轨道是由原了轨道组合形成的。一个填充了的轨道最多能有两个电子。两个能量相同的原子轨道的组合,形成两个分子轨道,其中一个能量比原子轨道能量低,叫成键轨道;另一个能量比原子轨道能量高,叫反键轨道。对于C-C的σ 键,代表原子轨道之间成键的和反键的符号是:两个(+)叶瓣之间的作用是成键(σ轨道);一个(+)和一个(-)叶瓣之间的作用是反键(σ*轨道)。符号不连续。
在这里的描绘中,轨道保持其在杂化原子轨道中的形状,但它们不是定量地代表所形成C─C键中电子密度的分布。这里相互作用的特征是成键轨道和反键轨道之间在对称性上的区别。对垂直于两个碳原子之间的轴的平面,成键轨道是对称的(S),而反键轨道是反对称的(A)(图11)。
用相似的方法可以从孤立的p轨道组成π轨道, 图12 表示两个p轨道相互作用的结果。两个(+)符号之间重叠 ,则这个π键是成键的,写作π(C=C), 而反键轨道,符号不连续或有节点,写作π*(C=C)。
这两种轨道(成键和反键)的区别也在于它们在对称性上的不同。图13里有两个镜面(m2),一个平分轨道(在分子平面里),另一个与 C─Cσ键垂直(与分子平面垂直并平分分子),和一个通过C─C键中心的二重旋转轴c2。借用两个独立的对称操作可以辨明π轨道和π*轨道。π轨道对镜面m2是对称的(S),而围绕c2轴旋转是反对称的(A)。与此相对应的π*轨道对m2是反对称的(A),围绕c2轴是对称的(S)。
两个2pz轨道间的重叠,比包含在σ 相互作用中的重叠小,所以π键也比σ键弱。同时,π与π*能级比σ能级提高,比σ*能级降低(图14)。
用同样的方法也可以处理其他的有机分子,如1,3-丁二烯和苯等分子。
20世纪60年代以来,一方面在量子力学的基础上不断改进分子轨道的计算方法,与计算机相配合,已得到许多准确的数据,如分子中原子上的电子密度、原子间的距离和键角等;另一方面,用近代物理技术的方法测量这些数据,在某些场合,是完全吻合的。1935年开始,化学家们还从热力学的推导和试验的数据,论证了分子中不以价键直接相连的各原子间的相互关系,提出了以单键相连的两原子间的旋转能引起同分异构现象,这部分内容由D.H.R.巴顿于1950年总结在他提出的构象分析的理论之中。为分子的形象提出了新的概念,对许多以前不理解的现象也得到阐明,并且有很强的预见性,在有机化学和其有关科学中,有着极为深远的意义。
- 参考书目
- 高振衡编:《物理有机化学》,人民教育出版社,北京,1982。
- J. B. Hendrickson, D. J. Cram and G. S.Hammond,Organic Chemistry, 3rd ed.,McGraw-Hill, New York,1970.
- L. N. Ferguson,The Modern Structural Theory ofOrganic Chemistry,Prentice-Hall,New Jersey,1963.
- L.Pauling,The Nature of the Chemical Bond, 3rd ed.,Cornell Uuiv. Press, Ithaca, 1960.