磁学

浏览

研究静磁学和电磁学的磁现象以及物质磁性及其应用的学科。一个永磁体或指南针同另一个永磁体是互相吸引或排斥,依它们的相对位向而定。两块邻近的永磁体间的相吸或相斥的力可以很强,容易用手感觉到。有时,一块普通的铁,经过一个永磁体的吸引作用后,也获得了永磁性,在远离永磁体后仍能吸引别的铁块,但往往它只能暂时地具有这性能。

早期发展简史

有些天然铁矿石在采出时就呈现永磁性,其中主要成分为一种氧化铁(Fe3O4,称磁铁矿)的矿石磁性最强,中国古人称它为“慈石”,意为慈爱的石头,隐含了它能吸铁的特性。这名词逐渐转为“磁石”,又转为通俗名称“吸铁石”。古籍中开始出现磁石和磁石吸铁的记述,应该是在对它们已有了较普及的认识之后。在中国的《管子》一书中就有磁石和磁石引铁的记载。管仲约死在公元前 645年。因管子书中杂有他死后年代的事,它常被认为后人假托的书。但即使这样,当也不会晚于战国后期,即公元前4至前3世纪。汉初刘安(公元前179~前122)的《淮南子·览冥篇》中有“若以慈石之能连铁也,而取其引瓦,则难矣……”的记载。东汉王充(公元27~约97)的《论衡·乱龙篇》中有“顿牟掇芥,慈石引针。……”(顿牟即琥珀;芥指芥菜子,统喻干草、纸等的微小屑末)的记述;这些都是以磁石引铁作为比喻来说明哲学或科学观点的记述,所举的事例必是当时一般的读者所熟悉的。欧美的有关科技文献常把磁石吸铁的记载远溯到古希腊的泰勒斯时期,但这是根据亚里士多德的转述;柏拉图的早期对话集中引了苏格拉底的话“……(这石块)不但吸铁环,而且传给它们同样的吸引别的环的本领,而有时你可看见若干铁块和环接二连三地悬成一条颇长的链”。根据这些记述可以认为,西方关于磁的最早记述始于公元前500年左右。

指南针是中国古代的四大发明之一,这在中国已是历史常识了。从磁石引铁的发现到指南针的发明和应用要经过一系列的观察、实验和工艺改进;这必然是一个相当长的历史时期。在中国古书中,有发明很早(见于《韩非子·有度篇》、《鬼谷子·谋篇》等)而后来被指南针取代了的、用磁石制造的司南勺。再者,指南针与反复出现而失传的“指南车”不免混为一谈;指南针又被堪舆之学所利用,它的史实被神秘的色彩所笼罩,所以,指南针是中国的发明这一事实是经过考古学家和科技史家的新近考证和解释才重新被确证的。关键的史实大致如下。北宋曾公亮、丁度等修撰而成书于公元1044年的《武经总要》中有应用磁石的水浮型指南针制法的叙述。沈括的《梦溪笔谈》记述着用丝悬起的或硬滑支点(如碗的边缘)平衡着的铁针做的实验,并说明铁针所指不是正南而微偏东。略晚于沈括的朱彧所著的《萍洲可谈》(约于公元1119年问世)则已提到广州海船在阴晦天气用指南针航海,所记述的应该是11世纪的事。在欧洲,公元1190年以前没有一点关于磁石能指方向的史料,而在这一年航行于地中海的船上却确有了指南针,很可能是由那时期进行中国和阿拉伯间贸易的海船传去的。英国科学家W.吉伯认为它是由马可波罗(1254~1324)或其同时代人带回的,这样反而把这事推后了一个世纪。

静磁现象

永磁体的磁场

一个永磁体与另一个永磁体能够不接触而互相施加力。人们曾经称这样的现象为超距作用。近代的物理学家为了解释电荷之间的和永磁体之间的相互作用力引入了“场”的概念:在一个永磁体周围的空间中存在着一个磁场。使处于这空间中任何位置的另一个永磁体受到磁场所施加力的作用。同时第二个永磁体所产生的磁场也对第一个永磁体施加着反作用力。因为力是矢量,所以磁场是矢量场。许多实验事实都证明,磁场是真实的存在。

一块铁被一个永磁体吸一段时间以后,就被永磁体附近的较强的磁场所“磁化”,也成为一个永磁体了。有时也称磁化一个物体的作用力为“磁化力”。一般的铁块在从磁场较强的地方移到磁场很弱的地方就失掉其磁化了的状态(称为“去磁”或“退磁”),或只暂时地部分保留这状态,稍受震动或温度变化等影响后就失去这种状态。容易磁化、也容易去磁的材料通称为软磁材料,成分近于纯铁的低碳钢就是一个例子;难于磁化(需较强的磁场)、也不易去磁的材料通称为硬磁或永磁体材料,淬火了的、含碳和锰各约1%的铁就是最低级的硬磁材料(见磁性材料)。图2是一个从铁屑堆中提出后的棍形永磁体的照片,铁屑主要密集在棍的端部。如果永磁棍更瘦长一些,则铁屑将更显得集中在棍的两端。磁棍的这两个端部被称为“磁极”。两个永磁体之间的相互作用也就是它们的磁极之间通过磁场的相互作用。

图2 被棍形磁体吸引着的铁屑主要分布在磁体的两端上

用三个以上的永磁体作实验就可证明:

