地球内部的构造和物理性质

地球内部具有分层结构,其物理性质在径向和横向上都有变化。由于地球内部是不能直接观测的,而且电磁波在地球表层的衰减很快,钻孔的深度又太浅,所以从前有关地球内部的知识多是间接得来的。例如,根据天文学得知的地球质量和大地测量所得的地球形状,可以计算出地球的平均密度为5.5克/厘米3。但是,地表物质的密度小于2.7克/厘米3;因此可以推知地球内部物质的密度要比5.5克/厘米3为大。根据陨石有石陨石和铁陨石之分,又由于地球有较强的内源磁场,因此可以推想地球内部有一个铁核。

对于地球内部能够有定量的认识应当归功于地震学。1909年莫霍洛维奇 (A.Mohorovi呇i婞)根据近震初至波的走时,算出地下深度56公里处存在一个间断面,间断面以上物质的平均速度为5.6公里/秒,以下物质的速度为7.8公里/秒。后来发现,无论海洋或是大陆,绝大多数地区都存在这个间断面,通常称它为莫霍界面,或是简称为M界面。M界面以上的物质称为地壳,界面以下的物质称为地幔。大陆地壳的厚度为15~80公里,海洋地壳的厚度只有11公里(包括海水)。不同构造带的地壳构造,差异很大。

1914年B.古登堡根据地震波的走时,测定地幔和地核之间的间断面,其深度为2900公里。这个数值相当准确,近来获得的最新数值比它只大15公里。地震纵波速度自地幔底部到地核顶部,突然降低。

1936年莱曼 (I.Lehmann)根据通过地核的地震纵波走时,首先提出地核内部还有一个间断面,称为内核间断面。迄今,在地震记录图中没有发现通过地核的地震横波(横波不能通过液体),并且根据地球潮汐和振荡所算得的地球刚性,可以推论外核是液态,而内核仍属固态。

在地球内部地震波速度随深度而连续增大,但在莫霍界面和核幔界面上,速度存在明显的不连续和跳跃,说明地壳、地幔和地核的化学组成或物理性质亦各不相同。

地质构造的演化、板块的形成和运动、以及地震、火山等自然现象,说明地球内部存在巨大的力源。上地幔或是整个地幔的物质对流可以解释洋底分裂、大陆漂移和板块俯冲等大规模的地表运动现象(见地幔对流)。因此地球内部仍然处于热学和力学不平衡的状态,地球内部的运动仍然持续不停。

地球的地震波速度和分层构造

地震波速度分布是研究地球内部最可靠的一组数据,地球内部物质的物理性质和化学组成都同地震波速度有关。一个大地震激发的地震波可以穿透整个地球。地震波有体波和面波,根据地面接收到的体波走时,可以求得地震射线的传播路径和穿透深度,以及该深度介质的速度。这和光学射线有些相似。利用面波的频散(速度随频率的变化)也可以求得地球内部的分层构造和速度分布。研究某一区域的体波和面波,可以求得该处的深部构造,以及它沿横向的变化,这对于地球动力学问题是特别重要的。但是在研究地球总体的性质时,常常假定地球是球对称的;根据地震体波的走时、振幅,地震面波的频散,地球自由振荡的本征周期,以及一些其他的数据,可以反演得到地球内部速度和密度的分层模型,称为参考地球模型(简称REM)。它代表某种平均的地球模型。图1表示一个初步参考地球模型。随着资料的更新,可以不断修订参考地球模型。表1为地球内部的详细分层。

图1 表1 地壳

地壳是地球表面很浅的一层构造,也称 A层。它和地表地质构造的演化、矿物资源的分布规律以及地震、火山发生的过程均有密切关系,因此50年代以来,人们花了很大力量来研究它。大陆地壳的构造和矿物组成同海洋地壳的有很大差别。根据板块构造的理论,海洋地壳很年轻,其年龄不超过200百万年,它是由于地幔的热物质在海岭处向表面流出,不断形成新的地壳。它把两侧的物质向外推移。大陆地壳是很古老的,已发现的最老大陆岩石,其年龄为3.8×109年。有关大陆地壳演化的历史,现在尚不很清楚。正常大陆地壳的厚度约为35~45公里,而洋盆地壳的厚度只有11公里(包括海水)。它们的速度分布和物质组成都不相同。

