[拼音]:dengliziti zhong de shuyun guocheng
[外文]:transport process in plasma
等离子体通常不处于热力学平衡态,输运过程(或称弛豫过程)是一种重要的基本过程。例如,对于磁约束的准稳态力学平衡系统,其状态的演化一般主要由输运过程所决定;即使是很快的过程,如波动、不稳定性或激波等,输运过程所引起的耗散效应有时也是十分重要的。
发展简史
等离子体输运过程的理论研究是从20世纪初开始的。有人采用查普曼-恩斯库格展开的方法计算了等离子体的输运系数。还有人运用了矩方程方法。Л.Д.朗道导出了描写库仑碰撞的朗道碰撞项。S.钱德拉塞卡和L.施皮策等人运用福克-普朗克方程研究了库仑碰撞效应。钱德拉塞卡引入了试探粒子方法。
除了以上这些有关经典输运过程的工作外,从50年代起,人们开始注意影响输运过程的一些其他的重要因素,如复杂磁场位形的影响,集体效应引起的反常输运等。例如,所谓新经典理论研究了环形等离子体中的输运过程。反常输运现象方面,早期最著名的是玻姆扩散(1949),近年来在反常输运方面做了大量的工作,有了相当的进展,但仍有很多问题是不清楚的。
输运方程和输运系数
输运过程本质上是动力论过程,但解动力论方程一般是十分困难的。通常是采用宏观的电磁流体方程讨论问题,在输运问题中这些方程也称为输运方程。出现在输运方程中的各种输运系数一般由实验确定或由动力论方程求出,确定输运系数是输运理论的基本任务。输运方程相应于动力论方程的几个低级矩方程。等离子体的输运方程包括:
(1)连续性方程
, (1)
(2)运动方程
(2)
(3)能量方程
(3)
式中j标志各种组分,mj与ej是粒子的质量与电荷,E与B是电场与磁感应强度,nj、尌j及Tj是各组分的密度、平均速度及温度,pj与
分别是压力张量
j=mjnj<(v-vj)(v-vj)的各向同性部分
和各向异性部分(称为应力张量);Rj是各组分之间的碰撞摩擦力
是热流密度;Qj是各组分之间的碰撞产热率。当存在其他的粒子源、动量源或能量源时,要在相应的方程中加上这些源项。
方程组(1)~(3)是多流体方程。有些情况下,各种离子可看作一种组分,等离子体由电子和离子两种组分组成。这时,可用双流体方程描写。在有些问题中,把等离子体看作单一的整体比较方便。把双流体方程适当组合便可得到这种描述形式,称为单流体方程。其中,在输运问题中特别关心的有运动方程
(4)
和广义欧姆定律
(5)
式中足标i与e分别代表离子和电子。
,
,
,
分别是质量密度、流体速度、总压强及电流密度。F 包括粘滞力、重力及电场力等。
与通常的输运理论一样,墷nj、墷Tj、墷尌j及E等称为广义力,而
及E等称为广义流。当体系的状态对平衡态的偏离不大时,流可表达为力的线性组合,其系数称为输运系数。令Zm代表“力”,Im代表“流”,则有
(6)
输运系数Lmn具有一定的对称性(昂萨格倒易关系)。
以下将着重考虑电阻、扩散、热导与粘滞等耗散性输运过程。输运系数与粒子的性质及粒子间相互作用的特征有密切关系。这里主要讨论具有典型意义的以库仑相互作用为主的强电离等离子体中的输运现象。对于以带电粒子与中性粒子作用为主的弱电离等离子体,其碰撞特征与中性气体相似,而电磁场对带电粒子行为的影响等方面则与强电离情形相似,以下不作详细讨论。
由于库仑相互作用的特征,强磁场对带电粒子运动的影响、电子与离子的质量悬殊而电荷各异等等,使得等离子体中的输运现象复杂而又多采,具有自身的特点。
库仑碰撞与弛豫时间
对于非相对论性的带电粒子,粒子间的相互作用力主要是静电库仑力。库仑力的长程部分主要联系于集体运动,由德拜屏蔽效应决定的库仑力的短程部分称为屏蔽库仑作用,其力程为德拜长度λD的量级,具有无规性特征,亦称为库仑碰撞效应。
