平均位能理论

建立在对应态原理基础上的一种溶液理论,可分为单液理论和双液理论。根据对应态原理,保形液体的位形配分函数为:

公式 符号

q(慘,堝)是对该组保形液体都适用的函数,与该液体的对比温度慘和对比体积堝有关。

公式 符号

式中k玻耳兹曼常数;V为体积;T为热力学温度;N为分子数。

单液理论把混合物等价于一种假想液体,此液体每一分子具有混乱地为其他分子所包围的平均位能,平均一对分子的相互作用特征参数为〈ε*〉和〈r*〉,它们与混合物的组成有关。I.普里戈金提出,在一对分子的势能函数为伦纳德-琼斯型,即公式 符号的情形下:

公式 符号

式中xAxB为组分的摩尔分数。位形配分函数为:

公式 符号

式中NANB为分子数。由此得出用一套参数<慘>、<堝>来描述溶液的性质的表示式,称单液理论。

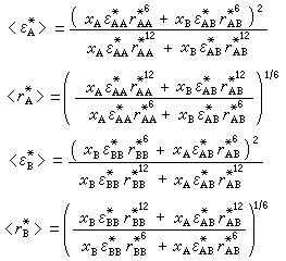
双液理论把混合物等价于两种假想液体混合而成的理想溶液。一种假想液体以 A分子为中心, 具有混乱地为其他分子所包围的平均位能,平均一对分子的相互作用特征参数为<ε壓>和<r壓>。另一种以B分子为中心,具有混乱地为其他分子所包围的平均位能,平均一对分子的相互作用特征参数为<ε壔>和<r壔>;普里戈金提出:

公式 符号

溶液的位形配分函数为:

公式 符号

双液理论用两套参数<慘A>、<堝A>和<慘B>、<堝B>来描述溶液的性质。单液理论和双液理论的q(<慘>,<堝>)可以从液体的统计力学模型或纯A和纯B的物理性质得到。

平均位能理论的适用范围比保形溶液理论要宽一些,不局限于两种分子大小和形状相近的溶液,能够对吉布斯函数GE和体积VE符号相反的现象给予与实验结果较为符合的解释。20世纪60年代后期,出现了平均位能的范德瓦耳斯型理论,与实验结果比较,符合程度有所改进。