微分学

与积分学联系密切,共同组成分析学的一个基本分支──微积分学。微分学研究函数的导数与微分及其在函数研究中的应用。建立微分学所用的分析方法对整个数学的发展产生了深远的影响,运用到了许多数学分支中,渗透到自然科学与技术科学等极其众多的领域。微分学的作用是在自然科学中用数学来不仅仅表明状态,并且也表明过程(运动)。微分学的基本思想在于考虑函数在小范围内是否可能用线性函数或多项式函数来任意近似表示。直观上看来,对于能够用线性函数任意近似表示的函数,其图形上任意微小的一段都近似于一段直线。在这样的曲线上,任何一点处都存在一条惟一确定的直线──该点处的“切线”。它在该点处相当小的范围内,可以与曲线密合得难以区分。这种近似,使对复杂函数的研究在局部上得到简化。微分学的基础是建立在实数、函数、极限、连续性等一组基本概念之上的。微分学主要研究以下内容。

导数

微分学的核心概念,主要始原于研究如何确定非匀速直线运动质点的瞬时速度与平面曲线上一点处的切线方向。

瞬时速度

原是一个纯粹的物理概念。它是在人们经过多次反复观察比较种种非匀速直线运动,尤其在研究物体的碰撞运动而获得大量经验之后产生的。精确科学要求,不仅要准确、清晰而定性地表达这个概念(当然必须与经验的瞬时速度概念相一致),而且要能同时给出确定速度数值的方法。这就促使人们在数学上要建立一种对函数施加的独特的运算。

设一个非匀速直线运动的质点所行的路程 s与时间t的依赖关系是

如果要定义质点在某一给定时刻t的速度(瞬时速度),并计算出这速度的数值,考虑时刻t的一个邻近值t1,在tt1这段时间Δt=t1-t中,质点运动的路程是

从而这段路程上的平均速度是

在一般常见的情形,当Δt很小,相应的尌就很接近于时刻t的瞬时速度,而且一般说来,Δt愈小,尌就愈接近于该时刻的瞬时速度。这说明,时刻t的瞬时速度可以表现为路程变化量与时间变化量之比当Δt趋于零(而始终不等于零)时的极限:

只要这个极限存在,就利用它来定义瞬时速度并计算其数值。

切线方向

若质点作曲线运动,则在每一瞬时,运动的特征首先表现在方向上。对质点运动瞬时方向的数量分析也将导致对函数施加与计算瞬时速度类似的运算。

设一个质点在一平面上运动,其轨迹在取定一个笛卡儿坐标系后可以表示成曲线y=ƒ(x)。如果要考虑怎样确定质点运动到曲线上一任意给定点pxy)时的瞬时方向(图1

图

),为此在曲线上取p的一邻近点Q(x1y1)。很容易看到割线pQ的方向近似于质点在p处的瞬时方向,而且一般说来,x1愈接近x,近似程度就愈好。如果当Q沿曲线趋近p,割线pQ趋近某个极限位置pT,则占据这个极限位置的直线就称为曲线在点 p处的切线,这切线的方向就是运动质点在点 p处的瞬时方向。切线pT与横轴的夹角θ,就应当是割线pQ与横轴夹角φ的极限。因此切线pT的斜率k=tan θ可以如下计算:

若令Δx=x1-x,则有

只要这个极限存在,就决定了曲线y=ƒ(x)在点p(xy)处的切线的方向。

导数的定义

导数也称微商。上述两个问题尽管有着不同的物理方面或几何方面的背景,但表现在数量关系上并没有区别,解决问题所涉及的运算也是相同的:从自变量x的变化量Δx出发,求出相应的因变量y的变化量Δy以后,取商Δyx,再令Δx趋于零(而始终不等于零)取极限。这个极限运算称为函数的微分运算,运算的结果称为函数的导数。

