全息术

又称全息照相术。记录波动干扰的振幅和位相分布以及随后使之重现的技术。广泛地用作三维光学的成像,也可用于声波(见声全息)和射频波。

"全息"是由希腊字"holos"变来的,意即完全的信息──不仅包括光的振幅信息还包括位相信息。

发展简史

1947年D.伽柏从事提高电子显微镜分辨本领的工作。受W.L.布喇格X射线金属学方面工作及F.泽尔尼克的关于引入相干背景来显示位相的工作的启发,伽柏提出了全息术的设想以提高电子显微镜的分辨本领。1948年他利用水银灯首次获得了全息图及其再现象,从而创立了全息术,为此他在1971年获得了诺贝尔物理学奖。

50年代G.L.罗杰斯等人的工作大大扩充了波阵面再现理论。但是由于“孪生像”问题和光源相干性的限制,1955年以后全息术进入低潮阶段。

激光的出现,为全息术的发展开辟了广阔的前景,1961~1962年,E.N.利思等人对伽柏全息图进行了改进,引入“斜参考光束法”一举解决了“孪生像”问题,用氦氖激光器成功地拍摄了第一张实用的激光全息图。这样就使得全息术在1963年以后成为光学领域中最活跃的分支之一。1964年利思等人又提出了漫射全息图的概念,并得到三维物体的再现。与此同时,苏联的物理学家根据李普彩色照相法和伽柏全息法提出了反射全息图的概念。

1965年以来全息术的一个重要分支──脉冲全息术得到了发展,这使得动态全息干涉计量获得了实际应用。

基本原理

1948年伽柏提出了一种全新的两步无透镜成像法──全息术,也称为波阵面再现术。整个过程由两步──波阵面记录和波阵面再现──来完成。

波阵面记录

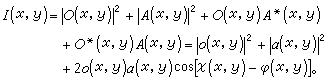
这个过程中,引入适当的相干参考波,使它与由物体衍射(或散射)的光(物光)相干涉,把这干涉场记录下来,即可得到一张全息图。全息图是与物体毫不相似的干涉图,它上面不仅记录了物光的振幅信息而且也把在普通照相过程丢失的位相信息记录下来。记录如图1a所示。设在记录媒质如干板处物光和参考光波阵面的复振幅表达式分别为

由波的叠加原理知,照相干板记录下的总的光强分布是:

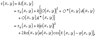
把照相干板(或其他记录媒质)放在(xy)面内曝光,经过显影、定影后,就会把I(xy)以复振幅透过率 τ(xy)的形式记录下来。在一定的条件下τ(xy)∝I(xy)即

式中τo(xy)只和参考光的光强有关;第二项与物光的光强(或振幅)有关;第三项由参考光和物光的位相来决定。这样全息图的复振幅透过率τ(xy)就是对物光振幅和位相的完全记录。

图1 波阵面再现

波阵面记录的结果是得到一张记有物光振幅和位相信息的全息图。波阵面再现过程是利用适当的相干再现光B(xy)照射全息图而得到物的实像或虚像。

用相干再现光B(xy)照射全息图,则透过全息图的光μ(xy)为

通常再现光B(xy)选为A(xy)或A*(xy),

B(xy)=A(xy)时,

如果经适当选择使|A(xy)|2在各处有均匀的分布,则μ4就代表物光O(xy)的再现,即得到物的三维虚像。

B(xy)=A*(xy)时,

同样适当选择A(xy)使|A(xy)|2在各处有均匀分布时,则μ3xy)就代表物光的共轭光,得到物的三维实像。而在这两种情况中的其他各项以均匀背景或畸变像出现。在技术上可以想办法把它们消除或减少它们的影响。

全息图的分类

全息图的种类繁多,有许多不同的分类方法。比如根据记录媒质的厚度与条纹间距之比,可以分为薄全息图和厚全息图;根据复振幅透过率的调制变量的不同可以分为振幅型全息图和位相型全息图;根据记录时物光和参考光的方位情况,可以分为同轴全息图和离轴全息图;根据记录时物光和参考光在干板的同侧还是两侧,可分为透射全息图和反射全息图;还可以根据记录的物体与干板的距离,分为菲涅耳型和夫琅和费型全息图;根据制作时所有光源的性质,又可分为连续波激光全息图和脉冲激光全息图等等。下面简要介绍一下各类全息图。

同轴全息图和离轴全息图

1948年,伽柏利用透明体的透射光为参考光,散射光为物光,记录了第一张全息图──同轴全息图。其原理如图2所示。由于这种全息图再现时有孪生像问题,利思等人引入斜参考光束,就得到了离轴全息图,克服了孪生像问题,如图3所示。

图2 图3 薄全息图和厚全息图

当全息图所记录下来的干涉条纹间距大于记录媒质厚度时,它可以看作是二维光栅结构,称之为薄全息图或平面全息图。否则,全息图可以看作三维光栅结构,称之为厚全息图或体全息图。实际上,一张全息图通常包含着不同间隔的条纹结构,所以它可能同时表现出薄结构和厚结构两种特性来。例如,对于柯达649F干板(厚度≈16微米、n≈1.5)来说,只有在物光、参考光夹角小于10度时,所制作的全息图才是薄全息图。