令粒子间的平均距离为d,带电粒子系统成为等离子体的一个基本条件为λD
d,因此有大量粒子同时相互作用,但可近似地用各对粒子间的二体碰撞效应描写。令b为二体碰撞的瞄准距,bo为偏转角90°时的瞄准距,当b<bo时,偏转角大于90°,称为近碰撞;而b>bo时,偏转角小于90°,称为远碰撞。在通常的等离子体中,有bo
λD,此时,大量远碰撞引起的小偏转的随机积累效应比偶然出现的近碰撞引起的大偏转更重要。因此,库仑碰撞效应主要表现为速度空间中的扩散过程,这与中性气体中的碰撞图像不同。
库仑碰撞导致带电粒子间动量、能量交换,这是等离子体中趋向于平衡的经典弛豫机制。弛豫过程的特征由若干种平均弛豫时间来描写,由于电子与离子的质量悬殊,各种弛豫时间的量级是不同的,其中主要有:平均电子弛豫时间τe,代表电子分布函数趋向平衡分布的特征时间,其中电子之间碰撞的贡献(
)与电子和离子之间碰撞的贡献(
)是同量级的;平均电子弛豫时间τi,代表离子向平衡分布弛豫的特征时间,其中主要是离子间碰撞的贡献(
),离子与电子间碰撞的贡献(
)是不重要的;平均电子-离子弛豫时间τ弆,代表电子与离子之间互相达到热平衡所需的特征时间。弛豫时间越短表示碰撞效应越强,三个弛豫时间的量级比较为
(7)
只要离子温度不是远高于电子温度,便有
。这表明在一个非平衡等离子体中,首先是电子达到平衡分布,然后是离子达到平衡分布,而电子与离子之间建立平衡则需更长的时间,因而可出现Te≠Ti的双温度等离子体(在磁化等离子体中,由于进行各向异性加热等原因,还可出现平行于磁场方向的温度与垂直方向温度不相等的双温度情形)。
等离子体中的平均碰撞频率定义为相应平均弛豫时间的倒数
等)。库仑碰撞主要是小角度散射的随机积累,故不能简单地按通常的“碰撞次数”来理解它们。由于库仑作用的特点,碰撞频率不仅与密度成正比,而且反比于温度的二分之三次方(v∝nT
), 各种输运系数随温度变化的规律与此有密切关系。
完全电离等离子体中的经典输运现象
等离子体中以库仑碰撞为基本机制的输运过程称为经典输运过程。这里仅对其最基本的问题作定性的讨论。为简单起见,假定等离子体由电子及电荷数为一的单种离子组成。
无磁场情形先讨论电阻率,这是当电子与离子之间有平均相对速度(电流)时,电子与离子间的碰撞引起的动量输运现象。碰撞使电子在约
时间内失去有序相对速度u=尌e-尌i,动量损失约为meu。因此,碰撞产生的摩擦力为
。 (8)
令re与电场力-neE平衡,便得到电阻率为
。 (9)
ωp是等离子体频率。 严格的计算可带来一个量级为一的数值因子。由于
, 故
,即电阻率与密任薰兀娴缱游露鹊纳叨湫 H绲Te=100电子伏时,η≈5×10-2欧·厘米,与不锈钢的电阻率( 7×10-2欧·厘米)相近;当Te=1 000电子伏时,η埄1.6×10-6欧·厘米,与铜的电阻率(2×10-6欧·厘米)相近。
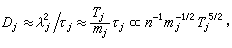
对于扩散、热导和粘滞性,可采用气体分子运动论中的无规行走概念来说明。这里,无规行走的特征时间为各种平均碰撞时间τj,特征步长为相应平均自由程λj~
τj,
是平均热速度。由此,便可得到扩散系数Dj,热导率kj及粘滞系数μj分别为
(10)
(11)
(12)
由(10)~(12)式可看出:当温度升高时输运系数迅速增大;电子扩散系数远大于离子扩散系数 
;电子热导率远大于离子热导率
;离子粘滞系数远大于电子粘滞系数
。
由于De
Di,电子的扩散远比离子快,电子的快速损失必然使等离子体中出现电场。此电场使电子损失减慢、离子损失加快。达到准稳态时,电子和离子的通量相等,这称为双极扩散,其通量与离子扩散流同量级。相应的电场称为双极电场。