(1)大陆地壳 根据过去对近震地震图的分析大陆地壳内存在速度约为 5.8公里/秒的 圶波(直达纵波)和速度约为6.7公里/秒的P*波(康拉德界面反射波),因此人们长期以来认为,大陆地壳分为两层(图2a),上层由花岗岩组成,下层由玄武岩组成,它们之间的界面称为康拉德界面。

图2

利用人工爆破研究地壳和上地幔构造更为准确,这是因为爆炸的地点和时刻都是已知的,而且可以预先布置详细的观测系统。这种方法称为深地震测深方法。图2b为近来所得大陆地壳中地震波速度分布的示意图。自图中可以看出,现在的大陆地壳构造模型与以前的两层地壳模型有很大差别。虽然地壳中部通常仍有速度为6.3~6.9公里/秒的界面,但是该层有时薄,有时厚;下部地壳并不是一个均匀层。

大陆地壳中常常存在显著的速度梯度层,特别是地壳下部的速度梯度有时很大。它不能只用温度和压力的影响来解释,很可能是地幔的物质逐渐向地壳中渗透,随着渗透程度的不同,可以产生不同的速度梯度。或者地壳是由变质岩所组成,变质程度的不同可以产生不同的速度梯度。地壳中还存在速度逆转和高速薄层的现象。根据地震波反射和折射方法探测的结果,莫霍界面有时也具有薄层的性质。深部物质中如果含有水分,它可以降低速度,物质中矿物成分的改变也可以解释速度的突然增大或减小。

根据大地电磁测深的结果,有些地盾的地壳下部存在一个高导层,它和地震波的低速层不完全吻合,这是值得重视的现象。

根据新的地壳速度分布资料,大陆地壳下部普遍存在均匀的玄武岩层是不可能的。也许地壳下部的物质组成和地壳上部并没有根本的差别,只是地壳下部除了花岗岩的成分外,还夹杂含有镁铁成分的岩层。一般说来,年轻构造带的地壳厚度较大,喜马拉雅山区的地壳厚度可达70~80公里,而古生代构造带的地壳厚度通常小于30公里。但是大陆上不同地区的地壳构造变化很大,即使在稳定的地盾区,地壳构造沿横向的变化也是很大的,地壳内同一界面很难连续追踪100公里以上。图3表示某些地壳的复杂构造,图3a表示深部界面的变形和断裂,莫霍界面处有巨大的断裂现象。图3b表示深部的冲顶作用,图3c表示上部和下部地壳内可能存在岩浆囊。图3d表示不同性质的地壳块体互相嵌合在一起。

图3 图4

利用地震反射法探测深部断层和它的产状特别有意义。图4a表示在裂谷带的张性构造中,深部断裂的方向近于铅直方向;而在大陆边缘地区小块体与大陆碰撞所产生的压性构造中,深部断层近于水平方向(图4b)。

大陆地壳构造是这样的复杂,但是产生复杂构造的动力大部分与地幔物质的运动或对流有关。

(2)海洋地壳 海洋的地壳构造主要是从人工地震折射法得来的。过去通常认为,海洋地壳可以分为3层(见图5a和表2)。Ⅰ层为沉积层,厚度只有数百米。沉积层构造同海洋地壳的活动有密切关系。Ⅱ层的厚度和速度随地区的不同而有很大变化,平均厚度只有1.5公里。Ⅲ层为海洋地壳的主要层,平均速度为6.9公里/秒。由于探测的精度提高,Ⅱ层又可分为ⅡA、ⅡB等层,Ⅲ层也可分为ⅢA、ⅢB等。

图5 表2

但是根据近几年资料的研究结果,同时考虑初至震相和续至震相的走时和振幅变化,发现海洋地壳是由速度梯度层所组成。图5b、5c为在科科斯北部所测得的两个海洋地壳速度分布图。相应于Ⅱ层的速度梯度特别大,约为1~2秒-1。相应于Ⅲ层的速度梯度很小,接近于匀速层。有些海洋地壳的底部存在低速层(图5b),有些则存在7.2~7.7公里/秒的速度梯度层(图5c)。

根据洋底钻孔取样的结果,Ⅱ层主要是由拉斑玄武岩所组成。由于岩层的孔隙度和裂缝变化很大,所以速度也有很大变化。Ⅲ层的物质可能亦由玄武岩组成,但并不排除蛇纹岩存在的可能性。