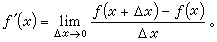
准确地说,函数y=ƒ(x)在给定一点x处的导数定义为

这里说的是这个极限存在的情况,这时又称函数ƒ(x)在点x处是可微的。如果这个极限不存在,就认为ƒ(x)在x处没有导数,并称ƒ(x)在点x处不可微。例如ƒ(x)=|x|在x=0处就是不可微的。容易看出,如果因变量的变化量Δy=ƒ(xx)-ƒ(x)不随Δx趋于零,则上述极限不会存在,所以函数在其不连续点处一定是不可微的。值得注意的是,函数在其连续点处也有可能是不可微的,如前面所给出的例ƒ(x)=|x|就在x=0处连续而不可微。K.(T.W.)外尔斯特拉斯曾给出一个例子(1872),其中的函数处处连续但处处不可微。所以,函数的可微性要求比连续性强得多。外尔斯特拉斯给出的函数是

式中0<α<1;b)为满足条件的一个奇整数。

可以在给定的点x处考虑单侧导数,即左导数与右导数:

函数ƒ(x)在它的每一个可微点 x处都对应着一个唯一确定的数值──导数值ƒ┡(x),这个对应关系给出了一个定义在ƒ(x)全体可微点的集合上的新的函数,称为函数ƒ(x)的导函数,记为ƒ┡(x)。

微分法则

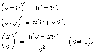
导数的定义直接蕴含着微分运算所遵循的基本法则。若uu(x)与vv(x)都是可微函数,则它们的和、差、积、商仍然是可微函数,并且

这就是微分运算的四则运算法则。

若函数zFy),yƒx)都可微,则复合函数z=F(ƒ(x))也可微,并且

这就是复合函数微分法则。

y=ƒ(x)与x=φ(y)互为反函数,则其中一个可微时,另一个也可微,并且

这就是反函数微分法则。事实上,在反函数存在性得到保证的前提下,这不过是复合函数微分法则的应用。

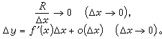
由以上微分法则可得基本初等函数的导数如下:

以上微分法则表明,初等函数的导数仍然是初等函数而且初等函数的导数的具体计算都切实可行。因此,关于初等函数的微分运算已完全地得到解决。

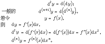
高阶导数

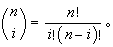
函数ƒ(x)的一阶导数ƒ┡(x)的导数就是ƒ(x)的二阶导数,记为ƒ″(x)。可以归纳地定义ƒ(x)的n阶导数ƒ(n)(x)的导数就是ƒ(x)的(n+1)阶导数ƒ(n+1)(x)。关于乘积函数的高阶导数,有莱布尼茨公式:如果u(x)和v(x)都是x的函数,各自有n阶导数,则

式中

微分

导数作为变化量之比的极限,不仅是变量变化的一种数量表现,而且还能通过函数关系进行运算。

线性主要部分

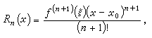
导数的存在表明切线的存在。假如函数yƒ(x)在点x处有导数ƒ┡(x)存在,则函数曲线在相应点p(xy)处有斜率为ƒ┡(x)的惟一确定的切线存在。它在切点p附近与曲线密合,并且在相当靠近切点的地方,密合得难以区分(图2

图

)。这在分析上意味着在点x的小邻域内,函数值y=ƒ(x)是可以用切线上相应点的纵坐标值来近似的。而且在 x充分小的邻域内,近似误差R与Δx=x1-x相比是微不足道的。事实上

由于ƒ┡(x)存在,就有

这样,函数的改变量Δy就被分解成了两部分之和,其中第一项线性地依赖于Δx,而它与Δy相差是关于Δx的高阶无穷小量。换言之,当Δx很小时,舍弃这个微不足道的误差,剩下的部分ƒ┡(xx就可以作为Δy的近似值了。这一项被称为Δy的线性主要部分。

