运动方程

在传递过程的研究中,指流动流体的微分动量衡算式,是描述粘性流体流动的基本方程之一。此方程与连续性方程和各种具体问题的定解条件相结合,可求解速度分布和压力分布。

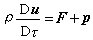
运动方程建立在牛顿第二定律基础上,表示流体动量的变化率(即流体质量与其加速度的乘积)等于作用于流体上外力的合力。所考虑的外力有两类:作用在整个流体质量上的力,即体积力(如重力);和作用在边界上的力,即表面力(如压力和剪切力)。运动方程的向量式为:

公式 符号          (1)

式中F为单位体积力,如单位体积重力,Fρgρ为流体密度,g为重力加速度;p为单位体积边界上的力;u为速度;τ为时间;Du/Dτ为加速度。Du/Dτ称为随体导数,并记作D/Dτ,以区别于常用的d/dτ

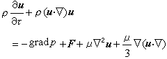
法国科学家C.-L.-M.-H.纳维在 1827年和G.G.斯托克斯在1845年分别将式(1)与广义牛顿定律结合,得到描述牛顿粘性流体流动时的微分方程式,即纳维-斯托克斯方程,它在直角坐标系中可写成:

公式 符号   (2)

对于不可压缩流体,u·墷=0,式(2)变为:

公式 符号   (3)

式(3)是应用最广的运动方程。与式(1)对比可知方程左侧是流体的惯性力向量,其中加速度Du/Dτ分成了两项:

(1)дuτ为局部加速度,指流体速度u随时间τ的变化率;

(2)(u·墷)u为对流加速度,指流体因位置变化所引起的加速度。方程右侧F(体积力)形式未变,p(表面力)则表示为压力梯度(右侧第一项)及粘性力向量(右侧第三项)。

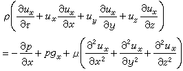
在直角坐标系中,式(3)的x方向分量式为:

公式 符号   (4)

理想流体运动方程

忽略流体的粘性,即对于理想流体,纳维-斯托克斯方程中右侧第三、四两项为零,这就是由瑞士数学家和力学家L.欧拉于1755年提出的欧拉方程

公式 符号

欧拉方程于定态条件下沿流线(流动空间中某瞬时的这样一种曲线,其上各质点的流速方向与该点的切线重合)积分,即是伯努利方程。

湍流运动方程

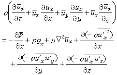
对于湍流运动,将不规则变化的瞬时速度u和瞬时压力p分别分解为时均速度ū 和脉动速度u′,以及时均压力p和脉动压力p′,则有u=ū+u′,p=孒+p′,将此两式代入式(4),可得到湍流运动方程,写成分量形式,以x方向为例:

公式 符号    (5)

对于yz方向亦有类似形式,这组方程称为雷诺方程。

将雷诺方程与纳维-斯托克斯方程对比,可以看出前者多了几个附加项,这是由于湍流脉动所引起各个方向的应力,即公式 符号等,称为湍流应力或雷诺应力。

对于两相流牛顿流体流动,运动方程的建立和求解有很多困难,至今还很不成熟,但鉴于这些流动在工程上的重要性,是目前研究工作十分活跃的领域。

应用

纳维-斯托克斯方程和连续性方程一起,构成牛顿粘性流体运动的基本方程组。由于方程是非线性的,至今尚无一般解,只能结合特定情况处理。对于一些简单的问题,非线性项为零或是非常简单的形式,可得精确解。对于较复杂的情况,有时根据流动问题的物理特点,可以略去方程中的次要项,简化成近似方程后求解。如在低雷诺数时,忽略惯性力,所得近似方程称为爬流方程。由后者求解得到著名的斯托克斯定律(见流动阻力);在高雷诺数时,用边界层概念简化运动方程,可了解绕流和射流的特征。此外,用数值法解这组方程,可以解决更复杂的问题,例如搅拌槽中粘稠液体的运动、波动液膜的运动以及伴有化学反应的湍流运动等。