[拼音]:Anpei huanlu dingli
[外文]:theorem of Ampère’s closed loop
关于稳恒磁场性质的一个基本定理。稳恒磁场的磁感应强度B沿任何闭合路径L的线积分,等于穿过L的电流强度代数和的µ0倍,即
(1)
式中(L)表示 L所围的面积,而电流I 的正负号规定如下:当穿过 L的电流的方向同积分的环绕方向构成右手螺旋关系时I>0;反之,I<0。定理表明,在稳恒磁场中,B沿任何闭合路径的线积分仅由穿过此路径所围面积的净电流决定,而同未穿过它的电流分布无关。
安培环路定理可以由毕奥-萨伐尔定律导出。它反映了稳恒磁场的磁感应线和载流导线相互套连的性质。利用这一定理,可直接计算某些对称分布电流的磁场。
当存在磁介质时,介质被磁化,存在磁化强度M,出现磁化电流I┡。除传导电流I0之外,磁化电流I┡对磁场也有一定的贡献。因此,磁介质存在时,式(1)为
(2)
利用磁化强度M同磁化电流I┡之间的关系
(3)
式(2)化为
(4)
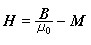
式中H称为磁场强度,
。式(4)就是磁介质存在时的安培环路定理。
利用场论中的斯托克斯公式,式(4)可化为微分形式,得
,(5)
式中j0为传导电流密度。式(5)表明:某一点的磁场强度的旋度仅由该点传导电流密度决定。
由此可建立稳恒磁场的一般理论,稳恒磁场的问题可归结为在给定的边值条件下,求解包含式(5)的场的微分方程组。安培环路定理又是磁路设计的理论基础。
对于非稳恒电流,式(4)不再成立。J.C.麦克斯韦引入位移电流。把式(4)中的I 推广为包括位移电流在内的全电流,从而获得麦克斯韦方程组的一个核心方程。