透射全息图与反射全息图

对于最通常的全息图来讲,物体的像都是由通过全息图的衍射透过光所形成的,这一类全息图称为透射全息图,它是由处于记录媒质同侧的物光和参考光所形成的。

如果记录媒质是浮雕型的,在透射全息图的浮雕表面上镀一层反射膜就能形成一张反射全息图。对于非浮雕型的厚记录媒质,利用分别处于介质两侧的物光和参考光,就能得到更复杂的反射全息图,通常所说的反射全息图多指这后一种。图4给出几种点源全息图的记录位置。当物光与参考光夹角接近180°(图中的位置)时,厚反射全息图的波长选择性最好,因此可以用白光再现。实际上由于乳胶收缩(如卤化银干板)或膨胀(如铵板)再现时像的颜色向短波或长波方向偏移。

图4 振幅型全息图和位相型全息图

根据全息图的形成机理可以知道,它是以某种方式把物光和参考光干涉所形成的驻波场在全息图面上的光强分布I(xy),转化为全息干板(或其他记录媒质)的复振幅透过率τ(xy)。一般τ(xy)可以用下式表示:

(1)

对于银盐照相干板一类的记录媒质,处理后可使φ(xy)为常数,可令为0。则

(2)

具有式 (2)这种由吸收大小决定振幅透过率分布的全息图,叫作振幅型全息图。对于漂白银盐干板、重铬酸明胶板、掺铁铌酸锂等媒质来讲,τ(xy)≈1,则复振幅透过率为

(3)

这一类全息图上只有位相φ(xy)受I(xy)的调制,叫作位相型全息图。位相型全息图具有均匀的透过率,但由于厚度不同或折射率变化而引起入射光的位相变化。它的特点是衍射效率高。表1给出了各种全息图的理论最大衍射效率η

表1 图5 图6 菲涅耳型和夫琅和费型全息图

当二维物体距全息图面zo为有限值时形成菲涅耳全息图(图5),再现时,衍射波复振幅为物波复振幅的菲涅耳变换。若物体为三维分布时,则再现得到三维物体的像,其形成如图5所示。

像全息图可以看作是菲涅耳全息图的一种,它是由物体的像所形成的全息图,其原理如图6所示。

在物体的大小比起它距全息图面的距离小很多时,就得到夫琅和费全息图。再现时衍射波复振幅为物波复振幅的傅里叶变换。在这种条件下形成的全息图叫作夫琅和费全息图。

傅里叶全息图是夫琅和费全息图的一种,它是利用透镜把二维物体成像于无限远处(把物放于透镜的焦平面上),并使用相干的平面波作参考波,这相当于无限远的像与参考波干涉,就得到了傅里叶全息图。此外还有无透镜傅里叶全息图,分别见图7与图8。

图7 图8 计算全息图

一般全息图都是用光学方法制作的。但由于记录媒质的非线性而造成像的失真以及制造过程对技术条件的苛刻要求,使得光学全息图的质量和制作重复性存在不少问题。随着计算机技术的发展,人们开始利用计算机制作一个设想中的物体(无论多么复杂,在原则上都可以)的全息图──计算全息图。它的优点很多,如计算机可与灰阶绘图仪一起使用,特别是在计算全息中常常使用黑白全息图或称为二进位全息图,可使记录媒质的非线性影响降低到相当小程度;另外由于计算机和绘图仪的可靠性,使得计算全息图的重复质量得到了保证;此外对于光学上难以得到的复杂物体,利用计算机可根据其数学表达式作出全息图并得到再现像,从而可以把计算机当作广义的光学元件来使用。因此计算全息一出现就受到普遍重视,在诸如光学空间滤波、检验光学表面、三维计算机显示等方面都获得越来越多的应用。

计算全息图的制作主要包括两个步骤:第一步是计算,利用设想物的数学模型计算出该物波与相干的参考波在全息图面上叠加后的光强分布。这一步也可以不用参考波,不用参考波计算出来的是物波的分布。第二步是绘图,把计算机算出的全息图的复振幅透过率分布用绘图仪绘出,经光学微缩或直接由电子计算机控制电子束绘图机进行绘制,就得到计算全息图。

彩虹全息

彩虹全息术最初是由S.A.本顿提出的。它是用激光记录全息图,用白光透射再现。根据人眼是水平排列的特点,成像只有在水平方向有视差效应。彩虹全息保留了水平方向的物体信息,牺牲垂直方向的物体信息,从而可以降低对照明光源的时间相干性的要求。它将不同波长的光沿着垂直方向色散开来,在不同的高度可以看到不同颜色的假彩色立体再现像。

彩虹全息的衍射光有会聚性能,再现像的亮度较高。采用白光照明光源,可以避免相干散斑纹效应引起的噪声影响。

彩虹全息图是在物体实像附近记录的。根据产生实像的方法不同可分为一步法彩虹全息术和二步法彩虹全息术。二步法彩虹全息术的实像是由作为母片的一般全息图产生的。一步法彩虹全息术的实像是由成像透镜产生的。图9是一步法彩虹全息术的记录光路图。物体通过狭缝经透镜成像。参考光在狭缝的上方(或下方)斜射到干板上。再现时,白光点光源位于记录时参考光源的位置。白光被色散从而将狭缝像成在不同的垂直位置。眼睛在不同高度就看到不同颜色的像。眼睛在水平观察范围内移动,可以看到再现像的立体效果。

图9

全息术的应用

伽柏发明全息术不久,就指出它的三个方面的应用前景即全息干涉量度术、全息光学元件和全息信息存储。随着激光器的问世,这三方面都获得了不同程度的实用化。后来又扩展到全息立体显示、全息变换、特征识别等方面。目前全息术在科技、文化、工业、农业、医药、艺术、商业等领域都获得了一定程度的应用。但是由于种种技术原因,最有效的应用仍是全息干涉量度术和全息光学元件。