(1)每一个永磁体都有两个性质不同的磁极,通常利用永磁体能指示南北方向,称指北的一极为N极,指南的一极为S极。

(2)同名极相斥,异名极相吸。

把一平而薄的硬纸板安置在磁棍之上,纸板上撒上铁屑;轻弹纸板使微起振动,图3a显示了这样得到的铁屑分布和排列的照片。这是因为每颗铁屑被其所在处的磁场磁化而成一小永磁棍;作用在它两极上的磁力合成一个力偶,力偶使此小磁棍转到与磁场平行的方向,随着这一转动力偶本身减弱到零。铁屑颗粒连接成的曲线显示着磁场中的一条“磁力线”,磁力线的任一小段(点)显示该段所在处的磁场方向。其实,纸板平面内任一点都有磁力线通过,但因所撒铁屑较为稀疏,只形成了不多的曲线或曲线段,正因为这样,才能有个别曲线清楚地显现。

图3 图4 图5

磁力线是很有用的概念。一对异名极间的吸力可以被看作是连接这两极的磁力线的张力;相邻而并行着的磁力线之间存在着斥力。图4a、图4b各示一对异名磁极的和一对同名磁极的磁力线的这种作用(另一对磁极距各图所示的一对甚远)。

历史上曾把永磁体与带电物体相类比而设想磁极是由“磁荷”的分布形成的。不过,这完全是一种类比,实质上磁荷并不存在,而是作为一个等效物而引入的。磁极总是以异名的一对出现在同一磁体上,两个极从来不能分离而独立存在。把一条永磁棍截成两段,就会得到两个短一些的永磁棍,各段新形成的一端上出现一个与该段原有磁极异名的新磁极,如图5a、图5b所示。

细而长的永磁棍的磁极,与粗而短的永磁棍的相比,细永磁棍的磁场较为集中在棍端很小的区域内;对于距一个极足够远的点,该极近似于一个“点磁荷”;如果磁棍很长,两个极相距很远,则与被观察着的极比较,另一极所贡献的磁场可以被视为一小修正项。因此,用细长的永磁棍作样品,就可以对不同磁棍上的两个极的相互作用力进行精密的定量观测。下文用传统的磁荷概念引入静磁场的各物理量及其相互关系,这种方法和目前采用的以磁矩为基础而引入磁场有很大区别,但可收相辅相成之效。

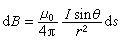
继法国物理学家C.A.de库仑于1785年确立了静电荷间相互作用力的规律──库仑定律之后,他又对磁极进行了类似的实验而证明:同样的定律也适用于磁极之间相互作用,即两个点磁极相斥或相吸的力F与两极的强度(各极所包含的磁荷量)Qm和Q'm的乘积成正比而与两极间的距离r的二次方成反比。按国际单位制(SI),这定律为

上式的矢量形式为F=(μo/4π)(QmQ'm/r3)r;如认定F为Qm作用于Q'm的力,则应取r为从Qm作至Q'm的矢量,故Qm和Q'm同号时,前者对后者的力是斥力。在SI制中磁极强度的单位为“安培米”。这样,上式中的μo/4π是一个已确定了的常量,即10-7亨利/米。μo称为真空磁导率。严格地说,上式只适用于真空,但空气的磁性极弱,只在极精密的实验中需考虑其影响。

图6

从场的概念出发,上式表示了QmP点所产生的磁场作用于Q'm上的力作用在一个单位点磁极(Q'm=1安培米)上的力被定义为磁场的一个基本量B。一个点磁极的B

而前式可改为

设想从O点起在整个 4π立体角内以均匀的密度绘出磁力线,使通过球面每单位面积的平均磁力线数等于 B的值。由于任意数的磁力线作为一个整体被称为“磁通量”,所以B的名称是磁通密度或磁感应强度。

B值虽随r的增大而减小,但从公式所表示的二次方反比关系可看到,不管r取什么值,通过整个球面的磁力线数是不变的,即N=4πr2BμoQm;N是从磁极Qm发出的总磁通量。这个结论不但适用于任一个以 Qm为中心的圆球面,也适用于包围着Qm的、任何形状的闭合曲面。

在SI制中,磁通量的单位为韦伯,磁通密度的单位为韦伯/米2,并有一个特给的名称特斯拉。

B 代表处在磁场中一点上的一个单位磁极所受到的力,通过它可以定义磁标量势。用磁标量势来求解静磁问题是很有效的。

考察均匀磁场中细长磁棍的受力情形,假定磁棒的两极Qm和-Qm是棍两端上的两个点。这时,棍两端受到大小相等、方向相反的一对力的作用,即F=±QmB(图7)这一对力的合力为零,但形成一个力偶而产生一个转矩;转矩的值为QmBlsinθ,其中l为棍的长度、θ为棍与磁场间的夹角;转矩的作用是要使磁棍转往磁场方向。定义矢量M=QmLM(也即L)的方向是从负极至正极,则上述转矩等于MB的矢积,即TM×B;矢量T 垂直于MB,三者的方向关系按右手螺旋定则,即把M转向BT的方向为右手螺旋前进的方向。M称为磁矩,是一个常用的磁学量。

图7

如果永磁棍所处的磁场是不均匀的,则作用在它两极上的磁力就不是相等而相反的,从而有一个合力作用在棍上。它将使磁棍向B的数值增大的方向平移,这就是一个永磁体会吸引另一个永磁体或铁屑的原因。铁屑颗粒的磁矩就是由永磁体的磁场感应而生的。

