[拼音]:dongneng dingli
[外文]:theorem of kinetic energy
动力学普遍定理之一,它给出质点系动能的变化与作用力(包括全部外力和内力)所作的功之间的关系。动能定理有积分形式和微分形式两种。
积分形式的动能定理设质点系中任一质点的质量为mi,受外力的合力F
和内力的合力F
作用,加速度为ai,沿曲线轨迹运动到Q点时的速度为vi(见图)。
根据牛顿第二定律,有:
。 (1)
将式(1)向轨迹的切线方向投影,得mia
=F
,或
。 (2)
因
,
代入式(2)可得:
mividvi=Ficos(Fi,vi)dsi。
上式可以改写为:
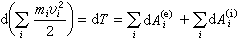
, (3)
式中Ti为质点i的动能;dA
和dA
分别为质点i上外力和内力的元功。对于整个质点系则应为:
, (4)
式中
为质点系的总动能。对式(4)进行积分,可得:
或
, (5)
式中
为质点系在过程开始时的动能;
为质点系在过程结束时的动能;
为外力在此过程中所作功的总和;
为内力在此过程中所作功的总和。
式(5)是以积分形式表示的质点系的动能定理,它表明:质点系的总动能在某个力学过程中的改变量,等于质点系所受的诸外力和诸内力在此过程中所作功的总和。
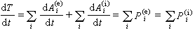
微分形式的动能定理将式(4)两边除以dt,得:
, (6)
式中P
为外力的功率;P
为内力的功率。
式(6)是以微分形式表示的质点系的动能定理,它表明:质点系的总动能随时间的变化率等于质点系所受诸外力和诸内力在单位时间内所作功的总和。
质点是质点系的一个特殊情况,故动能定理也适用于质点。但是,对于质点和刚体,诸内力所作功的总和等于零,因为前者根本不受内力作用,而后者的内力则成对出现,其大小相等,方向相反,作用在同一直线上,且刚体上任两点的距离保持不变,故其内力作功总和等于零。