[拼音]:dexite jingtai yuzhou moxing
[外文]:de Sitter static model
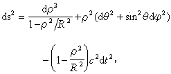
1917年,荷兰天文学家德西特继爱因斯坦之后提出的一个宇宙模型。它与爱因斯坦静态宇宙模型一样,认为宇宙的空间不随时间而变,故属静态型。但是,它又认为宇宙的物质有运动,不过物质的平均密度趋近于零。在这些条件下,求解爱因斯坦引力场方程,得德西特静态时空度规:
式中ρ,θ,嗞是球极坐标,t为宇宙时。由此而得的静态模型为一封闭宇宙。宇宙半径
Λ是宇宙常数。在此宇宙内,存在着由Λ决定的德西特斥力。在斥力作用下,河外星系普遍退行,产生星系光谱的红移。