永磁棍对距它很远(距离比棍长大得多)一点产生磁场的强度同它的磁矩成正比。把磁矩M 除以磁棍体积V=Al(其中A为棍的横截面积),则得磁棍每单位体积的磁矩M=M/Al,它就是磁化强度、是描述材料磁性的一个量。因M=QmL,故Qm=MA,于是M等于分布在磁棍端面的每单位面积上的磁荷。但这只是近似的估计,因为在圆柱形或长方截面柱形的磁棍两端的边缘部分M是不均匀的。

设想把细长永磁棍的长度 l逐渐减短而同时增大其磁化强度,使磁矩M 仍保持有限的值。这样得到的近于一个点的小磁矩就是“磁偶极子”。

指南针和地磁场

用细丝悬着的小永磁棍实质上是一个指南针(图1b)在四周没有磁性物体和电流的影响时,指南针的静止方位接近平行于地理子午线,故有“指南”之称,这是由于地球本身也是一个大磁体,地面上的磁场作用于磁棍所致。地球两个磁极的中心各位于地理的南、北两极(地球自转轴与地面的交点)的附近。在静止位置,指南针北端的磁极称为“指北极”,简称“北极”,南端的为“指南极”,简称“南极”。按这定名法,在地理北极附近的地磁极是磁南极,而在地理南极附近的地磁极是磁北极。

图1 图8

在离地心不到地球半径5倍的空间处,磁场的分布与一个均匀磁化了的球产生的磁场相同。描述地磁场时,可以用球坐标(图8):地面任一点的B可分解为铅垂 (径向)分量Br和水平分量Bθθ为磁纬度)。因地磁两极的中心点与地理的两极不相重,Bθ一般与地理子午线之间有一夹角(α),并取偏东为正值,α即磁偏角。磁偏角在赤道地区是小的,但在高纬度地区可以很大。B与水平面之间的角δ=arctg(Br/Bθ)称为“倾角”。在地磁赤道上,Br=0;在南北地磁极处,Bθ=0。在北京地区,地磁B值为0.548×10-4T,倾角为57°.1,偏角为-6°(西)。

地面上的磁场大部分是由地球的“主场”贡献的。主场来源于磁流体力学的机制:地心内导电性流体的运动和磁场的存在形成一个自行维持着的巨大发电机,磁场与环形电流联系着。在地面上,主场受到局域地壳性质的反常和从地外来的磁场影响,发生不同程度的变化。

地面磁场的强度和方向,都有短期的和长期的变化(包括地磁极的移位)。短期变化(如周日变)的主要原因是高空电离层中的电流;磁暴则与太阳活动相关。长期变化在几十年中并不明显。现时地球两磁极的中心,北半球的在北纬78°.2、西经 102°.9;南半球的在南纬65°.6、东经139°.4。在有大磁暴时磁极中心短期间可移位150公里。由于偏角在地面上的变化,磁罗盘在导航中的应用逐渐地被回转罗盘代替。

地球上空的磁场与电离层中及外来的荷电粒子的运动是互相影响的。磁性岩石和特殊的岩层引起了地面局域磁场的变异。磁性岩浆在地磁场中冷却凝固而获得的剩余永磁性是当时地磁场的一份记录,它显示出几千年来地磁场曾几次改变方向。许多星体也有磁场,影响着它们发射的光和射电波的频率以及偏振。就太阳而言,这样的影响可用于耀斑和其他变异的研究。

磁针可以用于测定磁通量密度。在一磁场中,磁针在其平衡方向左右的小幅摆动(振荡)的周期是与 B的二次方根成反比的,故比较磁针分别在两个磁场中振荡的周期或频率即可求得两 B值之比。如磁针的磁矩和转动惯量是已知的,则可以一次测定B的绝对值。如能把两磁场互相垂直地同时加到磁针上,则从磁针的平衡方向与一磁场的交角就可定两B值之比。

稳恒电流的磁效应

丹麦物理学家H.C.奥斯特早在1820年发现,一条通过电流的导线会使其近处静悬着的磁针偏转,显示出电流在其周围的空间产生了磁场。这是证明电和磁现象密切结合的第一个实验结果。紧接着,法国物理学家 A.-M.安培等的实验和理论分析阐明了载着电流的线圈所产生的磁场以及电流线圈间相互作用着的磁力。

电流线圈的磁场

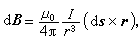
一条通有电流的导线在空间一点所产生的磁场是由导线各个小段贡献的,所以计算整条电流的磁场须根据一小段电流元的磁场的基本公式,再通过对各电流元产生的磁场的积分来完成。这基本公式就是毕奥-萨伐尔定律。

考虑一电流元Ids对空间P点贡献的磁通密度dB;若电流元的中心点为O,从O作一矢径rP点,如图9所示。电流元是矢量,其方向由导线元Ids的方向表出;I为电流的强度,毕-萨定律是:dB垂直于dsr,其值与sinθI和ds成正比、与r2成反比,在图9所示的情况,dB的方向是从纸面到纸背, 故dB可用dsr的矢积来表出。在SI单位制中,毕-萨定律的公式为

其值为

前式中三矢量的方向间的关系符合右手螺旋定则,即设想从ds转向r时右手螺旋前进的方向即为dB的方向。

图9 图10 垂直于直线形电流的一平面内磁力线的分布,由撒于硬纸片上的铁屑显示,右下斜黑条系电线在照明灯下的投影

现举一最简单的例子以说明上式的应用,即一条很长的(看作无限长)通有电流的直导线所产生的磁场。仍用图9,并设想许多电流元 Ids沿虚线一个接一个地向前后延展而形成长线。显然,大小相等而位置不同的电流元对P点磁场的贡献,其值虽随θr的变化而改变,但方向不变,故可对上列第二个公式积分来求全条电流所贡献的B。令P点至线电流的垂直距离为a,由此得