微分的概念

自变量x的变化量Δxx是无关的,称为自变量的微分,记为dx;而因变量相应的变化量Δy的线性主要部分

则称为函数y=ƒ(x)在点x处相应于自变量的变化量Δx的微分,用dƒ(x)或dy表示,即

抽象看来,微分有两个特性,其一是dy是dx的齐次线性函数,其二是dy与Δy之差是关于Δx的高阶无穷小量。这两个特性完全决定了微分本身:如果有一个Δx的齐次线性函数为AΔx,同时具有第二种特性,则可以断定A=ƒ┡(x),亦即线性函数AΔx就必定是函数的微分。所以对一元函数说来,导数的存在性与微分的存在性是等价的。

微分的概念从萌发到完整,其严格化经历了几个世纪。即使在微积分蓬勃发展的牛顿-莱布尼茨-欧拉时代,数学家们尽管能用微分进行近似计算,布列并求解微分方程,但由于无穷小量的概念尚未精确化,微分的概念并不明晰;直至19世纪,数学的严格性发展到了新的高度,微分的概念才被确切地理解。

一阶微分形式不变性

对复合函数

如果ƒ(u)和φ(x)都是可微函数,则在x为自变量时这说明,dy的表达式不论对自变量x还是对中间变量u其形式是不变的。也就是说可以不必区分变量u是自变量或因变量,函数y=ƒ(u)的微分永远具有一个共同的形式:

这就是一阶微分形式不变性,这使得有时利用微分进行计算比运用导数要简单。

由于一阶微分是自变量改变量的线性函数,在求函数的变化量时用微分作近似计算很简便。例如

x=2与Δx=0.01时,

这里dy与Δy相同至三位小数,而计算dy要比计算Δy容易得多。

高阶微分

可以归纳地定义。一阶微分(仍然作为x的一个函数)的微分,即称为原来函数的二阶微分,记为关于乘积函数的莱布尼茨公式就变为

这里

d0u=u, d0v=v

需要注意的是,高阶微分不再具有形式不变性。对于y=ƒ(u),u=φ(x),有dy=ƒ┡(u)du,其中du=φ┡(x)dx是一个与x有关的函数,所以

如果u是自变量,则d2u=0,因而

这就是说,u是自变量还是因变量,会导致高阶微分具有不同的形式。

微分中值定理

在微积分学的理论证明中,中值定理具有根本的重要性,它有许多不同的形式。

罗尔定理

1690年法国数学家M.罗尔首先发现,在闭区间上连续,区间内可微,在区间端点取等值的函数,其图形上至少存在一点,图形在该点的切线是“水平”的(图3

图

)。与这个结论等价的是拉格朗日定理。

拉格朗日定理

如果函数ƒ(x)在闭区间[αb)]上连续,在开区间(αb)内可微,则在这个区间内至少存在一点ξ,使得

直观上说,就是在函数图形上至少存在一点,在该点处的切线与图形两端点的连线平行(图4

图

)。不过定理本身并没有给出点ξ的确切位置,而且满足条件的ξ点也可能不只一个。如果设想ƒ(t)表示一质点在时刻t所行的路程,那么就表示质点在时间间隔(αb)中的平均速度,而ƒ┡(t)表示质点在时刻 t的瞬时速度的数值。定理的意义则在于断定至少存在一个时刻t=ξ,在这个时刻的瞬时速度的数值,恰等于平均速度的数值。

形式上作些变化后,得到公式

式中0<θ<1,这个公式被称为拉格朗日有限增量公式。另一种较一般的形式称为柯西中值定理。

柯西中值定理

若函数ƒ(x)与g(x)在闭区间[αb]上连续,在开区间(αb)内可微,则在这个区间内至少存在一点ξ,使得

g(x)=x时,上面定理与拉格朗日定理有同一形式,所以柯西中值定理是拉格朗日定理的最一般的形式。

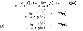
洛必达法则

法国数学家 G.-F.-A.de洛必达于1696年在他的名著《无穷小分析》中,给出了一种确定未定式值的方法:如果函数ƒ(x)与g(x)在区间(αb)内可微,g┡(x)≠0,又如果