在均匀强磁场
情形,由于磁场改变了粒子运动的轨道(作回旋运动),垂直于磁场方向的输运性质与无磁场情形很不相同。至于只涉及平行于磁场方向运动的输运过程(包括平行方向的电阻率、扩散与热导等)则与无磁场情形相同。
现以扩散与热导为例说明强磁场对垂直方向输运的影响。若无碰撞,则带电粒子在垂直于磁场的方向作快速回旋运动,回旋中心的位置在垂直方向不移动。有库仑碰撞,粒子的垂直速度因碰撞而改变时,会伴随着回旋中心在垂直方向的移动。这也是一种无规行走过程,其特征时间为平均碰撞时间,特征步长则为平均回旋半径
。由于回旋中心代表粒子的平均位置,因而这种无规行走会引起垂直方向的输运过程。
对于垂直方向的扩散,由碰撞过程中动量守恒,可以证明同类粒子间的碰撞不会引起净粒子流,而电子与离子间的碰撞使二者有相同的通量。因此,扩散是自动双极的,不出现双极电场。由无规行走的概念,可得到扩散系数为
。 (13)
在强磁场情形,平均回旋半径远小于平均自由程,这使垂直方向的扩散系数比平行方向远小得多:
垂直方向热导的机制与扩散相似,但同类粒子间的碰撞对热导也有贡献。热导率为
。 (14)
在垂直方向,离子的热导远大于电子热导
。 (15)
热导率和扩散系数一样,也与磁场强度的平方成反比。在强磁场情形,垂直方向的热导率比平行方向远小得多
有强磁场时,离子粘滞性仍远大于电子粘滞性,由于各向异性,粘滞效应要用张量描写。
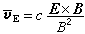
在磁化等离子体的流体图像中,除了扩散、热导等耗散性的流以外,还存在一类漂移流。而流体速度尌j中还包括电漂移速度
(16)
和逆磁漂移速度
(17)
尌E与粒子的电漂移运动相联系。尌
与有限回旋半径效应有关,即使回旋中心是固定的,只要存在垂直于磁场方向的密度梯度,便出现逆磁漂移,其图像与通常分子电流的机制相似。由于电子与离子的逆磁速度方向相反,故出现电流,称为逆磁漂移电流。此外,还存在漂移热流等。这一类漂移流的方向都与磁场及广义力的方向垂直,是非耗散性的等熵流动。
经典输运机制可以解释等离子体中很多输运现象,但有大量现象无法用经典输运理论解释。以下简单讨论一下复杂磁位形的影响及反常输运问题。
新经典输运
非均匀的磁场位形会使粒子具有更复杂的运动轨道,从而影响输运过程,现以轴对称环位形(托卡马克位形)为例说明之。此位形中的库仑碰撞输运称为新经典输运。
在托卡马克中,磁力线是沿环状磁面旋转的螺旋线。由于环内侧磁场强度比外侧强,当粒子沿磁力线运动时会受到磁镜效应的作用。速度方向与磁力线夹角较大的粒子所感受的磁镜效应较强,可由磁镜反射而被俘获在环外侧的弱场区,沿磁力线往返弹跳,称为俘获粒子(或称香蕉粒子)(见图)。当温度足够高使碰撞很稀少时,这种弹跳运动不被碰撞所破环,在托卡马克中便出现俘获粒子。俘获粒子在总粒子数中所占比例约为ε1/2,ε是纵横比的倒数(ε=r/R,r和R分别是环的小半径和大半径)。另一方面,由于磁力线弯曲和存在磁场梯度,粒子会在垂直于赤道面的方向作磁漂移运动,使轨道对磁面发生偏离,俘获粒子对磁面的平均偏离为
, (18)
式中q为安全因子
, Bo和Bθ分别是环向及极向磁场。库仑碰撞可导致俘获粒子与非俘获粒子的互相转变,这就使粒子发生以 Δr
为特征步长的无规行走。由于俘获粒子只相应于速度空间中很小的一个锥形区域,只要速度发生很小的偏转,便可变为非俘获粒子。因此,其有效碰撞频率比平均库仑碰撞频率高得多,有
。 (19)
由无规行走的概念,俘获粒子对扩散系数的贡献为
。 (20)
在通常条件下,这大约比均匀磁场情形的经典扩散系数大两个量级。对于垂直方向的热导也有类似的增强效应。当碰撞频率较高使vj有效高于俘获粒子弹跳效率时,新经典输运从上述“香蕉区”转变为“平台区”,此时输运系数与碰撞频率无关。当碰撞频率更高时,变为“流体区”,此时扩散系数