这个公式显然适用于图9平面中任一点,其值只与垂直距离a有关,对于a值相同的点、B值也相同。可见, 围绕线电流的等B值面是以线电流为轴的圆柱面,而在一与电流垂直的平面内的等B值线是以电流为中心的圆,这些圆也就是B的力线。图10所示是一片与线电流垂直相交的平纸板面上由铁屑显示的这样的磁力线,它们都是无始无终的同脑病

B 就是一个单位强度的试探点磁极(设为正的)在场中所受到的磁力。如把这磁极在场中移一小距离ds,则外力所作的功等于标量积-B·ds-BdscosψψB与ds的交角。如把磁极沿某一线路移一大距离,总功为。如沿无穷长直导线的圆形磁力线绕一周而求B的线积分,可从上式立即得到。可以证明:这公式适用于围绕线电流的任意形状的闭合曲线;并可以推广到空间有许多条线电流的场合:I是被该闭合线路所围绕的总电流,此结果称为安培环路定理。如果闭合线路全部处于没有电流分布的单连通空间中,则=0。只有对这部分空间可以引入前述的磁标势来帮助对电流的磁场的计算,但其用处是有限的。在一般的情况下,可以引入一个在数学形式上更复杂一些的磁矢势A概念,并将B变成A的旋度

据D.F.J.阿喇戈和安培等的实验和计算,确立了一条一般的法则:一个形成一小回线的电流圈,从远处看来,相当于一个扁磁体;其磁矩等于IAI为电流,A为回线的面积;磁矩方向(从负极到正极的方向)垂直于回线平面而其与电流方向的关系符合右手螺旋定则。如把这样一个电流圈置于一个均匀的外磁场中,它也像磁针那样受到一转矩的作用,这转矩倾向于使圈的平面垂直于外场。

一个有重要实用价值的例子是通电的螺线管。如管很长而螺线绕得很密,则电流产生的磁通量几乎全部被“封闭”在“管”内,管内的B均匀而且平行于管轴。图11为一螺线管内用铁屑显示的磁场分布。因这例中的螺矩较宽,可看到磁力线“漏”到管外的情况。实用的螺线管的导线当然包有绝缘层而密绕在绝缘的薄管上,可以绕多层。据安培定理(略去漏磁通),管内中段的磁场为BμonIn为每单位长度的圈数。从远处看,螺线管等效于一个永磁棍;因每圈的磁矩为IA,其总磁矩为nlIAA为一圈的平均面积,l为管长);故其每单位体积的磁矩MnI。这样,B=μoM。实用上螺管不必很长,而可以用两端各增加额外圈数的办法来改善管中段磁场的均匀度。

图11 通过螺形电流的轴的一个平面内,由铁屑显示的磁力线分布 电流在磁场中受的力

既然电流产生磁场而能使近旁的磁体受到力的作用,则磁体必通过其磁场同时对电流有反作用力。同理,两个电流间也相互有磁力作用,一个电流元BIds处于磁场B中时所受到的力为dF=Ids×B,dF、dsB的方向间的关系符合右手螺旋定则。

考虑两条平行的长直线电流I1I2的例子,并求作用于I2上的磁力。取直角坐标系,设两电流位于xz平面内,电流方向为+z方向,两电流间沿x轴的距离为 a。电流I1在电流I2处产生的磁场为B=μoI1/2πa、在y方向;故电流I2的每单位长度所受到的力为F=-μoI1I2/2πa、在-x方向,其中负号来自两次应用右手螺旋定则。这样,两条平行而且同向的电流相吸引,两条平行但异向的电流则相排斥。准确测量两条通着等值同向电流的平行导线的相互吸引的力是测定电流单位安培的一种方法。在SI单位制中,常量μo/4π精确地等于10-7亨/米,两条相距1米的平行导线各通着1安培电流时相吸的力等于2×10-7牛顿/米。

磁介质

磁化电流

奥斯特发现电流的磁场后不久,有些物理学家就想到是否有些物质(如铁)所表现的宏观磁性也来源于电流。那时还未发现电子,但关于物质构造的原子论已有不小的发展。安培首先提出,铁之所以显现强磁性是因为组成铁块的分子内存在着永恒的电流环,这种电流没有像导体中电流所受到的那种阻力,并且电流环可因外来磁场的作用而自由地改变方向。这种电流在后来的文献中被称为“安培电流”或分子电流。继安培之后,韦伯对物质磁性的理论又作了不少发展。虽然这些理论离现代理论尚远,但在今天对磁性物质的本质作初步描述时,仍基本上根据安培的概念。

试考虑一个表面绕有螺线管的圆柱形长铁棍,设铁内密集而均匀地分布着分子电流。在退磁状态时铁内各处的分子电流环是随机取向的,即电流环的轴的正向无规地分布于空间,产生的磁场互相抵消。当铁棍受螺线管磁场的作用时,分子电流环的磁矩倾向于与磁场平行排列,只因受热运动影响而有一定的偏离;磁场越强则分子电流环磁矩的平均取向越接近于与磁场平行,这时,棍内任一点附近的分子电流,仍处于互相抵消的状态;但在铁棍表面,分子电流却连成一个大圈,于是其净效果相当于一层表面电流。使铁棍获得相应的磁化强度Mo,图12是铁棍磁化情况的示意图,其中绘着的横截面是假想的,只为了说明在铁内部分子电流被互相抵消的情况。

