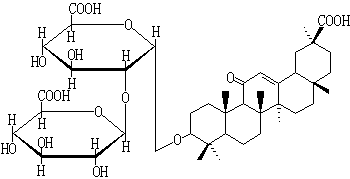
甘草酸 [拼音]:gancaosuan [外文]:glycyrrhizic acid 又称甘草甜素。为一种萜,分子式C42H62O16。为甘草次酸的二葡萄糖醛苷(见苷),是甘草的甜味成分。它存在于甘草属植物中;在220°C时分解。 甘草次酸分子 式C30H46O4;有两种同质异晶体;熔点分别为300~304°C和287~293°C,比旋光度[α]D+163°。它能生成甲酯,其甲酯能生成乙酰化合物,故为一羟基酸。 参考文章甘草酸二铵的使用注意事项药学甘草酸二铵的药理药学 阅读全文