[拼音]:tezhengxianfa
[外文]:method of characteristics
以偏微分方程的特征理论为基础,求解双曲型偏微分方程的一种近似计算方法。如问题比较简单,用这种方法可求出分析解或近似的分析解;如问题复杂,也可求得准确度很高的数值解。此外,特征线法还可用来对双曲型问题作定性分析,尤其是可用来研究怎样给出初始条件和边界条件使问题适定。这对设计求解双曲型微分方程的其他类型的数值方法有指导意义。特征线法早在19世纪末就已出现,20世纪30~40年代用手算就已解决不少问题。电子计算机出现后,此方法更趋完善,并得到广泛应用。
特征线虽是一个抽象的数学概念,但其物理意义在某些问题中很清楚。 如图1所示的定常二维浅水波,肉眼就可看到特征线。图1之a表示水流从倾斜的平面上以流速v下泻。水流中有一个多棱角的小石子,每个棱角对水流的小扰动,都表现为一条波纹(图1之b)。当平均流速v超过
(g为重力加速度,h为水的平均厚度),水波便不逆流向上传播而被水流带向下游,即石子不影响图1之b中a、b、c左边的水流。受某点发出的小扰动影响的区域和不受影响的区域的界线实际上就是特征线,这种特征线是肉眼能看见的。在一般情况下,特征线是肉眼看不见的。例如,表面有条纹的子弹以超声速穿过空气,条纹引起的特征线(图2)只有借助仪器才能观测到。气体的一维不定常运动可用下述基本方程描述:
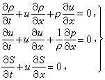
(1)
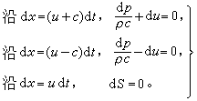
式中u为质点速度;ρ为密度;p为压力;S为熵;x为坐标;t为时间。为求解(1)还要引进声速c和状态方程c=c(p,S),ρ=ρ(p,S)。式(1)是具有两个自变量和三个未知函数的双曲型方程组。它是非线性的。现以解此方程组来说明特征线法的要点。 通过变换可将(1)转换成等价的方程组(2),(2)的每个方程只包含沿某个方向的微商。这样的方向就是“特征方向”。(1)的第三式是沿着方向dx=udt的微商,因此,dx=udt就是一个特征方向。
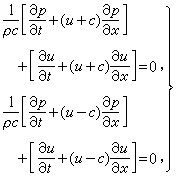
则是相应的沿此方向的特征关系式。(1)的第一、二两个方程经简单变换后可得:
(2)
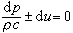
(2)中两式分别只有沿方向dx=(u+c)dt和dx=(u-c)dt的微商。因此,dx=(u±c)dt就是(1)的另两个特征方向。
则是沿这两个方向的“特征关系式”。在(x,t)平面上,由特征方向所确定的相应的曲线是(1)的特征线。概括 (1)的三个特征方向和相应的特征关系式,就得到和(1)等价的常微分方程组:
(3)
特征线法正是通过上述的变换,将求解偏微分方程组(1)的问题化成求解简单得多的常微分方程组(3)的问题。
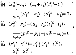
考虑(x,t)平面上两个充分接近的点Q1和Q2(图3),设这两点的u,p,ρ,S,c都已知,把过Q1点的特征线dx=(u+c)dt与过Q2点的特征线dx=(u-c)dt的交点记作Q3。再从Q3向时间小的方向作特征线Q3Q4即dx/dt=u,u的值暂用Q1,Q2两点u的平均值。Q3Q4同Q1Q2的交点为Q4。在Q1…Q4这些点上,所有各量(u,p,ρ,c,S,x,t)都用相应的记号表示。为了求Q3点的x3,t3,u3,p3,S3,然后用状态方程求出ρ3,c3,可将方程(3)近似地表示为:
(4)
(4)中的S
可以靠Q1和Q2两点的熵值用内插法求得。从(4)可以求出Q3点的近似位置(x
,t
)及其上的值u
,p
,c
。以上的做法只相当于用曲线上一点的切线代替切点附近的曲线,因此数值计算中称作一级近似(又称初算)。根据一级近似的结果再算一次(又称重算),就得到准得多的二级近似解。作法是用Q3点的一级近似值u
,c
,ρ
与Q1点的已知值u1,c1,ρ1平均,以代替式(4)中的(u1+c1),ρ1c1。这相当于用割线代替曲线。当然理论上与实际上都更准。同样用Q3点初算值与Q2点已知值的平均值代替式(4)中的u2-c2及ρ2c2。当然Q4的位置和S4也要重新算。这样得出的x3,t3,u3,p3,ρ3,c3,S3就是用特征线法求Q3点各量的相当好的数值结果。
如果在一条与特征线不相切且同t轴方向接近的曲线段ΜN上给定初值(图4),
则用上法可求出在过Μ点的特征线
和过N点的特征线
所围成的区域ΜNP内各特征线交点的近似位置和相应的未知函数值。 上面叙述了求解(1)的最简单而本质的情况。对于两个自变量和n个未知函数的n个特征方向都不相同的一般狭义双曲型方程组,则需找出n个特征方向和相应的n个特征关系式,并用与上述类似的方法来求解。至于求解三个自变量的方程组可推广特征线方法,但都很繁,而且还有一些尚待解决的问题。故未广泛应用。更常用的是差分方法。
- 参考书目
- R.Courant and K. O. Friedrichs,Supersonic Flowand Waves,Interscience Pub., London,1956.