[拼音]:Bo’erziMan fangcheng shuzhi jiefa
[外文]:numerical method for Boltzmann equations
玻耳兹曼方程是原子物理、天体物理等领域中的描写粒子(中子、质子、光子等)运动的基本微分-积分方程。假定粒子在两次碰撞之间作等速直线运动,而在穿过介质的过程中按照一定的概率与其他粒子相碰撞,从而发生偏斜、慢化、被吸收或增殖等现象。由于粒子是大量的,因此可以忽略统计起伏,把它们看成是连续体。求解玻耳兹曼方程,就是要求出在任一时刻,具有不同速度的粒子在空间的分布。玻耳兹曼方程数值解法很多,其中以解描述中子输运问题的玻耳兹曼方程的数值方法较为典型。
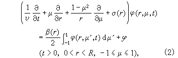
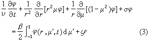
描述非定常中子输运过程的玻耳兹曼方程为:
, (1)
式中t为时间;r、v分别为中子的位置和速度向量,v=vΩ,Ω为中子速度方向的单位向量;φ(r,v,t)为中子角通量分布;σ(v,r)表示在点r处速度为v的中子的宏观总截面,σ┡=σ(v┡,r);ƒ(v┡→v;r)dv是在r处中子速度由v┡转移到v与v+dv之间的总概率;
是独立中子源。对于单速各向同性散射一维球对称问题,非定常中子输运方程为
式中r为径向坐标;μ=cosθ,θ为向径和速度向量间的夹角;σ(r)为总截面;β(r)=σ(r)с(r),с(r)为在r处每次碰撞所产生的平均次级中子数。方程(2)的定解条件为
。
20世纪40年代发展了用于解定常问题的两类主要解法。
(1)球谐函数法 它把φ和
按勒让德多项式PN(μ)(球谐函数)展开,例如,令
利用勒让德多项式的性质,把方程简化,再取展式的前N+1项,得φ0,φ1,…,φN的N+1个方程的联立方程组,然后用差分法求数值解。该法又称为PN近似法。
(2)威克-昌德拉塞卡离散纵标法 简称WC法。它(主要针对平板几何问题)是取μ的一组固定值,μ0,μ1,…,μN,对φ(r,μi,t)(i=1,2,…,N)写出方程组。右端积分用数值积分逼近,例如取μi为勒让德多项式零点的高斯求积公式,然后用差分法求解。对于各向同性散射的平板问题,WC法和球谐函数法是等价的。
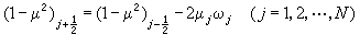
1953年B.G.卡尔森提出了解中子输运方程(2)的SN方法,该法取-1=μ0<μ1<…<μN=1(其中
),把[-1,1]分成N个区间,在每个区间[μj-1,μj]上假定φ是μ的线性函数,同样取
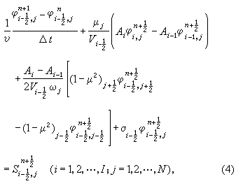
R,假定在每个区间 [ri-1,ri]上 φ 也是 r 的线性函数。将(2)在区域{ri-1≤r≤ri,μj-1≤μ≤μj}上对r和μ积分,然后对时间作隐式向后差分得到差分格式,并适当选取插值公式,使差分方程的解满足粒子数守恒的性质。
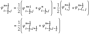
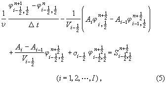
卡尔森等人在50年代末进一步提出离散SN法,又称 离散纵标法(简记DSN法)。这种方法可以比较容易地推广到多维情况。它是从守恒方程
出发的,离散分点取为
,-1<μ1<μ2<…<μN<1,其中μ1,μ2,…,μN取为勒让德多项式零点,取N为偶数,右端积分用高斯积分公式近似。在点
上建立差分,为此在高斯积分系数ωj对应的子区间上对μ 近似积分,在(ri-1,ri)上对r作体积分,对t用中心差分,则得
式中
是以 ri-1和ri为内外半径的球壳的体积,Ai是半径为ri的球面面积。
,
按递推公式
求出。此外,还要补充关系
和边界(μ=-1)方程
定解条件离散化为

。
若取φn为迭代初值,把S中的φ用前次迭代值代入,则利用边界条件,(4)、(5)可显式递推求解,计算步骤按μ从小到大的顺序进行。当μ<0时,利用外边界条件对r从大到小进行计算,当μ>0时,则利用中心对称条件,对r从小到大进行计算。
SN方法和 DSN方法是求解玻耳兹曼方程的有效的数值方法,其主要缺点是计算中可能出现负通量,为了避免出现负通量有各种修正格式。
对于定常的玻耳兹曼方程,70年代出现了多种有限元算法。有通过引进角通量偶次分量,把方程化为自伴形式,再构造泛函求极小的有限元算法;也有直接用加廖金法(包括连续的和不连续的方法)和配置法等的有限元算法。
此外,还有许多其他的数值方法,例如特征线法、分裂法和几种方法相结合的混合解法,以及求解积分型输运方程的各种数值方法。而基本概率理论的蒙特卡罗法在输运计算中也占有重要的地位。
- 参考书目
- R.D.Richtmyer and K.W.Morton,Difference Method for Initialvalue Problems, 2nd ed.,Interscience, New York,1967.