[拼音]:Fuliye fenxi
[外文]:Fourier analysis
又称调和分析,分析学中18世纪以后逐渐形成的一个重要分支,主要研究函数的傅里叶变换及其性质。在经历了近两个世纪的发展之后,研究领域已从直线群、圆周群扩展到一般的抽象群。关于后者的研究又称为群上的傅里叶分析,以区别于前者的经典傅里叶分析。傅里叶分析,作为数学的一个分支,无论在概念或方法上都广泛地影响着数学其他分支的发展。数学中很多重要思想的形成,都与傅里叶分析的发展过程密切相关。
历史渊源
法国科学家J.-B.-J.傅里叶由于当时工业上处理金属的需要 ,从事热流动的研究 。他在题为《热的解析理论》一文中,发展了热流动方程,并且指出如何求解;在求解过程中,他提出了任意周期函数都可以用三角级数来表示的想法。他的这种思想,虽然缺乏严格的论证,但对近代数学以及物理、工程技术却都产生了深远的影响,成为傅里叶分析的起源。
由三角函数系{cos nx,sin nx} (n=0,1,2,…)组成的无穷级数
(1)
称为三角级数,其中αn,bn为系数,与x无关。若级数(1)对于一切x收敛,它的和记为ƒ(x):
, (2)
则ƒ(x)是一个具有周期2π的周期函数。上式两边分别乘以cos nx或sin nx,并且在(0,2π)上同时积分,就得到公式
。 (3)
上面的运算是形式的,因为符号Σ与积分的交换缺乏根据。为了保证上述运算的正确性,应当对级数(1)的收敛性加以必要的限制,例如一致收敛性等。但是,上面提供的纯形式运算,却提出了一个很有意义的问题:如果ƒ(x)是一个给定的以2π为周期的周期函数,通过(3)可以得到一列系数αn,bn,从而可构造出相应的三角级数(1)。这样得到的三角级数(1)是否表示ƒ(x)?正是傅里叶,他首先认为这样得到的级数(1)可以表示ƒ(x)。
给定ƒ(x),利用(3)得到的三角级数(1),称为ƒ的傅里叶级数,而称(3)为ƒ的傅里叶系数。这种思想可以推广到任意区间上的正交函数系。特别,
(n=0,±1,±2,…)是[0,2π]上的就范正交函数系,函数ƒ关于它的傅里叶级数为
(4)
称为ƒ 的傅里叶级数的复形式。
发展概况
傅里叶分析从诞生之日起,就围绕着“ƒ的傅里叶级数究竟是否收敛于 ƒ自身”这样一个中心问题进行研究。当傅里叶提出函数可用级数表示时,他的想法还没有得到严格的数学论证,实际的情形人们并不清楚。P.G.L.狄利克雷是历史上第一个给出函数ƒ(x)的傅里叶级数收敛于它自身的充分条件的数学家。他的收敛判别法,后称为狄利克雷-若尔当判别法。他证明了在一个周期上分段单调的周期函数ƒ的傅里叶级数,在它的连续点上必收敛于ƒ(x);如果ƒ在x点不连续,则级数的和是(ƒ(x+0)+ƒ(x-0))/2。顺便指出,狄利克雷正是在研究傅里叶级数收敛问题的过程中,才提出了函数的正确概念。因为在他的判别法中,函数在一个周期内的分段单调性,可能导致该函数在不同区间上的不同解析表示,这自然应当把它们看做同一个函数的不同组成部分,而不是像当时人们所理解的那样,认为一个解析表达式就是一个函数。
(G.F.)B.黎曼对傅里叶级数的研究也作出了贡献。上面说过,确定ƒ的傅里叶系数,要用到积分式(3)。但是人们当时对积分的理解还不深入。黎曼在题为《用三角级数来表示函数》(1854)的论文中,为了使得更广一类函数可以用傅里叶级数来表示,第一次明确地引进并研究了现在称之为黎曼积分的概念及其性质,使得积分这个分析学中的重要概念,有了坚实的理论基础。他证明了如果周期函数ƒ(x)在[0,2π]上有界且可积,则当n趋于无穷时ƒ 的傅里叶系数趋于0。此外,黎曼还指出,有界可积函数ƒ的傅里叶级数在一点处的收敛性,仅仅依赖于ƒ(x)在该点近旁的性质。这个非常基本而重要的结果称之为局部性原理。
G.G.斯托克斯和 P.L.von赛德尔引进了函数项级数一致收敛性的概念以后,傅里叶级数的收敛问题进一步受到了人们的注意。H.E.海涅在1870年的一篇论文中指出,有界函数ƒ(x)可以惟一地表示为三角级数这一结论,通常采用的论证方法是不完备的,因为傅里叶级数未必一致收敛,从而无法确保逐项积分的合理性。这样,就可能存在不一致收敛的三角级数,而它确实表示一个函数。这就促使G.(F.P.)康托尔研究函数用三角级数表示是否惟一的问题。这种惟一性问题的研究,又促进了对各种点集结构的探讨。G.康托尔第一次引进了点集的极限点以及导集等概念,为近代点集论的诞生奠定了基础。