地幔

自地壳到地幔顶部,地震波速跳跃增大,说明地幔顶部的物质和地壳不同。整个地幔的物质成分可能变化不大,它主要是橄榄石、辉石和硬玉的成分所组成。下地幔铁的成分可能略为增多。自表1可知,地幔可分为上地幔、过渡层和下地幔。过去有人将900公里深度作为上下地幔的分界,也有将650公里作为上下地幔的分界。从图1可以看到,上地幔的速度变化很不规则,而且速度梯度很大;下地幔的速度单调地增大,而且速度梯度小。上地幔的速度梯度可以用矿物相变来解释。

(1)上地幔 无论是大陆,还是海洋,正常地幔顶部的地震纵波速度约为8.1~8.3公里/秒,活动构造带的地幔顶部,其速度较小,只有7.4~7.8公里/秒。上地幔的一个特点是存在一个低速层(B″层)。自M面至低速层顶面之间称为盖层 (B′层)。有关盖层的速度结构主要来自 Pn和Sn波(莫霍面的绕射波)。根据天然地震资料,它们的速度随震中距()的变化很小,因此长期以来认为,盖层的速度比较均匀。但是根据欧洲某些深地震测深的资料,在>300公里后,Pn的走时是由几段视速度相继增大的截线所组成的,因此盖层的构造应当用几个速度梯度层和逆转层来解释,梯度层的速度高达8.5~8.7公里/秒。但是根据作者分析其他大陆地区的Pn震相,认为盖层中存在几个高速薄夹层。盖层的速度比较均匀,但是薄层的变化可能很大。根据人工爆破的资料,盖层与地壳相似,其中也存在许多特殊构造,横向变化很大。

大陆低速层的深度从150公里开始,海洋的低速层较浅,约自深度60公里开始。大陆和海洋的低速层底面深度均为 220公里。低速层的地震横波速度比地幔顶部大约减小10%。低速层的产生可以归因于该处物质发生部分熔融,也许还有化学成分改变的影响。

低速层下面是速度比较均匀的物质称为均匀层。

有人根据重力均衡的现象(见地壳均衡)以及其他力学的考虑,认为上地幔必须存在物质可以沿水平方向流动的地层,并称它为软流层。软流层以上到地面,包括地壳的物质称为岩石层,岩石层的物质不能沿水平方向流动。力学上的软流层与地震波的低速层其含义和位置不一定符合,但是很多人都把它们等同起来。

根据板块构造理论,全球的岩石层可以分成几个大的板块,它们“浮”在软流层之上,并且彼此之间有相对的运动。软流层顶面的位置随板块的不同荷载而异,而底面的深度应当相同。但是,根据天然地震体波的分析,不同构造带的横向差异至少延伸至400公里深度以上,这样,软流层也许延伸很深。

(2)过渡层 自深度350公里至700公里左右称为过渡层,也称C层。在深度约350公里和650公里处,存在两个速度梯度的间断面。前者可以用橄榄石转变为尖晶石或是辉石和石榴石转变为石榴石的固熔体来解释。后者也可以用矿物的相变来解释,也许还有物质成分的改变。

值得注意的是深源地震的深度也在700公里左右,有人认为,深源地震的发生与物质的相变有关。

(3)下地幔 自深度 700公里直至核幔界面称为下地幔。与上地幔以及过渡层相比较,下地幔的速度梯度较小,速度的变化也较为均匀。但是在深度 830、1000、1230、1540以及1910公里处可能仍有一些物质相变的现象发生。下地幔的物质成分可能含有较多的FeO,其含量可能随深度而增加。地幔底部有一个约150公里厚的D″层,其纵波速度为13.65公里/秒,横波速度为 7.22公里/秒。D″层的特征是它的速度梯度近于零,表明这里的温度梯度特别大,或是物质成分产生变化,它才能补偿因压力所产生的速度正梯度。

地核

地幔与地核的间断面称为核幔界面。地核的半径为 3480公里,这比以往古登堡和 Sir H.弗里斯所测定的数值约大10公里。在核幔界面处,纵波速度自13.68公里/秒突然降低为零。速度的跳跃变化说明地核的物质组成与地幔不同。根据冲击波实验的结果推测,外核(又称E层)物质主要是由Fe、Ni所组成,但是还应有一些轻物质,最可能的轻物质是Si或FeO,FeS。内核的物质主要是Fe。核幔界面不仅是化学界面,而且也可能是温度的间断面,自地核顶部到地幔底部,温度突然增大,因此有热流自地核向地幔流出。核幔界面的几何形状可能是不很规则的,因此可以使地震波产生散射现象。此外自地幔底部可能有一些柱状的热物质向上部流出,它称为热涌流。由此可知,地核、地幔与地壳之间的耦合是相当紧密的。