图12

铁棍上出现的表面电流被“束缚”在物质上,为了清楚地把它区别于传导电流,可以称它为“磁化电流”,传导电流有时也称为“真电流”。磁化电流是铁棍磁矩的来源。令铁棍单位长度的侧面上所环流的磁化电流为I┡, 将这里的情况与上述螺线管相比较,立即可以写出:MI┡。 如果沿铁棍表面任一点的法线从里向外作一单位矢n,则该点的I┡可表为I┡=M×n

如果铁棍的磁化是分区均匀的,则在两个磁化强度不同的区域的分界面上亦会出现磁化电流;而若磁化强度的变化是连续的,则铁棍内就会出现连续分布的磁化电流。

在这种情况,对铁棍内一点,磁化电流与磁化强度变化的关系可用矢量的微分运算的形式表出,即

J)┡是磁化电流密度,它等于M的旋度。

磁场强度

在长螺线管内的磁通量或B比没有铁芯时增大了。对铁芯说来,B 的一部分起着磁化力的作用,因而有必要把它明确地分离出来。为此,人们另外引入了一个磁场的量H,使μoH等于B中减掉μoM后留下的部分

BμoMμoH

于是

Bμo(HM

H被称为磁场强度,它像M 那样是以安培/米为单位的。

电流产生的磁场的B力线都形成闭合的回线,既没有起始点也没有终止点。即B是无源的:墷·B=0,即B的散度为零。又因为全部磁场是由电流产生的,所以,墷·B=0是在任何场合都应满足的条件。

退磁场

理论和实验都证明,只有材料结构均匀的椭球体在均匀的外磁场中能够均匀地磁化。只考虑椭球体的一个主轴与外磁场平行的情况,即使椭球体内部的M是均匀的,这时只有椭球体的表面是M起不连续变化的地方,故可出现磁化电流。这些磁化电流在球体内所产生的磁场仍然均匀并且平行于外磁场。由于这个磁场的方向是与外磁场方向相反的,起着降低球体内磁场强度的作用,故被称为“退磁场”(HD)。极化电流也在球体外的空间中产生不均匀的磁场。

从另一方面看,M在球面的不连续性使在球面的大部分区域出现墷·M0的情况,而因为墷·B=0,故这些区域就有 墷·H┡=-墷·M。这里H┡是球体自身产生的那部分磁场强度,而在球内H┡=HD。墷·M 在现象上相当于“磁荷”的集积而 墷·H0意味着H┡不是无源的;前者就是上文叙述过的虚设的磁荷,而我们现在知道它们只是描述磁化电流作用的一种等效物理量。 磁化率和磁导率

弱磁性物质的磁化强度与磁场强度成正比,即M=ⅹH,系数ⅹ称为磁化率,是无量纲的。从而Bμo(HMμo(1+ⅹ)HμoμrHμr=1+ⅹ 称为相对磁导率,而μ=μoμr称为磁导率。对弱磁样品,ⅹ极小,一般可略去。对于强磁性材料(如铁),μ不再是常数而随H变化。

带电粒子在磁场和电场中的运动

运动电荷的磁效应

直到发现了电子和质子,人们才明确地认识到电是与微小的质点结合着的。于是就进而研究自由运动着的点电荷的磁效应。

一个点电荷相当于电流元qv,其中v代表点电荷的运动速度,如果把Ids换成qv,就可得到:该带电(q)质点在空间任一点产生的瞬时磁通密度为

r为从带电质点到观察点的矢径,要注意,上式只在v比光速小很多而且无加速度时才成立。一个带电质点在磁通密度为B的均匀磁场中运动时所受到的作用力为

Fq(v×B)。

如果带电质点是在同时有电场E和磁场B存在着的空间中运动的,则它所受到的力为

Fq(Ev×B),

这个力被称为洛伦兹力

两个同时运动着的带电质点之间不但有静电力而且有磁力相互作用着。比较一下这两种力的大小是很有意义的。假设在开始运动时,两质点具有平行而等值的速度vv并且垂直于两者间的距离。作用在第二质点(┡)上的瞬时磁力为

同一瞬间的库仑力为 其中, εo=8.85×10-12法拉·米-1。由此得,其中c为光速。这样,当带电质点的速率比光速小得多时,磁力比起静电力是不重要的。通有电流的导线间的相互作用与上例的情况却有差别,导线本身是保持着中性的、静电力不出现,因而电流大时磁力可以显得很强,这是一般电机中的情况。

一个带电q、质量为M的粒子以速度v在一均匀的B场中运动(假设粒子总处于真空中)时,若v垂直于B,则粒子受到的磁力F=qvB无时不垂直于v,故粒子在一垂直于B的平面内作圆运动,F起着向心力的作用。为求圆的半径,令向心加速度v2/r等于F/M,其中r为圆的半径,由此即得r=Mv/qB,于是粒子绕圆心的角速率ω与周期τ分别为:ω=qB/Mτ=2πM/qB。如果所观察的粒子是未知的,就可以用这样一个圆运动实验来测定它的 q/M。发现电子和质子时,就用这样的实验测定了它们的 q/M值。以上结果的另一要点是ωτ不依赖于v。如能在每半周运动之末的瞬间内加大粒子的速度,则圆的半径逐渐扩大而粒子的轨迹变成一卷螺线,但粒子绕行一圈的周期仍不变。回旋加速器的工作原理中即利用了这一结果。

vB间角度为θ的一般情况下,v的平行于B的分量不受磁力影响,故粒子的运动轨迹是一条绕在半径rMvsinθ/qB的圆柱面上的匀(螺)距螺线。采用适当的磁场可以迫使它们(如高温等离子体中的带电离子)局限于一定的空间内而不致扩散;现代的热核聚变实验装置中就这样地应用磁场。磁场又可使带电粒子聚焦,故电子显微镜中就有特殊设计的磁场。