极限过程xα+0也可以换成别的极限过程(xb)-0,x→с,x→∞)。由于所考虑的比ƒ(x)/g(x)在极限过程中形式上趋于,不能一般地定值,所以称为未定式。通过洛必达法则可以由ƒ┡(x)/g┡(x)的极限来确定ƒ(x)/g(x)的极限。应当注意的是,如果ƒ┡(x)/g┡(x)的极限不存在,并不能肯定ƒ(x)/g(x)的极限也不存在。此外还有0·∞,∞-∞,00,1及∞0几种类型的未定式,但它们都可以先经过适当代数变换化归型或型,然后用洛必达法则定值。

泰勒公式

多项式是最简单的一类初等函数。由于它本身的运算仅是有限次加减法和乘法,所以在数值计算方面,多项式是人们乐于使用的工具。对于一个任意给定的函数ƒ(x),总希望能找到一个n次多项式p(x),它至少在局部上与ƒ(x)相当接近,因而在数值计算上能代替ƒ(x)。

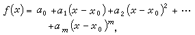
如果函数ƒ(x)在某点x=x0附近本来就是一个多项式

逐次微分便给出

n<m时可以写出估计式

式中

称为函数ƒ(x)在点x=x0处的n次泰勒多项式。对一般函数ƒ(x),前面的估计式也可以成立,只要ƒ(x)在点x=x0n次可微。因为这时只要写出恒等式并重复使用洛必达法则便可以得到

故仍然有

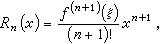
这里余项的估计式

称为余项的皮亚诺形式。此外常用的还有余项的拉格朗日形式

式中ξ 位于x0x之间的某一点。也有余项的柯西形式

当然这里都假定ƒ(n+1)x)在xx0之间处处存在。如果ƒ(n+1)x)在xx0之间处处连续,则有余项的积分形式

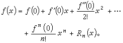
通常,称原点x0=0处的泰勒公式为马克劳林公式,即

一般地

式中ξ介于0到x之间。

微分学在函数研究方面的应用

根据导数的几何意义和微分的运算法则,函数的数量可在其几何意义的指导下运用微分运算来进行研究。

函数作图

描绘函数y=ƒ(x)的图形,往往可以使人们获得ƒ(x)的一个直观几何形象。这对于研究ƒ(x)的变化规律,确定ƒ(x)的极大值、极小值,甚至对方程近似求根都很有好处。选定笛卡儿坐标系后,描绘函数曲线y=ƒ(x)的图形,原则上说要采取“列表描点法”。也就是说要在坐标系中描出一批点

(x1ƒ(x1)),(x2ƒ(x2)),…,(xnƒ(xn));

最后用适当的曲线顺次连结这些点。由于实际上只可能描出有限个点,这样得到的曲线图形当然是粗糙的。为了能比较全面细致、又比较简单地得到函数图形,重要的是把握函数在整体上变化的特性(如范围、对称性、周期性等)、趋势以及某些局部的特殊变化性态。

函数在某点的导数,几何上给出了函数曲线在相应点处的切线的斜率。因此对于可微函数,借助于其一阶导数的代数符号,可以分析曲线上各点处的切线的状态,随之即可能对曲线“上升”与“下降”的变化规律作出一些判断。再借助函数的二阶导数的代数符号,又能对切线的变化规律加以分析,从而又可以对曲线的“凸”与“凹”的特征进一步作出判断。