分析通过地核的地震波,可以确定内核间断面的位置。内核(也称 G层)的半径为1221公里。内核界面上地震波的速度有明显跳跃。内核的纵波速度自 10.98公里/秒逐渐增至 11.2公里/秒;横波速度约为3.5公里/秒。

根据固体潮所测量的地球刚性,说明地核不可能都是液态,因此内核可能是固态。

地球内部的密度

密度分布需要满足的条件

假定地球是球对称的,距地心r的物质密度为ρ, 地球的质量M和转动惯量I分别为:

(1)

, (2)

MI可自观测求得(见表3)。地球的密度分布必须符合观测值。为了达到力学的稳定,地球密度须随深度而增大,至少不应有太大的减少。地壳物质的平均密度远较地球的平均密度为小,所以深部物质的密度较大。

表3

均匀球体的y =I/MR 2 值为 0.4, 而地球的y 值为0.3308,这也表明地球物质的密度随深度而增大。

不同振型的地球自由振荡周期均与密度分布有关,因此密度分布也必须符合地球自由振荡的观测值。

自地震波速度求密度的公式

如果地球内部是绝热的,而且化学组成是均匀的,自地震波速度可求得密度梯度。按定义

  (3)

к 为绝热时的不可压缩系数。为密度随压力的变化率,角标s表示球面的熵是常数。除地壳外,地球内部物质可用流体静压力公式表示,写作

,  (4)

, (5)

(5)式称为威廉逊-亚当公式。如是,已知地球内部的速度以及边界上的密度,不同深度的密度可从数值积分求得。

伯奇(F.Birch)推导出在非绝热,而且化学组成不均匀的情况下,密度梯度可写为:

,     (6)

(1-δ)表示非绝热的影响,η 表示化学组成不均匀的影响。

另一方面根据实验结果,深部物质的速度和密度几乎近似地符合以下的关系公式

,       (7)

ab为常数。因此密度也可直接自速度求得。

密度模型

(1)布伦密度模型A 40年代初,K.E.布伦首先求得地球内部的密度模型。根据当时的地震波速度资料,他把地球分为A、B……F、G7层(见表1),迄今仍然被广泛引用。

布伦假设B层顶部的密度为3.32克/厘米3,相应于橄榄岩的密度;并在B、D、E层应用威廉逊-亚当公式。如在C层也应用此公式,将导致力学的不稳定,因此令C层的密度按ρ=l+mz+nz2的函数而变化。在地核中,假定地心密度为ρ0,其他各处的密度按ρ =ρ0(1-ɑr2)而变化。当时估计最小的ρ0可为12.3克/厘米3,最大的可为22.3克/厘米3,取其平均值17.3克/厘米3,所得的地球密度模型称为A。后来他认为实际的ρ0与估计的最小值接近,因此令ρ0为12.3克/厘米3,所得地球密度模型称为 A′。模型A和A′中所用的y值均为0.3335。1965年后,布伦采用新的y值0.3308,并重新计得地球密度模型A″。

(2)布伦密度模型B 在计算模型A时,布伦发现在核幔边界上,密度ρ自5.5克/厘米3突增至9.9克/厘米3,而且剪切模量μ值自3×1012达因/厘米2骤降为零,但是k值的变化却很小。而且应用公式

, (8)

分别计算地幔底部和地核顶部的,它们在界面上的数值几乎相同。因此他假设深度1000公里以下的介质,k的变化都是连续的,由此得到地球密度模型B。原始模型B所用的y值为0.3335,后来他采用0.3308,重新计得的地球密度模型称为B2