物质的磁性

除了古时已知道的磁铁矿和铁外,人们在两千多年中还没有发现其他具有强磁性的物质。发现钴(1733)和镍(1754)后不久就知道它们也像铁那样具有强磁性。但至少对于钴,确认样品的磁性来自纯钴还是19世纪的事。至于一般的物质在较强磁场作用下能否多少表现一点磁性,则直到M.法拉第在老年时期(约1840)才有系统的观察。英国工程师W.斯特金于1824年创制了电磁体,故那时实验室可有较强的磁场设备,但法拉第在需要高度稳定的磁场时仍用了大的永磁体。

法拉第测量了一样品在不均匀磁场中被磁化时所受到的力,这个方法后来有了不少改进,至今仍广泛用于观测弱磁物质的磁化率,也用于观测铁等强磁物质的饱和磁化强度。现略述最简单情况下的受力情况。一个永久磁偶极子μ在外磁场Be中有势能W=-μ·Be;对于体积较大在不均匀磁场中的样品,此式应改为V为样品的体积。这公式所处理的也是一个磁化状态基本不变的永磁体被置入外磁场的情况。如果样品从未磁化状态开始,逐渐被磁化,并且MH成正比(各向同性的弱磁物质就属于这种情况),则M=ⅹH、ⅹ为常数,略去退磁场后HBe/μ,在这样的情况下,势能为

作用在样品上的力等于势能陡度的负值,通常样品很小,在其内部ⅹ是均匀的,H及其陡度也近似地均匀,故可简化为。在磁场陡度的方向取坐标轴+ξ,则此式又可改为

这公式有基本的重要性,因为几乎所有测磁化率的方法都以此为依据。H和dH/dξ的方向可以不同,但实际测量时只用相平行和相垂直两种情况。如样品测量时处于磁化率为ⅹo的流体介质中,则公式应修正为

法拉第发现,一般的物质在较强磁场作用下都显示一定程度的磁性,只是除了极少数像铁那样的强磁性物质外,一般物质的磁化率ⅹ的绝对值都是很小的。它们又可分为两类:一类物质的ⅹ是负的,称之为抗磁性物质。这些物质在磁场中获得的磁矩方向与磁场方向相反,故在不均匀磁场中被推向磁场减弱的方向,即被磁场排斥;另一类物质的ⅹ是正的,在不均匀磁场中被推向磁场增强的方向,即被磁场吸引,法拉第称它们为顺磁性物质。像铁那样强的磁性显然是特殊的,应另属一类,后来称为铁磁性。这样,在法拉第以后的近百年中,物质的磁性分三大类。

1895年,法国物理学家P.居里发表了他对三类物质的磁性的大量实验结果,实验是在较宽温度范围内作的。他认为:

(1)抗磁体的磁化率不依赖于磁场强度且一般不依赖于温度;

(2)顺磁体的磁化率不依赖于磁场强度而与绝对温度成反比,即ⅹ=D/T(这被称为居里定律,D为居里常数);

(3)铁在某一温度(后被称为居里点)以上失去其强磁性。

19世纪30年代初,法国物理学家L.-E.F.奈耳从理论上预言了反铁磁性并在若干化合物的宏观磁性方面获得了实验证据。1948年他又对若干铁和其他金属的混合氧化物(离子晶体,其中磁铁矿是一典型)的磁性与铁磁性的区别作了详细的阐释,并称这类磁性为亚铁磁性。于是就有了五大类磁性。最近十多年来又有些学者提出了几种磁性的新名称,但这些都属于铁磁性的分支。

抗磁性

多数化合物,特别是有机化合物是抗磁性的,其磁化率很小,以单位体积(1米3)计,在液态和固态的数量级为10-2,在气态为10-8。一般抗磁性的特点是ⅹ不依赖于温度。

图13

法国物理学家P.朗之万于1905年提出了抗磁性和顺磁性的经典理论。但十多年后J.H.范列文证明,朗之万理论中的某些假设不合于经典统计力学原理,及至原子结构的量子论模型兴起后,朗氏的假设又成为可允许的。今天对这两种磁化率的粗浅理论公式已经过量子力学的改正,但还保留着朗之万理论的基本形式。

抗磁性的基本来源是电磁感应。电磁感应是法拉第的重大发现:围绕着随时间变化着的磁通量,有感应电动势(或即电场)产生,故能在导线电路中产生电流或在大块导体中产生涡流。这里感应电流所产生的磁场对感应起它们的磁场变化起着反抗作用,这就是楞次定律。寻常导体中因有电阻,在稳恒磁场的建立过程中感应产生的电流很快被消耗掉,它们只存在瞬时。电磁感应对原子或分子内运动着的电子也有类似的作用。可见,一切物质都有一定的抗磁性,只因它很微弱,易被其他磁性所掩蔽。

显示抗磁性的物质的原子、离子或分子中的电子在基态都是成对的配合了的,它们的自旋磁矩和轨道磁矩各互相抵消。当加外磁场时,由于电磁感应在外磁场B的建立过程中电子将受到作用力使它的运动发生改变,其实际的效果是电子的轨道以角速率ωL=eB/2MeB进动(拉莫尔定理),从而每一电子获得一附加的角动量及相应的磁矩。