K.(T.W.)外尔斯特拉斯在1861年首次利用三角级数构造了处处不可求导的连续函数。他的这一发现震动了当时的数学界,因为长期的直观感觉使人们误认为,连续函数只有在少数一些点上才不可求导。
20世纪以来的发展
勒贝格积分理论
20世纪初,H.L.勒贝格引入了新的积分与点集测度的概念,对傅里叶分析的研究产生了深远的影响。这种积分与测度,现在称为勒贝格积分与勒贝格测度,已成为数学各分支中不可缺少的重要概念和工具。勒贝格用他的积分理论,把上面提到的黎曼的工作又推进了一步。例如,根据勒贝格积分的性质,任何勒贝格可积函数的傅里叶级数,不论收敛与否,都可以逐项积分。又例如,对于[0,2π]上勒贝格平方可积的函数,帕舍伐尔等式成立:
。
傅里叶级数,特别是连续函数的傅里叶级数,是否必处处收敛?1876年P.D.G.杜布瓦-雷蒙首先发现,存在连续函数,它的傅里叶级数在某些点上发散;后又证明,连续函数的傅里叶级数可以在一个无穷点集上处处发散。这反面结果的发现提醒人们对傅里叶级数的收敛性应持审慎态度。
费耶尔求和法
正是基于上述原因,1904年,匈牙利数学家L.费耶尔首次考虑用部分和的算术平均代替级数的部分和,证明了傅里叶级数部分和序列的算术平均,在函数的连续点上,必收敛于函数自身。这样,通过新的求和法,又能成功地用傅里叶级数表达连续函数。这无疑是傅里叶级数理论的一个重要进展。费耶尔之后,各种求和法相继产生。一门新的学科分支,发散级数的求和理论,就此应运而生。
卢津猜想
与此同时,傅里叶级数几乎处处收敛的问题,特别是所谓的卢津猜想,受到人们的重视(见卢津问题)。瑞典数学家L.卡尔森用十分精巧的方法,才证实了这一猜想的正确性。
复变函数论方法
傅里叶级数与单位圆内解析函数的理论有着非常密切的联系。假设(1)是可积函数ƒ的傅里叶级数,简单的计算表明,它是复变量z的幂级数
(5)
的实部。另一方面,级数(5)是单位圆内的解析函数,记为F(z)。这样,傅里叶级数(1)可以通过单位圆内解析函数的理论来研究。这就是傅里叶分析中的复变函数论方法,它是20世纪前半叶研究傅里叶级数的一个重要工具。
经典的Hp 空间概念
进一步的研究导致G.H.哈代以及F.(F.)里斯兄弟建立单位圆上Hp 空间的理论。他们研究了单位圆内使
有界的解析函数F(z),这里0<r<1,而p>0。这类函数的全体,称为Hp 空间,它是近代Hp 空间理论的先驱。
通过傅里叶级数刻画函数类是傅里叶分析中的重要课题,著名的帕舍伐尔公式以及里斯-费希尔定理反映了函数类l2(0,2π)的特征。如果P≠2,则有以下的豪斯多夫-杨定理。
豪斯多夫-杨定理
设1<p≤2,p┡=p/(p-1),如果ƒ∈lp(0,2π),Cn是ƒ的复傅里叶系数,那么
;
反之,如果{сn}(-∞<n<∞)是满足
的复数列,那么{сn}必为
中某函数ƒ的傅里叶系数,且
。
李特尔伍德-佩利理论
上述豪斯多夫-杨定理的实质,是用傅里叶系数的大小来反映函数所属的空间,但它并没有给出空间 Lp(0,2π)的傅里叶级数特征。因此,不可能象帕舍伐尔公式那样,用傅里叶系数的大小来刻画lp(0,2π)中函数的特征。考虑函数
,1<p<2,但
。这样的函数是存在的。假设ƒ0的傅里叶级数的复形式是
,那么可以证明,级数
(±号随机地取)不是傅里叶级数,更不可能是 Lp(0, 2π)中函数的傅里叶级数。这说明,不能简单地期望以傅里叶系数的大小来刻画lp(p≠2)中函数的特征。由J.E.李特尔伍德、 R.E.A.C.佩利首创, 后由A.赞格蒙以及J.马钦凯维奇等发展起来的理论,就给出了lp(0,2π)空间中函数的傅里叶级数的特征性质。方法是:把级数
进行“二进”分割成如下的序列:
;
。 那么当1<p<∞时,存在绝对常数с1、с2,使得
(6)
。
极大函数
20世纪50年代以前的重要工作中,还应当提到哈代与李特尔伍德的其他许多贡献。特别是30年代,他们用极大函数研究傅里叶级数,取得了很深刻的结果。极大函数是一种算子,它的定义是
