[拼音]:qiyi jifen
[外文]:singular integral
又称考尔德伦-赞格蒙奇异积分算子,一种特殊的积分变换,是一维希尔伯特变换到高维欧氏空间的推广,由A.-P.考尔德伦和A.赞格蒙于1952年引入。他们就最基本与最典型的情形,证明了奇异积分算子的Lp可积性。这是奇异积分理论的奠基性工作。以后经E.M.施坦、G.韦斯和C.费弗曼等人,把奇异积分同哈代-李特尔伍德极大函数、面积积分、多元调和函数边界性质、李特尔伍德-佩利理论联系起来,组成了近代调和分析的主要工具。同时由J.J.科恩、L.尼伦伯格和L.赫尔曼德尔等人在奇异积分理论和方法的基础上,发展出伪微分算子、傅里叶积分算子等理论,形成偏微分方程近代理论的一个重要方面。
特例考虑n维欧氏空间Rn(n>2)上的泊松方程Δu=ƒ,试用牛顿位势
验证这个函数满足方程,形式地在积分号下微分两次,得到
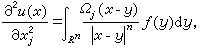
(1)
式中
一般说来,积分(1)是发散的。因为它的核
按绝对值的大小来说,在原点x=0附近是不可积的,也即按勒贝格积分的意义说,积分(1)一般不存在。但由于Ωj在Rn的单位球面S上的平均值等于
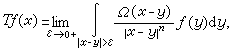
对“好的”函数来说,只要把积分(2)理解为
(2)
就可以证明这极限是存在的,并且可进一步证明,如果ƒ∈Lp(p>1),那么积分(1)所定义的
也属于Lp。按正常意义是发散的积分(1),用(2)来定义,就可能是收敛的。因此人们称 (1)右方的积分为奇异积分或奇异积分算子。
一般的考尔德伦-赞格蒙奇异积分算子是如下定义的一种积分变换:
(3)
式中Ω(y) 是零次齐次函数, 即对任意的 λ>0,满足Ω(λy)=Ω(y),并且在Rn的单位球面S上的平均值等于0,即
同时还具有一定的光滑性。(1) 中的积分是奇异积分算子的一个特例。考尔德伦和赞格蒙于1952年的奠基性工作主要就是证明了:如果ƒ∈Lp(p>1),则由(3)所定义的Tƒ∈Lp,并且
式中C与ƒ无关。
从傅里叶变换的观点来看,如果ƒ∈L2,则Tƒ和ƒ的傅里叶变换可以用等式
联系起来,其中m(x)是Rn上的一个零次齐次函数,更准确些,m(x)和(3)中的Ω(x)有下面的关系:
(4)
式中
表示x与y的内积。
分别取
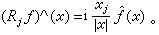
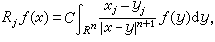
式中C是一个只依赖于n的常数,这样的Ωj满足上面关于Ω所要求的一切条件,这时相应的n个奇异积分算子为
Rjƒ称为ƒ的第j个里斯变换(j=1,2,…,n)。因此,在n维空间Rn中,ƒ共有n个里斯变换。从傅里叶变换的观点看来,只要计算出(4)中的
就可以把里斯变换写成
(5)
n=1时,
这时里斯变换就是希尔伯特变换
可见里斯变换是希尔伯特变换到高维空间的直接推广,而一般的考尔德伦-赞格蒙奇异积分算子正是希尔伯特变换到高维空间的更一般的推广。
同偏微分方程的联系奇异积分算子理论在偏微分方程的许多问题中起着重要的作用。为了说明这点,考虑一个纯粹的m阶的偏微分算子
(6)
注意对拉普拉斯算子墹,不难看出有

结合偏微商和傅里叶变换的关系以及等式(5),就知道里斯变换实际上就是
这样(6)中的L就可以写成
。
这式子表明,L可以分解为算子T与(-Δ)
的乘积:L=T(-Δ)
,式中T实际上是一个变系数的奇异积分算子,具有下面的形式
式中Ω(x,ω)对ω来说,类似于(3)中的Ω,即对每个x有
而C(x)是一个无限次可微的函数。换句话说,假如不看因子(-Δ)
,偏微分算子仅仅是一种特殊类型的奇异积分算子。
奇异积分算子(2)的Lp有界性的证明,用的是马钦凯维奇算子内插定理(见算子内插)。T的(2,2)型是容易从普朗歇尔等式得到的。困难在于证明T是弱(1,1)型的。为证T的弱(1,1)型,1952年考尔德伦和赞格蒙在他们的奠基性论文中,把函数ƒ∈L分解为g+b)两部分,其中g有较好的性质,例如g∈L2,故称g为“好的”部分,而b)是“坏的”部分,但具有某些特殊性质,如在某些方块上的积分为0。这就是通常所说的考尔德伦-赞格蒙分解。在此基础上,以后发展出一整套的实变函数论方法。奇异积分算子理论和这一整套的实变函数论方法,不仅在近代调和分析和偏微分方程的理论中,而且在多元复变函数论、概率论和位势理论中,起着重要的作用。
- 参考书目
- A.P.Calderón and A.Zygmund, On the Existenceof Certain Singular Integrals,Acta MatheMatica,Vol. 88, pp.85~139, 1952.
- E.M.Stein,Singular Integrals and Different-iability Properties of Functions,Princeton Univ.Press,Princeton,1970.
- E.M.Stein and G. Weiss,Introduction to Fourier Analysis on Euclidean Spaces,Princeton Univ.Press,Princeton,1971.