边界层

指粘性小的流体对固体表面作相对运动时,靠近固体表面、沿垂直固体表面的方向的流速和温度变化很大、变形率大、粘性起显著作用的很薄的一层流体。但雷诺数要相当大,边界层才薄。计算流线型物体表面所受的粘性应力,目前主要靠已有80年历史的边界层理论

边界层理论的主要思路和内容,可以从飞机机翼剖面(图1)附近的流速分布这一实例来说明。坐标系固定在机翼剖面上,机翼远前方的流速为U时,沿机翼剖面表面上B点作一条法线,从A点到C点这一段流速一直是增加的,用无粘流体位势流理论可以计算出边界层以外流速和压力的分布。C点的流速最大,从C点到翼剖面上的B点流速逐渐降低。在B点流速降为零。这是由于粘性作用使位于 B点的流体附着在机翼的表面上,而这一小段距离就是B点处的边界层。选取机翼前缘H到B点的弧长 x为特征长度组成雷诺数,,在B点层流边界层厚度。例如,U=100米/秒,x=0.05米,空气的运动粘度v取为1.5×10-52/秒,则Rex≈3.33×105,这时B点处层流边界层厚度还不到半毫米。可见,在高雷诺数时,边界层很薄。由于机翼总是在雷诺数(以弦长l为特征长度)超过百万的情况下使用,所以机翼的前部边界层是层流,略往下游(图中往右)就发生雷诺数超过临界值并出现层流到湍流的过渡,再往下游就是湍流边界层。湍流边界层比层流边界层厚。

图1 边界层方程

L.普朗特1904年的奠基性工作是利用了在高雷诺数的情况下边界层很薄这一特点,简化了纳维-斯托克斯方程(简称N-S方程)后得到的。

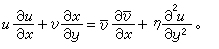
用密度为常数的二维定常流动,可以说明此理论的主要内容。把正交曲线坐标系的x 轴取得同沿物体表面的流线相重合,在这个坐标系中,流体在x方向的分速度U远大于 y方向的分速度v。因为边界层厚度远小于物体表面的曲率半径,所以普朗特首先忽略物体表面曲率的效应,最早研究的是平板上的层流边界层。Uy方向的变化比vx方向的变化大得多,所以,在N-S方程组的第一个方程中,同粘度η有关的两项中可以只考虑,而略去 。又因为v的数值比U要小得多,N-S方程组的第二个方程就可以简化成压力在边界层内不随 y变, 即p=p(x),而p(x)又可由无粘流体位势流理论得出的边界层外缘的流速,以尌(x)表示,即可由伯努利方程得出

再沿x 方向求导,就可算出运动方程中的项,

计算位势流时,如果边界层很薄,就可以忽略它的厚度。位势流给出的物体表面速度尌(x),实质上就是指边界层外沿如图1中的C点的流速。这样,N-S方程简化成边界层方程

(1)

未知函数有Uv,为了使未知函数和微分方程数目相等,还要配上连续方程。它在上述前提下是

(2)

用方程(1)和(2),可求解层流定常边界层内的 U(xy)、v(xy)。

式(1)比N-S方程简单多了,但左端的加速度仍是非线性项,要认真加以处理。当物体(机翼)形状给定时,vτ(x)的表达式也并不简单。普朗特等人对此做了妥善处理,即:可以详细计算边界层内粘性所引起的各种效应,既可求边界层厚度,也可求物体表面粘性应力。如果雷诺数Re>105时,用N-S方程求粘性应力,直到1984年还是重要而困难的题目。用边界层方程求解这个问题却较省力,而且在应用上也是可行的,只是边界层头部和边界层分离点(如图2的S点)附近的局部流动用边界层理论来计算仍嫌不够好。

图2 边界层分离

边界层理论的前提是它很薄,流线同物体表面的曲线走向很接近。若边界层发生分离,在分离点附近和它的下游,失去了薄的特点,应用边界层理论就不够完整了。分离是指沿着物体表面的一条流线到一定位置时就离开物体,如图2中的 S点。S点叫分离点。分离又称脱体。曲线 SP叫分离线。按边界层理论分离发生在的区域,在分离点从而切应力τ=0。分离的出现就伴随着较宽的尾流(图2),尾流中产生许多涡旋。在没有发生分离时,粘性效应只涉及到物体附近很薄的边界层以内。一旦发生较大尾流,在整个流场中的相当广阔部分(如物体周围包括物体前部)的压力分布受到了尾流的影响。实验表明对于圆柱绕流Re>40就会有分离,尾流较宽,粘性在尾流中起重要作用。对于雷诺数不够大、边界层不够薄的情形,只有靠考虑粘性的方程组(而不是欧拉方程组)才能确定分离点的位置。边界层分离和湍流边界层的理论计算都是困难而有待深入研究的重要课题,遇到这种情形,实验是取得定量结果的主要手段。

参考书目
  1. L. 普朗特等著,郭永怀、 陆士嘉译:《流体力学概论》,科学出版社,北京,1981。(L. Prandtl et al.,Führer Durch Die Strmungslehre, Friedr Viewegund Sohn, Braunschweig,1969.)