。 (7)
极大函数M (ƒ)(x)比函数自身要大,用它来控制傅里叶分析中某些算子,可以达到估计其他算子的目的。
50年代以前,傅里叶分析的研究领域基本上限于一维的具体空间,50年代以后的研究,逐渐向多维和抽象空间推广。
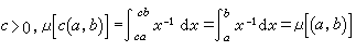
考尔德伦-赞格蒙奇异积分理论
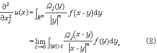
由于偏微分方程等许多数学分支发展的需要,50年代出现的考尔德伦-赞格蒙奇异积分理论,标志了调和分析进入了一个新的历史时期。例如,当ƒ∈l1(Rn),泊松方程Δu=ƒ的基本解u(x)的二阶导函数,在一定条件下(例如ƒ具有Lip α连续性),可以表成如下的奇异积分
,
сn为某常数,仅与维数n有关。积分 (8)作为勒贝格积分一般是发散的;注意到Ωj(y)在Rn的单位球面S上的积分为0,可以证明,积分(8)在柯西主值意义下存在,并且作为x的函数是连续的,从而u(x)是泊松方程的解。
考尔德伦、赞格蒙研究了一类相当广泛的奇异积分算子
(9)
的性质,这里Ω(y) 是具有一定光滑性的零阶齐次函数,且满足条件
。他们证明了这种积分算子具有lp有界性(p>1);利用这些性质,可以得到某类微分方程中解的“先验估计”。
hp空间理论的近代发展
E.M.施坦、G.韦斯于20世纪60年代,引进了上半空间
上的hp空间,它们是n=1的推广。当n=1时,hp(p>0)空间中的函数在R=(-∞,∞)上的边值函数几乎处处以及在lp范数下都存在,施坦、韦斯定义的多维
空间, 显然是一维 hp(R崹)空间的推广。人们自然要问,经典的 hp(R崹)空间中最基本的性质,例如边值函数的存在性等,在多维
空间中是否还被保留?施坦、韦斯首先发现,p>(n-1)/n时,答案是肯定的;例如他们证明,若F∈
,p>(n-1)/n,那么
几乎处处以及在 Lp范数意义下都存在。1964年,考尔德伦、赞格蒙利用高阶梯度概念,原则上把hp空间的上述限制p>(n-1)/n放宽为p>0,但他们的方法比较复杂,随着指标p的不同,hp空间定义的一致性,当时并不清楚。
70年代初,hp空间的近代理论经历了引人注目的发展。D.L.伯克霍尔德、R.F.冈迪、M.L.西尔费斯坦于1971年,首先就一维的情形,证明
的充分且必要的条件是,F(x+iy)的实部 u(x,y)的角形极大函数
,
稍后,C.费弗曼、施坦又把上述特征推广到多维
中去,并且进一步指出,当0<p<∞时,ƒ(x)作为
中某函数的边值函数的充分且必要的条件是:存在充分光滑的函数φ(x),
,使得ƒ关于φ的角形极大函数
,
式中
。
这样,作为hp(Rn)函数的实变函数论特征,它完全可以脱离泊松核, 也无需借助于解析函数或调和函数的概念,而纯粹是实变函数论的一种内在特性的反映,这是出乎人们的想象的。
群上的傅里叶分析
对于R=(-∞,∞)上定义的非周期可积函数ƒ(x),傅里叶积分
代替了傅里叶级数(1),而
称为ƒ的傅里叶变换。
傅里叶级数(1) 和傅里叶积分(10)的具体形式不同,但都反映了一个重要的事实,即它们都把函数ƒ分解为许多个分量eixz(-∞<z<∞)或eixn(n=0,±1,±2,…)之和。例如对于傅里叶级数(1),ƒ(x)分解为сneixn(n=0,±1,±2,…)之和;而傅里叶积分(10)则表明,ƒ(x)可以分解为无穷个 弮(z)eixz(-∞<z<∞)之“和”。分量的系数сn(n=0,±1,±2,…)以及弮(z)(-∞<z<∞)的确定,也有类似之处。事实上,它们都可以用下面的形式来表达:
。 (11)
当ƒ为具有2π周期的周期函数时,G =(0,2π),
,测度
是 G=[0,2π]上的勒贝格测度,此时
,即傅里叶系数(4);当 ƒ为定义在 (-∞,∞) 上的非周期函数时,x(t)=
(-∞<x<∞), 而
是(-∞,∞)上的勒贝格测度,公式(11)即为傅里叶变换。