超导电性材料在外磁场中被冷至其临界温度以下时,体内即产生电流,把体内磁通量全部排至体外,这就是迈斯纳效应。所以超导体也被称为完全的抗磁体。

磁场也会使固体中的传导电子一方面作微螺旋路线的运动而贡献一部分抗磁性;另一方面,它又使其中少数电子的自旋磁矩从反平行于磁场变为平行于磁场而贡献一部分弱顺磁性。传导电子是服从费密统计法的,故这些磁性都是量子力学的效应。若干简单金属(非过渡的)的磁性就只包含这两部分。由于这些电子的自旋和轨道运动间几乎没有耦合,这两部分磁化率可分别计算。这里先略提抗磁部分。螺旋路线的半径是量子化的,使一个传导能带中的准连续的能级形成简并的“束”、而在高磁场时这些束是可分辨的,称为朗道能级。对最简单形状的能带,略去传导电子间的相互作用的量子统计法计算所得到的抗磁部分的磁化率为

其中N为单位体积中的电子数,μB为玻尔磁子, k为玻耳兹曼常数,EF为费密能量,TF为相当于EF的温度。TF的数量级为104K,在寻常的温度范围,EF极少变化,从而ⅹd近似地不依赖于温度。

磁场不断增强时,不同的朗道能级越过费密能量EF,使态密度N(EF)和磁化率随之起伏,这称为德哈斯-范阿耳芬效应,最早见于金属铋。若主磁场固定而另加适当的高频电磁场于样品,则可引起电子在朗道能级间的跃迁,在共振时有明显的能量吸收,这就是磁共振中的一种。以上两种效应是研究半导体和金属的能带结构的重要手段。这类研究至今还是活跃的。

顺磁性

顺磁性可粗分为强、弱和很弱三种,三者各有不同的来源。过渡金属,即周期表中铁、钯、稀土、铂、铀等元素的化合物(主要是盐类)的晶体或溶液大多表现强顺磁性,其明显的特点是磁化率较强地依赖于温度。

过渡金属原子在基态时大多有一个未被填满的电子壳层,这壳层中的电子按洪德定则配合、可形成一个不为零的合角动量和相应的磁矩。铁、钯、稀土、铂、铀等族的未填满壳层分别为3d、4d、4f、5d、5f;d和f壳层各可容纳10和14个电子。在化合物中,原子的最外层的电子转移到阴离子上去了,剩下的阳离子不甚受环境的影响(离子间距较大时)、其合角动量和磁矩可近于自由地取向,而热骚动将使这种取向随机地分布。

当有外磁场作用一样品时,样品中的离子磁矩倾向于平行外场排列起来,而热骚动则起着破坏这种排列的作用。两种作用在给定的温度下所达到的平衡使样品中的离子磁矩在磁场方向的分量有一个统计的平均值。这就是朗之万顺磁性理论的基本概念。他假设每个原子各有一永久磁矩,原子之间无相互作用,原子磁矩相对于磁场的取向可以连续地变化。令 N为样品单位体积中的离子数,μ为每离子的磁矩。一磁矩μ与外场B的夹角为θ时就有势能-μBcosθ。按经典统计力学,在热平衡下磁矩取向在θθ+dθ之间的离子数正比于

其中k为玻耳兹曼常数,kT表示每离子的平均热骚动能量。令M为磁化强度而单位体积磁矩的饱和值为Mo=,即全部离子磁矩平行排列时的合磁矩。简单的计算给出M/Mo=L(x),x=μB/kT;从而得样品的磁化率ⅹ=M/H=(μo/B)L(x),其中L(x)=cot hx-1/x称为朗之万函数。x1时,即磁场不很强、温度不很低时,L(x)≈x/3,于是ⅹ≈μo2/3kT,即ⅹ与T成反比,与居里定律一致。

按量子论,在多数场合,离子的未填满壳层中电子的角动量符合于罗素-桑德斯耦合 (即LS 耦合)。离子的磁矩为μ=-gJ啚(e/2M e)=-gJμB,其中J啚为离子的合角动量,而

即前述的g因子,也即朗德g因子;S啚和L啚各为离子的自旋和轨道角动量,二者合成J啚。这里的g所以如此复杂是由于g因子在电子自旋磁矩为gs=2,而在轨道磁矩为gl=1。离子的合磁矩也因此并不平行J啚,这里所取的μ实为合磁矩在j啚方向的分量,垂直分量因绕j啚高速进动,其平均值被假设为零了。SLJ的值由LS 耦合的具体情况决定。在外磁场中,J啚相对于B的取向是量子化的,故磁势能变为-μ·BgμBBmJ ,其中磁量子数 mJ只能取JJ-1、J-2、…-(J-1)、-J 等 2J+1个值。磁化率的计算与上述的相似,惟由求和代替积分。所得结果为ⅹ=(μo/B)BJ(x),x=μB/kTμ=-gJμB,其中BJ(x)=[(2J +1)/2J]coth[(2J+1)/2J]x-(1/2J)coth(x/2J)称为布里渊函数。在x1范围,,故ⅹ对T-1的标绘图为一段直线,相应于居里定律。在许多化合物中,ⅹ的数量级为109T-1,其常温值比抗磁磁化率大得多。 一种特殊情况是 L=0, 故 JSg=2而μ=-2B。图14是一组较近期的实验结果与理论曲线的比较。这里的三种离子或因原在L=0的基态,或因受邻近离子所形成的不对称强电场(在晶体中称为晶场)的“抑制”、轨道磁矩对样品的磁性完全没有贡献。故实际上JS。实验与理论良好符合的 B/T值范围异常地广。实验所用外场的最大磁通密度为5T左右。

