[Æ´Òô]£ºdanfenziceng xifu
[ÍâÎÄ]£ºmonolayer adsorption
Îü¸½ÖÊ·Ö×Ó×î¶àÖ»ÄÜÔÚÎü¸½¼Á±íÃæÎü¸½Ò»²ã·Ö×ÓµÄÎü¸½£¬»¯Ñ§Îü¸½¶¼ÊôÓÚµ¥·Ö×Ó²ãÎü¸½¡£
ÀÊçѶûÎü¸½µÈÎÂʽÊÇ×îÔçÌá³öºÍÓ¦ÓÃ×î¹ãµÄµ¥·Ö×Ó²ãÎü¸½µÈÎÂʽ£¬»ù±¾¼ÙÉèÊÇ£º
£¨1£©Îü¸½¼Á±íÃæÊǾùÔȵģ¬Òò¶øÎü¸½ÈÈÓ븲¸Ç¶ÈÎ޹أ»
£¨2£©Îü¸½·Ö×Ó¼äÎÞÏ໥×÷Óã»
£¨3£©Îü¸½Êǵ¥·Ö×Ó²ãµÄ¡£¸ù¾ÝÕâЩ¼ÙÉè¿É´ÓÈÈÁ¦Ñ§¡¢¶¯Á¦Ñ§»òͳ¼ÆÁ¦Ñ§µ¼³öÀÊçѶûÎü¸½µÈÎÂʽ£º
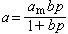
¡¡¡¡ (1)
½«Ê½(1)ת»¯ÎªÖ±Ïß·½³Ì£¬¿ÉµÃ£º
¡¡¡¡ (2)
ʽÖÐaΪÔÚÆøÌ寽ºâѹÁ¦Îªp ʱµÄÎü¸½Á¿£»amΪµ¥·Ö×Ӳ㱥ºÍÎü¸½Á¿£»b ΪÓëζȺÍÎü¸½ÈÈÓйصij£Êý¡£ÓÉʽ(2)¿ÉÖª£¬ÈôÒÔp/a¶Ôp ×÷ͼ¿ÉµÃÒ»Ö±Ïߣ¬ÓÉÖ±ÏßµÄбÂʺͽؾà¿ÉÇóµÃamºÍbÖµ¡£
ÀÊçѶûÎü¸½µÈÎÂʽÄܽϺõشú±íIÐÍÎü¸½µÈÎÂÏß(¼ûÎü¸½£©£¬ËüÖ¸³ö£ºÔںܵ͵ÄѹÁ¦ÏÂÎü¸½Á¿ÓëÆøÌ寽ºâѹÁ¦³ÉÕý±È£»ÔÚѹÁ¦ºÜ´óʱÎü¸½Á¿Îª³£Êý£¬Îü¸½¼Á±íÃæ½üÓÚ±»µ¥·Ö×Ó²ãÎü¸½ÖÊËù±¥ºÍ¡£
ÀÊçѶûÎü¸½µÈÎÂʽ¶ÔÐí¶àʵ¼ÊÌåϵÊÇÊÊÓõ쬵«×Ðϸ·ÖÎöºó£¬·¢ÏÖʵÑé½á¹ûÓëÀíÂÛ¼ÆËãÖµÓвîÒì:ζÈÔ½µÍ£¬Æ«²îÔ½´ó£¬ÕâÊÇÒòΪζȵÍʱ¶à·Ö×Ó²ãÎü¸½µÄ¿ÉÄÜÐÔÔö¼Ó£»Ñ¹Á¦ºÜµÍʱÎü¸½Á¿µÄʵÑéÖµ±È¹«Ê½Ô¤Ê¾Öµ¸ß£¬ÕâÊÇÒòΪI.ÀÊçѶû²ÉÓõļÙÉèÓëʵ¼ÊÇé¿ö²¢²»ÍêȫһÖ£¬¼´Îü¸½¼Á±íÃæºÜÄÑÊÇÍêÈ«¾ùÔȵġ£
µ¥·Ö×Ó²ãÎü¸½Ò»°ã¶¼¿ÉÓÃÀÊçѶûÎü¸½µÈÎÂʽÃèÊö£¬µ«ÄÜÓÃÀÊçѶûÎü¸½µÈÎÂʽ´ú±íµÄÎü¸½µÈÎÂÏß²¢²»Ò»¶¨¶¼Êǵ¥·Ö×Ó²ãÎü¸½¡£ÀýÈ磬΢¿×Îü¸½¼ÁÎü¸½Ê±£¬×î¶àÖ»ÄÜÌîÂú¿×϶£¬¹ÊÓÐ×î´óÎü¸½Á¿Öµ£¬µ«Ëü¿ÉÒÔÐγɶþ»òÈý·Ö×Ó²ãÎü¸½¡£