布伦的密度模型是根据地震波速度得来的,因此地震波速度有了改变,密度也应随之改变。

(3)参考地球模型的密度 初步参考地球模型所得的密度(ρ)分布如图1所示。

自表4可以看到,A″模型、B2模型以及参考地球模型的差别并不太大,它们的ρ0均与冲击波所得的数据相近。

图

地球内部的μkgp参数

μk

地球物理学常用的两个弹性参数为拉梅常数μ和容积模量k。它们可以根据地震波速度求得。

图6

图6为地球内部μk、g、p的分布图。μ值自地表随深度而增大,地幔底部的μ值约为3兆巴(1巴=105帕)。约是普通钢的4倍。因为S波不能通过外核。因此外核的μ值接近于零。根据地球自由振荡周期和固体潮的数据,内核是固态的,内核的μ值自 1.9兆巴减少至1.1兆巴。

上面已经提到,布伦认为在深度大于1000公里时,k的变化是连续的,他计得地心的k值约为15兆巴。

g值

自(5)式可以计得地球内部的 g值。如果密度的分布改变,g值也随之改变。自地面至深度 2000公里处,g值的变化很小。在幔核边界上,g值达到极大,这是由于地核密度突然增大的结果。自核幔界面至地心,g值逐渐减少至零。

p

地幔顶部的压力p约为12千巴。更深的p值可从流体静压力的关系式(4)计得。p值随深度连续增大,地心的p值约为3.6兆巴。

地球的非弹性

地球并非是完全弹性体。地球的非弹性可以分为流动和滞弹性两种。

流动

外核对流可以解释地球磁场的成因,地幔对流可以解释板块的运动,地幔中的软流层可以解释重力均衡现象;实际上,由于地球内部的物质长期处于高温高压作用下,必然具有某种流动。液体流动时,剪切力σ 与切变ε 的变化率成正比

, (9)

η称为粘滞系数。如果η不是常数,而是随切变变化率的大小而异,这种形变称为蠕变。

对于岩石的蠕变曾经进行了许多理论和实验的研究。在高温时,物质的稳态蠕变方程可以写成

夊=Ci·σ nexp[-(Q*+pV*)/RT]=Ci·σ nexp[-g*Tm/T], (10)

其中夊为应变率,Ci为常数,n是一常数;Q*为激发能,p为压力,V*为激发体积,R 为气体常数,T 为绝对温度,Tm为熔点的绝对温度。随着作用的机制不同,Cin值也不相同。在地幔盖层和软流层中,最主要的蠕变可能有两种:一种称为扩散蠕变,它是由于晶体颗粒受到应力后,原子从晶体颗粒内部或沿颗粒表面扩散,致使颗粒变形。这时n=1,它适用于很高的温度和很低的应力(约1巴)情况。另一种称为位错蠕变,它是由于晶格的缺陷,在应力作用下,位错的迁移所引起的。这时n=3。它适用于应力很大,而温度并不很大的情况。在地球表面以下100公里左右的岩石层,应力一般大于数巴,所以位错蠕变的关系式似乎可以应用。自(10)式可求得夊值,有效粘滞系数可自下式求得

,      (11)

图7表示无水橄榄岩的有效粘滞系数ηe随深度的变化。图中的ηe值随着(11)式所假设的常数不同而有较大变化。一般说来,深度增加,ηe减小。但是在化学界面处,ηe值有跃增现象。在同样的深度,稳定洋盆的ηe值较地盾的为小。活动带和高热流地区的 ηe值较稳定地区的为小。根据不同方法求得上地幔软流层的ηe值约为1020帕·秒。

图7

深部物质的粘性与地球动力学问题有密切关系。浅震以及断层的发生与地壳介质的力学性质有关。随着深度和温度的增加,物质逐渐由脆性变为塑性。在TTm=0.6左右,这种转变比较明显。因此浅震和断层多在地壳上部10~20公里处发生。在稳定地区,由于温度低,浅震和断层可能延伸到40公里或是更大的深度。

地幔的对流能否产生以及对流圈的形式和大小也决定于地幔物质的ηe值。如果ηe超过1023帕·秒,地幔对流便很难存在。

滞弹性

介质的滞弹性表示该系统振动时能量的消耗。地震波的振动将随着振动的时间增长或是传播距离的增大而逐渐减小,说明地球存在滞弹性。地球的滞弹性通常用无量纲的品质因子Q来表示。Q的定义是:在一周期的振动中,贮藏于系统中的最大能量E与耗损的能量△E的比值,亦即

    (12)