。新经典输运理论可解释一部分实验结果,如所给出的离子热导与实验结果同量级。但很多现象,特别是联系于电子的过程,仍不能用它解释。
反常输运
在等离子体中有大量输运现象不能用经典输运机制解释,统称为反常输运现象。例如,托卡马克中电子热导比新经典值大两个量级以上,这是反常输运的一个突出例子。
早期的磁约束实验发现大多数情况下扩散系数远比经典值大,而且与n、T及B等物理量的定标关系也与经典系数不同。D.J.玻姆等人(1946)首先注意到了这种反常效应,提出了一个半经验的扩散系数公式
(21)
称为玻姆扩散系数。DB与经典系数Dc的定标关系很不相同:Dc∝nT
B9,而DB∝TB-1。同时DB的数值远大于Dc。如Te=100电子伏,B=104高斯,n=1013厘米-3时,Dc=5.5厘米2/秒,而DB=6×104厘米2/秒,则有DB/Dc约为104。近年来,很多磁约束装置的扩散和热导损失已低于玻姆值,但通常仍高于经典或新经典值。
除了反常扩散和反常热导外,还有反常电阻、反常粘滞性、反常趋肤效应、无碰撞激波层内的反常耗散等。反常输运现象不仅存在于磁约束等离子体中,在惯性约束等离子体中也经常出现。总之,反常输运在等离子体中是相当普遍的现象,在很多情况下它们对经典输运有显著的偏离,并成为决定输运过程的主要因素。因此,研究反常输运问题是等离子体物理中的重要课题之一。
引起反常输运的机制十分复杂,除了由于某种不对称性而导致磁面结构的缺陷等原因外,主要地可归结为等离子体中带电粒子间相互作用的长程性所导致的集体效应。各种集体运动模式的激发可引起强烈的输运过程,在只计及库仑碰撞的经典输运理论中是没有包含这些集体效应的。例如,垂直于磁场方向的反常扩散和反常热导的可能机制有:由不均匀性激发的各种低频漂移波;等离子体湍流的涨落电场引起的随机性电漂移(若假定极大涨落电势为Te量级,则可导出符合玻姆扩散的定标关系);由于电磁模的不稳定增长导致磁面的破裂(如由磁岛重叠而形成的随机磁场)等等。
在反常输运方面,已经进行了大量的研究工作,但由于问题的复杂性,总的说来,目前仍然处于研究的初期阶段。
- 参考书目
- L·斯必泽著,左耀等译:《完全电离气体的物理学》,科学出版社,北京,1959。(L. Spitzor, Physics of Fully Ionized Gases,John Wiley & Sons,New York, 1956.)
- F.F.陈著,林光海泽:《等离子体物理学导论》,人民教育出版社,北京,1980。(F.F.Chen, Introduction to Plasma Physics,Plenum Press,New York, 1974.)
- D. V. Sivukkin, Coulomb Collisions in a Fully Ionized Plasma,Review of Plasma Physics,Vol.4,p.93,1966.
- S.I.Braginskii, Transport Processes in Plasma,Review of Plasma Physics,Vol.1,p.205,1965.
- B. Robinson,et αl., A Vaviational Description
- of Transport Phenomena in Plasma,Ann. Physics,Vol.18, p.110, 1962.
- B. B. Kadomtsev,et αl., Trapped Particles in Toroidal Mganetic Systems,Nucl Fusion, Vol.11,p.67, 1975.