图14

弱顺磁性是指传导电子贡献的一部分顺磁性,也称泡利顺磁性。在一般温度下,传导带中在EF以下的能态几乎都被占满了,每态有一对自旋反平行的电子。在磁场的作用下,绝大多数磁矩反平行于B的电子不能改变能态而重行取向,因为邻近的能态都被占了。只在EF处约2μBB能量范围内的电子有可能改变能态而重行取向。这些电子的数目与带内电子总数之比约等于kT/kTFT为样品的温度。略去电子间相互作用的量子力学计算得到的磁化率为ⅹp=(3/2)(μoB2/kTF)。ⅹp恰好是上述抗磁部分ⅹd的绝对值的三倍。因TF约104K,这些磁化率的值比上述来自未满电子壳层的顺磁磁化率小一二个数量级。这样小的磁化率的实验观测是相当难的,且用传统的方法所测得的磁化率是顺磁和抗磁两部分之和,包括离子实所贡献的抗磁部分在内。不过,用磁共振方法可独立估计出顺磁部分的贡献,因顺磁共振吸收线来自电子自旋。

有些原子核具有自旋角动量和磁矩。极弱顺磁性就是核自旋贡献的。在外磁场中,核磁矩倾向于平行于磁场排列,破坏这种倾向的还是热骚动。如果在上文从布里渊函数求得的磁化率公式中,用核磁子μN、因子gN和核的总角动量量子数I代换各相应的数;即可得核顺磁磁化率: 其中gNμNI为核磁矩。对于每千摩尔,ⅹN的数量级为10-8T -1;对固态氢,在1K时可超过电子抗磁性。核顺磁的直接观测也仅曾对固氢作过,现在则用更灵敏的磁共振技术。

铁磁性

铁磁性物质的最明显的特点是易于磁化,它的磁化率比强顺磁物质要高几个数量级,并随磁场强度而变。磁化强度有饱和现象,即在一定温度下达到某强度时有不再随磁场的增强而增的趋势。

铁磁材料在不很强的磁场范围的磁性观测一般不用法拉第、居里等方法而用感应法。感应法是利用一个变压器,在初级线圈中通过电流以产生磁化铁芯(样品)的磁场。初级电流的变化可以是准静态的或低频率交流,铁芯中磁通量的变化在次级线圈中感应出电动势和电流。可以有两组次级线圈和积分电路分别测定H 和铁芯中的磁通量。现代化的振动样品磁强计等在原理上也属于感应法。

温度对铁磁性的影响很大。铁的强磁性随温度上升而减弱,这一转变温度时消失。这转变温度后来被称为居里温度或居里点。纯铁的居里点为=1043K,在以上铁是顺磁性的,其磁化率的倒数1/ⅹ与温度T成直线关系。

恰在以下, 铁的饱和磁化强度(Ms)随T下降而很陡地上升,但从室温直至液氮温度的广阔范围Ms的上升已是很平缓的;可以把Ms-T曲线的这低温段外插至0K而得一绝对饱和值Mo。在T=1.1时,顺磁性铁的磁化率约为;在T=0.7时,铁的Ms已接近0.8Mo而使一样品磁化到这Ms值所需的外磁场大致为。但如假设这时Ms的产生仍是依靠着外磁场使原来随机取向的原子磁矩排列起来的, 则应预期(设每原子的磁矩约1μB)从而估计得μoH>103T,这比目前技术上能达到的最强长脉冲磁场还高一数量级。这一情况意味着,Ms的形成并非由于外磁场,而是由于物体内原子间的相互作用。实际上当没有外磁场时就已经自发地磁化,只是磁化分成许多小区域,各小区Ms 的方向是无规指向的,因而整体上不显示磁性。外磁场的作用不过是使这种取向状态发生变化,从而整个样品显现出来磁性。按这观点,外磁场不很大时,它对Ms的绝对值的影响极微弱,而可被略去,即Ms基本上是自发的,可被称为“自发磁化强度”。

在朗之万理论之后仅两年(1907),另一法国物理学家P.-E.外斯就从上述那样的考虑提出了一个铁磁性理论模型。他假设原子间使磁矩排列起来的相互作用等效于一个磁场,这磁场与物质本身的磁化强度成正比,即HmWMW为一常数,Hm常被称为分子场,晚近也常用“有效场”一词。在有外场存在时,作用于一个原子磁矩上的总磁场强度被简单地设为Ht=H+WM,相应的磁通密度为

在上述强顺性理论计算所得的公式中用Bt代换B,就可以对铁磁性进行一系列计算。

反铁磁性

原子自旋磁矩受交换作用而呈有序排列的序磁材料中,当交换积分是负值时,自旋磁矩反平行排列的能量最低,并且这时总磁矩在不受外场作用时仍为零,这种磁有序性就是反铁磁性。一些反铁磁材料在强场或低温下可转变成铁磁性材料。

亚铁磁性

原子自旋磁矩受交换作用而呈有序排列的序磁材料中,自旋磁矩反平行排列的能量最低,但出现宏观上未完全抵消的净磁矩,类似铁磁性。这种磁有序性就是亚铁磁性。许多铁氧体的磁性就是亚铁磁性。

参考文章