能量耗损愈大,Q值愈小。

利用地震体波、面波以及地球自由振荡,可得地球内部不同深部的Q值。以Qμ反映沿切向的能量消耗(品质因子)。地壳的Qμ约为500,上地幔的Qμ降低为100左右,在400公里深度以下Qμ又逐渐增大。在地幔底部的D″层中,它自500左右急剧降低为零。外核的Qμ可以忽略,内核的Qμ约为500左右。

在岩石层中,不同地区的Q值变化很大。Q值与岩石的强度、孔隙度以及所含的水分有关。低Q带常和地震波的低速带以及地面的高热流带相符合。构造活动带的Q值常比稳定地区为小。

地球内部的电导率

研究地球内部的电导率有两方面意义:

(1)地震方法所得的地球内部构造主要是根据物质的力学性质,而电导率是地球内部的另一种参数,它可以与地震的结果共同作出解释,以缩小多解性的范围;

(2)地震波的速度分布对深部介质的矿物组成和物理性质的解释不是单一的,电导率提供了另外一种约束。

由于低速层的走时出现影区,因此走时无法直接求得低速层的参数,这时电导率的测量更是重要。此外,电导率对于温度的变化很敏感,可能自它求得地球内部的热状态。但是,地面测量的电磁场是不同深度介质影响的总和,因此它的分辨率较地震波为差;对于界面深度的测定不够准确。另一个缺点是,如果地表的电性很不均匀,或是地表为很厚的高导层时,它的应用受到限制。

研究地壳和上地幔的电导率通常利用地球的电磁感应特性。外空或地球内部的原生磁场在地球导体中产生感应电流和感应磁场。测量感应电流与原生磁场的比值,或是感应磁场与原生磁场的比值,均可求得地球内部的电导率(见地球电磁感应);前者称为大地电磁测深,后者包括地磁测深和球对称磁位的分析两种方法。

大地电磁测深对于研究地壳和上地幔的电导率效果较好。它同时测定了磁场和电场。电离层产生10~1440分周期的变化磁场;周期愈大,穿透的深度也愈大。1小时周期的电磁场变化主要反映200~300公里深度的电导率,1天的周期反映600~800公里深度的电导率。更大深度的电导率,由于干扰太大,实际上无法利用大地电磁测深方法。

研究下地幔的电导率主要利用地核所产生的地磁长期变化。下地幔对地核的电磁信号起滤波作用,它使高频信号减弱。假定地核磁场为已知,自地磁长期变化的频谱可得下地幔的电导率。

地球内部的电性可用电导率或电阻率来表示。地面附近沉积层的电阻率一般较低,深度到达基岩后,电阻率急剧增大,通常达10000~50000欧米。有些地区,地壳下部的电阻率即开始降低,只有200欧米或更小。

某些作者给出上地幔的电阻率如图8所示。相应于100~200公里深度低速层的电阻率为10欧·米,在深度400~650公里处,电阻率又复急剧减小为1欧·米。在下地幔1500公里深度处,电阻率只有0.1欧·米。

图8

地核的电导率必须很大,不然地磁发电机作用便要停止。测量铁以及铁合金的电导率随压力的变化,斯特西(F.D.Stacey)等估计外核电导率为3×105西[门子]米。

自不同地区测量的结果,发现低电阻率的地区常常和高热流地区以及活动构造带相符合。

关于地壳下部以及上地幔低速层处的电阻率测量结果特别引人注意。如果地壳下部的电阻率只有200欧·米左右,而玄武岩的电阻率即使考虑到温度和压力的影响,也不能小于104欧·米。因此有人怀疑地壳下部物质的孔隙度可能较大,或是有含水的矿物存在。

上地幔低速层的电阻率也许只有10欧·米,准确测定低速层的深度、厚度和电性,对于研究地球动力学有很大意义。

地球内部的温度

地球内部运动的驱动力与地球内部温度以及热的传输有直接关系。根据矿山测井的资料,地温随深度而增大,说明有热流自地球内部向表面流出。大陆的平均热流为1.4微卡(厘米2·秒),海洋的平均热流为1.6微卡/(厘米2·秒)。地球表面单位时间所散失的总热量为8.5×1012卡/秒。大部分热流是由于地球内部放射性物质的衰变产生的,其他一部分可能来源于地球冷却和地核分异时所产生的重力能。

地球内部热的传输主要是传导和对流。大陆岩石层的热传输也是受传导所控制,但是在海岭处,玄武岩和热水的对流很剧烈。在岩石层下面,热对流可能是更重要的热传输方式,但是由于对流的方式未能确定,因此它对温度分布的影响也难计算。

