[Æ´Òô]£ºbo¨@erziman fangcheng
[ÍâÎÄ]£ºBoltzmann¨@s equation
ÆøÌå·Ö×ÓÔ˶¯Â۵Ļù±¾·½³Ì£¬ÒòL. E. ²£¶ú×ÈÂüÓÚ1872ÄêÊ×ÏÈÌá³ö¶øµÃÃû¡£ËüÊÇÒ»¸ö·ÇÏßÐÔ»ý·Ö΢·Ö·½³Ì£¬ÓÃÓÚÃèÊöÆøÌå·Ö×ÓËÙ¶È·Ö²¼º¯ÊýµÄ±ä»¯¡£Ëü¶ÔÑо¿Ï¡±¡ÆøÌ嶯Á¦Ñ§ÓÐÖØÒªÒâÒå¡£
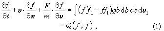
¸ù¾ÝÖʵã·Ö×Ó»ò¹â»¬Çò·Ö×ÓËÙ¶È·Ö²¼º¯Êýf£¨x£¬v£¬t£©µÄ¶¨Ò壬ÔÚʱ¿Ìt£¬x ÁÚ½üµÄÎïÀí¿Õ¼äÌå»ýÔª£¨¼ÇΪdx…Ödx1dx2dx3£©ÄÚ£¬ËÙ¶ÈÔÚ¿¿½üvµÄËٶȿռäÔª(¼ÇΪdv…Ödv1dv2dv3)ÄڵķÖ×ÓÊýÄ¿ÊÇfdxdv¡£¶ÔÓÚµ¥Ò»×éÔªÇÒÏ໥×÷ÓÃÊÆÎªÇò¶Ô³ÆµÄÆøÌå·Ö×Ó£¬Èç¹û×÷ÓÃÔÚ·Ö×ÓÉϵÄÍâÁ¦ÎªF£¬ÔòËÙ¶È·Ö²¼º¯Êýf Âú×ãÏÂÊö²£¶ú×ÈÂü·½³Ì£º
ʽÖÐmΪ·Ö×ÓÖÊÁ¿;gΪÅöײǰËÙ¶È·Ö±ðΪv¡¢v1µÄÁ½¸ö·Ö×ÓµÄÏà¶ÔËÙ¶ÈÖµ£»BΪ¼ÙÉèµÚÒ»¸ö·Ö×Ó¾²Ö¹Ê±£¬µÚ¶þ¸ö·Ö×ÓÔ˶¯¹ì¼£µÄ½¥½üÏßµ½µÚÒ»¸ö·Ö×ÓÖØÐĵĴ¹Ö±¾àÀë;¦ÅΪµÚ¶þ¸ö·Ö×ÓÔ˶¯¹ì¼£Æ½ÃæÍ¬Í¨¹ýµÚÒ»¸ö·Ö×ÓÖØÐIJ¢ÓëÏà¶ÔËÙ¶ÈÆ½ÐеÄijһ¹Ì¶¨Æ½ÃæÖ®¼äµÄ¼Ð½Ç¡£f1…Öf£¨v1£©£¬f¡ä…Öf(v¡ä)£¬fŠ–…Ö(vŠ–)£¬v¡ä¡¢vŠ–ÊÇÅöײǰËÙ¶ÈΪv¡¢v1µÄÁ½¸ö·Ö×ÓÅöײºóµÄËÙ¶È¡£Ê½(1)ÖÐÓÒ¶ËÊǶÔËùÓпÉÄܵÄB¡¢¦Å¡¢v1Ö®ÖµÇó»ý·Ö£¬³ÆÎªÅöײ»ý·Ö£¬´ú±íÓÉÓÚ·Ö×ÓÏ໥ÅöײÒýÆðµÄf µÄ±ä»¯¡£ÉÏÊö·½³ÌÖ»ÊÊÓÃÓÚÖʵã·Ö×Ó»ò¹â»¬Çò¶Ô³Æ·Ö×Ó¡£
¶ÔÓÚÒ»°ã¸ÕÐÔ·Ö×Ó£¬ËÙ¶È·Ö²¼º¯ÊýÓÐÁù¸öλÖñäÁ¿ºÍÁù¸öËٶȱäÁ¿¡£ÒòΪ£¬Èô·Ö×ÓΪ·ÇÇò¶Ô³ÆµÄ¸ÕÌ壬³ýÓÃx¾ö¶¨Æ½¶¯Í⣬»¹ÐèÓÐÈý¸ö¾ö¶¨·½Î»µÄ½Ç±äÁ¿¡£Èç¹û·Ö×Ó±íÃæ²»¹â»¬£¬Ôò³ýÁËËÙ¶ÈvÍ⣬ÉÐÐèÓбíÕ÷·Ö×ÓÔ˶¯×´Ì¬µÄÈý¸ö½ÇËÙ¶È·ÖÁ¿¡£
Ö±½ÓÇó½â²£¶ú×ÈÂü·½³ÌÊ®·ÖÀ§ÄÑ£¬Æ½ºâ״̬µÄÂó¿Ë˹ΤËÙ¶È·Ö²¼Êµ¼ÊÉÏÊÇÒÑÖªµÄ½öÓеľ«È·½â£º
f0=(¦Ñ/m)(h/¦Ð)3/2exp(-hv2)£¬¡¡¡¡¡¡¡¡(2)ʽÖÐh=m/2kT;kΪ²£¶ú×ÈÂü³£Êý;¦Ñ¡¢vºÍTΪƽºâ̬ϵÄÃܶȡ¢ËٶȺÍζȡ£ÎªÁ˼ò»¯£¬Í¨³£Ìá³öËùνģÐÍ·½³Ì£¬ÓÃÒÔ½üËÆµØ´úÌæ²£¶ú×ÈÂü·½³Ì¡£×î¼òµ¥¶ø³£Óõķ½³ÌÊÇËùνB-G-K-W·½³Ì£¬ËüÓÃv(f0£f)£¨³ÆÎª³ÚÔ¥Ï´úÌæ²£¶ú×ÈÂü·½³ÌÓҶ˵ÄÅöײ»ý·Ö£¬¼´
£¬¡¡¡¡¡¡¡¡(3)
ʽÖÐvΪÅöײƵÂÊ£»f0ΪÓÉʽ(2)¸ø³öµÄ¾Ö²¿Âó¿Ë˹Τ·Ö²¼¡£µ«Ê½(2)Öпɵ÷²ÎÁ¿ ¦Ñ¡¢v¡¢TÓ¦ÓëÓɽâf¸ø³öµÄ¾Ö²¿Ãܶȡ¢ËÙ¶È¡¢Î¶ÈÏàͬ¡£ B-G-K-W·½³ÌÂú×ãÖÊÁ¿¡¢¶¯Á¿¡¢ÄÜÁ¿ÔÚÅöײǰºóÊØºãºÍÆä½â½¥½üÇ÷ÓÚÂó¿Ë˹Τ·Ö²¼µÄÌõ¼þ¡£Ëü±È½Ï¼òµ¥£¬ÇÒÄܸø³öÓë²£¶ú×ÈÂü·½³Ì½üËÆµÄ½á¹û£¬Òò¶ø³£±»ÓÃÀ´´úÌæ²£¶ú×ÈÂü·½³Ì¡£
- ²Î¿¼ÊéÄ¿
- S. Chapman and T. G. Cowing£¬ The Mathematical Theory of Non-uniform¡¡Gases£¬ 3rd ed.£¬ Cambridge Univ.Press£¬London£¬1970.
- C. Cercignani£¬ Mathematicl¡¡Methods in Kinetic Theory£¬Plenum Press£¬New York£¬1969.