把函数ƒ分解为许多个“特殊”函数{eixt}之和的思想,启发人们考虑更为深刻的问题。事实上,从群的观点看,无论是周期函数还是非周期函数,它们的定义域都是拓扑群G,就是说,G有一个代数运算,称为群运算,以及与之相协调的极限运算,称为G的拓扑。傅里叶级数或傅里叶积分的任务,正是研究G上定义的函数ƒ(x)分解为群上许多“特殊”函数(例如einx或eitx)之和的可能性,以及通过傅里叶系数或傅里叶变换来研究ƒ自身的性质。对于一般的拓扑群G,相当于{einx}或{eitx}的“特殊”函数是哪种函数;把这种“特殊”函数x(t)代入公式(11),又必须确定G上的测度μ,以求出 ƒ的傅里叶变换,这是在群上建立傅里叶分析理论所必须解决的两个基本问题。对于直线群 R=(-∞,∞),它的 “特殊”函数x(t)=eixt(-∞<x<∞)的特殊性,就在于它们满足以下的三个条件:
(1)x(t+s)=x(t)x(s),②|x(t)|=1,③x(t)是t的连续函数。用群表示论的术语来说,条件①、②、③合起来,正好说明 x(t)是群R的一个酉表示,而且进一步可以证明,满足①、②、③的不可约的酉表示的全体就是 {eixt}(-∞<x<∞)。对圆周群T而言,T的“特殊”函数全体xn(t)=e
(n=0,±1,±2,…)除满足①~③以外,还满足条件④xn(2π)=1。从群表示论的观点看,条件①~④合起来,说明T的“特殊”函数正好是群T的酉表示;进一步则可证明,T的一切不可约酉表示正好就是{e
|n=0,±1,±2,…}。这样,寻找一般抽象群G上合适的“特殊”函数的问题,就转化为研究和寻找群G上一切不可约酉表示的问题。对于紧群或局部紧的交换群,群表示论的结果已经相当丰富,相应的“特殊”函数的研究也比较成熟。至于既非交换又非紧的拓扑群,寻找相应的“特殊”函数,尚是一个值得探索的难题。
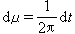
研究拓扑群上的测度是建立群上傅里叶分析的另一个基本课题,因为群上的积分(11)离不开相应的测度。以可加的局部紧拓扑群R=(-∞,∞)为例,经典的勒贝格测度的主要特点是:
(1)R中任一紧集的勒贝格测度必为有限;
(2)R中任何可测集的勒贝格测度关于右(或左)平移是不变的。人们自然要问,一般的拓扑群上,具有①、②两条件的测度(现在称为哈尔测度)是否存在?存在的话,是否惟一?这个问题,自1930年以来,经A.哈尔,A.韦伊以及И.М.盖尔范德等人的努力,已经证明,在局部紧的拓扑群上,满足条件①、②的哈尔测度是一定存在的,并且相互间仅差常数倍。例如,以乘法为群运算的全体正实数构成一拓扑群R+,它的拓扑就是欧氏空间的拓扑, 那么测度dμ=x_1dx就是R+上的哈尔测度。这是因为,对于任意的
,
这说明测度dμ=x_1dx关于位移是不变的。如果进一步求出群R+的一切不可约酉表示,则经过计算,可以证明R+的一切不可约酉表示就是{xit|- ∞<t<∞}。这样,由公式(11),对于群R+上的可积函数ƒ(x),ƒ 的傅里叶变换
。
上式表达的 弮(t)正好又是经典的所谓梅林变换M ƒ(x),是R.H.梅林19世纪末为研究狄利克雷级数的有关性质时引进的。这个特例说明,群上的傅里叶分析,不仅把梅林变换统一到傅里叶变换中来,更重要的是,群论观点的引入,使得隐藏在某些现象背后的内在联系,被揭示得更清楚更深刻了。
- 参考书目
- A.Zygmund,Trigonometric Series,2nd ed., Cam-bridge Univ.Press,Cambridge,1959.
- E.M.Stein,Singular Integrals and Differen-tiability Properties of Functions,Princeton Univ. Press,Princeton,1970.
- G.M.Stein and G.Weiss,Introduction to Fourier Analysis on Euclidean Spaces,Princeton Univ.Press,Princeton,1971.
- E.Hewitt and K.A.Ross,Abstract harmonicAnalysisVol.1~2, Springer-Verlag. Berlin,1963.1970.