量子统计法

研究大量服从量子力学规律、处于平衡态全同粒子或粒子系统的统计方法。全同粒子是指互换这类粒子并不导致系统出现新的状态。全同粒子系统可分两类,一类由对称波函数描述的粒子所构成的系统,称玻色系统。近独立粒子玻色系统的每一个量子态上占据的粒子数不限,这种粒子遵循的统计称玻色统计,或称玻色-爱因斯坦统计,是由S.玻色和A.爱因斯坦在1924年先后提出来的。另一类由反对称波函数描述的粒子所构成的系统,称费密系统。这种粒子必须遵循泡利不相容原理,每个量子态上至多只能有一个粒子,它们遵循的统计称费密统计,或费密-狄喇克统计,是由E.费密和P.A.M.狄喇克在1926年先后提出的。

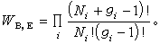
设近独立全同粒子组成的系统具有确定的粒子数 N,能量E和体积V,以εigi分别表示单粒子的第i个(i=1,2,3,…)能级和对应该能级的量子态数(简并度)。

(1)对于玻色系统,由于粒子的不可分辨和每个态上占据的粒子数不限,则给定的Ni个粒子分布在gi个量子态的方式数,等于从Ni+gi-1个元素中选取gi-1个元素的组合数。考虑各能级的结果,就得到对应粒子数分布{Ni}的系统微观状态数

(2)对于费密系统,Ni个不可分辨的全同粒子分布在gi个状态上(每个态上至多只能有一个粒子)的可能方式数,就是从 gi个元素中选取 Ni个元素的组合数,应该等于,则对应粒子数分布{Ni}的系统微观状态数

若任一能级 εi上的粒子数Ni均远小于该能级的量子态数giNi/gi<<1,即绝大多数量子态均未被占据,则可以得到

这就过渡到了玻耳兹曼系统的微观状态数。

利用条件经过计算可得粒子数按能级的最可几分布为

此式分母中的正负号分别对应于费密系统和玻色系统。能级为εp的量子态p上的平均粒子数为

由条件可确定化学势μTN 的依赖关系,是对所有量子态求和。显然,当时,费密分布和玻色分布都过渡到玻耳兹曼分布,所以独立的统计分布只有费密分布和玻色分布两种。

还可以知道,玻色统计中的化学势总是负的(μ<0),而光子气体,由于N不是给定的常数,则μ应等于零。在玻耳兹曼统计中μ也总是负的,且绝对值很大。费密统计中μ可正可负。

在费密和玻色两种分布中,以T、V、μ为独立变量的巨热力势为:

其中Ξ 是巨配分函数(见巨正则系综)。于是系统的热力学性质都可根据热力学公式求得。