地球内部的温度分布对地球物质的力学和热力学性质有很大影响。例如,温度的高低可以决定物质的粘滞系数η,而η 值又可以决定对流层的空间和时间尺度。

假定没有对流,地球的热传导方程可以写成

    (13)

式中T为温度,ρ 为密度,c为比热,k为热导率,A为热产量,它表示热源每单位时间,每单位体积所产生的热量。在已经达到热平衡的状态下,дTt =0。如果A=0,(13)式表示冷却方程。

按照定义,热流为

,   (14)

如果A为常数,而且дTt =0,自(13)式可得

  , (15)

式中z为深度,q0为地面热流。在很多地区,放射性源的分布为深度z的指数函数,亦即

,    (16)

这时,深度z处的温度可写成

   (17)

如果已知Ak的数值,温度的分布便可算得。

地壳温度

计算地壳温度可用(15)或(17)的热传导公式。岩石的k值可自实验室测得,地壳岩石的k值约为7~8卡/(厘米·秒·摄氏度)。地面不同岩石的 A值如表5所示。

表5

不同构造单元的地壳温度差别很大。在同样深度,海洋地壳的温度较大陆为大。大陆年轻活动带的热流较高,相应深度的温度较稳定地区为高。

地幔温度

自莫霍界面至软流层顶面之间的温度,主要还是受热传导所控制,只是由于热源的分布和热导率很不确定,因此计算值的准确度不高。

上地幔的温度还可以从“岩石地温计”测得。物质自地幔不同深度上升到地面时,其中有些矿物(如辉石、斜辉石)在结晶时,因温度和压力条件的不同,矿物组成成分的比例亦随之不同。利用这种关系可以求得数百公里深度内的温度。

地幔顶部的温度分布如图9所示。自图中可以看出,海洋和大陆的温度差别至少延伸到400公里深度以上。

图9

地幔过渡层的温度可以自产生相变的条件求得。根据实验的结果,橄榄石在深度380公里处产生相变的温度为1400℃,在520公里处为1550℃,在670公里处为1640℃。它们可以作为温度的指标。

确定下地幔的温度比较困难。假定下地幔没有热源,地幔温度纯由压力作用所产生的,这样的温度称为绝热自压温度,它可用下式表示

   (18)

式中g重力加速度α 为体膨胀系数,Cp为恒压下的比热,负号表示与地心的距离r减少时,温度增大。下地幔D′区的绝热自压温度的增值约为660℃。

绝热自压温度梯度应当是下地幔温度的最低限。但是在有对流的情况下,下地幔的实际温度不会比绝热自压温度高得很多。不同作者所得地幔和地核的温度如图10所示。

图10

安德森(D.L.Anderson)等人根据相变实验的结果,取670公里深度的温度1640℃,该处间断面的存在温度可能增加150℃,D′的温度增值取为662℃, 估计下地幔还可能存在一些次要的相变,使温度增加 100℃,D″区的温度可能增加300℃,这样可得在地幔底部核幔边界上的温度为3125K。

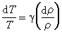
下地幔温度也可以自格吕奈森参数求得。在绝热自压状态下,根据热力学定律可得

,    (19)

式中T为温度,ρ 为密度,γ 为格吕奈森参数。根据半经验公式,已知地球内部的密度或速度分布,就能求得γ值的分布。因此(19)式成为求温度的一个很重要方程。斯特西等人估计D′区的γ值自1.03单调地降低为0.914,相应的 D′区温度增值为600℃。根据不同作者对γ的估计,D′区的温度增值约为460~660℃。

地核温度

由于地核的主要物质是铁镍,外核为液态,内核为固态,所以测定内外核边界上铁镍合金的熔点对于确定地核温度有很重要意义。

尤塞尔曼(T.M.Usselman)曾经测量铁硫共晶在60千巴下的熔点,按照不同方法外推,内外核边界上的温度约为 3750~4150K。已知核幔边界和内外核边界的温度,外核和内核的温度就能根据绝热自压方程或是格吕奈森参数γ 求得。自图8中可以看出,核幔边界上的温度有较大的跳跃,也就是说核幔边界上需要存在一个热边界,在边界上应有较大的热流自地核流向地幔底部。