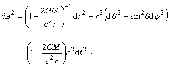
史瓦西度规 中国大百科编者 / 2016-10-28 浏览 [拼音]:shiwaxi dugui [外文]:Schwarzschild metric 天文学家K.史瓦西(见史瓦西父子)于1916年求得的爱因斯坦引力场方程(见引力理论)的第一个严格解。它表征球对称物体所产生的静态引力场的四维时空的度量性质。史瓦西度规的数学形式是: 式中M为物体质量,G为引力常数,c为光速。 史瓦西度规张量gμv表示为: 。 在离开球体足够远(r →∞)时,史瓦西度规即化为通常的闵可夫斯基度规(见度规)。 阅读全文