单调性

如果函数取值随自变量的增大而增大,则称函数是单调增大的。反之,如果函数的取值随自变量的增大而减小,则称函数是单调减小的。单调增大和单调减小统称为单调。

考虑可微函数y=ƒ(x),其图形如图5

图

。在其导数为正的区间,例如区间(x2x4)内任取一点,比如x3,则曲线上对应点处切线的倾角必介于0到π/2之间,因而曲线在x3附近(从左到右)必定是上升的。故在区间 (x2x4)内函数是单调增大的;而在函数的导数为负的区间,例如区间(αx2)内恰恰相反,函数是单调减小的。

极值

如果函数在某一点所取的值不超过(或不小于)函数在该点某个邻域内其他各点的值,则称函数在该点处达到相对极小(或极大)值。该点是函数的一个极小(极大)值点。在图5中ƒ(x)在x=x2x=x0处达到极小值,而在x=x5处达到极大值,且x2x6x5都是极值点。

17世纪法国数学家P.de费马首先注意到,可微函数的极值只可能在适合方程ƒ┡(x)=0的点,即驻点处达到。几何上看,曲线在相应极值点处的切线必定是“水平”的。不过驻点可能并不是极值点,如图5中在x=x4点的情形。因而函数在驻点是否达到极值,需进一步分析判定。如果函数在驻点处二阶导数存在而且大于零,则函数在驻点处达到极小值。事实上,如果二阶导数大于零,则一阶导数在驻点附近是单调增大的;又由于驻点处导数值是零,因而一阶导数在驻点左边小于零而在驻点右边大于零。这在几何上反映出函数在驻点左边单调减小,而在驻点右边单调增大;故函数必定在驻点处达到极小值,该驻点是一个极小值点。类似地,如果在驻点处二阶导数小于零,则该驻点必是一个极大值点。

凹凸性

对于可微函数y=ƒ(x)来说,随着自变量x取值的变化,函数曲线的切线的倾角也随之在变化。如果随x增大倾角减小,则称曲线向上凸,或凸,如图5曲线在BD之间的弧。当ƒ″(x)存在而且小于零时,ƒ┡(x)单调减小, 即切线的倾角随x增大而减小,因而曲线向上凸。反之,如果ƒ″(x)存在,而且大于零,则曲线向下凸或凹。

拐点

如果曲线经过一点时凹凸性发生变化,该点就称为曲线的一个拐点,如图5中的BE都是曲线的拐点。如果ƒ″(x)在拐点附近连续且变号则在拐点处必有ƒ″(x)=0。但应注意,不是所有使ƒ″(x)=0的点都必定是拐点,如曲线y=x4上的(0,0)点。

渐近线

某些曲线,例如双曲线、抛物线都是有伸向无限远的分支的曲线。对于这样的曲线,可能存在具有以下性质的直线:当动点在无穷分支上移向无穷远时动点与该直线的距离(水平或垂直)趋向于零。这种直线称为曲线的渐近线。一般地说,一条不与x轴垂直的直线y=mx+b称为曲线y=ƒ(x)的一个渐近线,是指差数

ƒ(x)-mx-b

x趋于正无穷或负无穷时趋于零。当x从左边或右边趋于α时,|ƒ(x)|可以任意大,则称垂直于x轴的直线x=αy=ƒ(x)的一条“铅直的”渐近线。斜渐近线的方程的系数mb可以由极限

来确定。在x→+∞及x→-∞时mb可能各有两组不同的取值。

运用上述函数变化的各种状态,就容易在适当取定少数几个关键点的基础上,作出所给函数的相当准确的图形。例如考虑函数 的图形。首先可以注意到,函数曲线与坐标轴没有交点,并且由于满足条件ƒ(x)=-ƒ(-x),函数曲线关于坐标系原点是对称的。由于它的一阶和二阶导数分别有

所以当x>0时曲线下凸,当x<0时,曲线上凸。在x=1处,函数达到极小值,在x=-1处函数达到极大值,并且y轴与直线y=x分别是曲线的两条渐近线。利用所得函数的这些特征,只要选取x=1,,2(或者再添上x=,3)就可以相当准确地画出函数的图形来(图6)。

图