[拼音]:diancibo de sanshe
[外文]:scattering of electromagnetic waves
当电磁波入射到宏观物体或微观电子上时,引起物体上的诱导电荷和电流,或改变电子运动,从而向各个方向辐射电磁波的过程。以光波为例,它主要和物质(气、液、固)中的电子发生相互作用。因此,当光波入射到物体上时,波的电场使物质中的电子受到加速。这些加速了的电子沿不同方向辐射出电磁波(见电磁辐射),结果,沿入射波传播方向的辐射将有所减弱,所减弱的能量分布到其他方向上。
电磁波的散射是自然界中重要而普遍的现象之一,并有着广泛的应用。在波长极短的情形下,光的量子性十分显著,这时光的散射又称为光子的散射。波长小于4×10-12m的电磁波的散射称为γ光子散射,它是研究核结构的工具之一;稍长的波长称为X 射线的散射,它是研究晶体结构极有力的分析方法;在可见光区内,光的散射产生五彩缤纷的自然景象,如蓝天、红日和白云;有源遥感是通过可见光、红外线和微波的散射数据来确定目标性质的一种新技术;微波的散射是雷达确定目标的方位和距离的主要依据;超短波在对流层中的散射可以用作远距离的通信;等等。下面说明一些散射的主要特征。
无线电波的散射无线电波是波长较长的电磁波,当无线电波入射到尺寸较波长小得多的障碍物时,即发生散射。如障碍物尺寸比波长大,一部分遭受反射,一部分则绕过此障碍物产生所谓衍射现象。尽管原则上散射场可以根据麦克斯韦方程组及边界条件求得,但只有少数比较简单的情况,如处于均匀各向同性媒质中几何形状比较简单的障碍物(如柱、球、锥、尖劈、狭缝等)的散射,才能求出其精确解。近40年来,由于实践的需要,经典散射理论颇受科技界重视,并发展了旋磁媒质和旋电媒质电动力学,提出了许多探讨任意形状障碍物散射的近似方法,如几何衍射法、变分法、微扰法、矩量法、单矩法、有限元法等。新的近似方法还在不断涌现。例如,E.M.珀塞耳与C.R.彭尼帕克曾把一个任意形状由任意电磁媒质构成的障碍物用一个由基本偶极子所组成的粗粒点阵列来代替,使用电子计算机通过迭代法计算,可以求出一个自洽散射解。把这种计算结果和球体的精确解进行比较,可以看出,在
的波长范围内两者是一致的。这里 r 是球的半径,λ是波长。这一方法可以应用于星际粒子对光的散射和吸收。数值计算是一种近年来发展起来的、令人瞩目的处理散射的近似方法。
如果媒质是均匀各向同性的,则电磁波的传播不受干扰,也不发生偏转,如果媒质的电磁性质随空间或时间而变化,则波将发生散射。在高层大气中,由大气密度涨落所引起的无线电波的无规漫射,使远距离通信成为可能。
根据从入射波吸收能量和稍后发生再辐射相隔时间的长短,可以对散射过程进行分类。真正的“散射”基本上是瞬时的过程。如果吸收和再辐射之间有可觉察的时间延迟,则这一过程称为发光。如果延迟为微秒量级,该过程称为荧光。通常称长达几秒的延迟情况为磷光。
喇曼散射按照入射波和散射频率偏移,瞬时散射过程可作进一步分类。有些散射是“弹性的”;在这过程中,只有相移,没有频移。1928年,印度物理学家C.V.喇曼发现了光的非弹性散射过程(见喇曼效应)。即当入射到分子上的是单色光时,在散射光的频谱中,入射线两侧的对称位置上,出现一些新的弱谱线,长波侧的谱线较短波侧的强些。前者称为斯托克斯线,后者称为反斯托克斯线,两者统称喇曼谱线。产生喇曼散射的原因是散射分子的转动能态和振动能态发生变化,结果散射光的频率不同于入射光。这一效应是分析分子结构的有力工具。
广义来讲,光波受到磁性晶体的自旋波、半导体中的等离子体波以及受到诸如“旋子”(超流氦的元激发)的外来激励而引起的非弹性散射,均可称为喇曼散射。
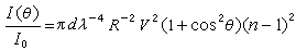
瑞利散射是一种由热力学涨落(密度、温度涨落)所引起的弹性散射。在固体中,这种效应被缺陷和杂质的散射所掩盖。在流体中,假设粒子的线性尺寸远比入射光的波长要小,可推导出下列关系(瑞利,1871):
,
式中I(θ)是在(R,θ)处的散射光强,I0和λ分别是入射波的光强与波长,d是散射粒子数,V是粒子的体积,n是流体的折射率,由于入射波是非偏振光,上式中出现了(1+cos2θ)乘子,这里θ是入射线和散射线之间的夹角,通常称为散射角。上式表示散射光强和入射波波长的四次方成反比,这就是通常称为的瑞利定律。按照这一定律,可见光频谱中,λ=400mm 的紫光的散射光强要比λ=700nm的红光大十倍左右。下表列出了可见光频谱中六种谱色的相对光强I/Ir。这里,Ir表示红光的散射光强。
当日光投射到地球大气层时,频谱中各成分受到大气分子散射的结果使天空呈现浅蓝色。这一颜色是上表中列出的六种谱色的相对光强的混合产物。日落时,日光穿过较厚的大气层,除红色外,日光中的其他谱色强烈地被散射掉,因而呈现红色。
如果散射粒子的尺寸和波长相当,或比光波波长大,在这种情况下散射光强和入射波频率几乎无关。这种散射称为廷德耳效应。在云层中,水滴的尺寸比可见光波长要大,因而呈现白色。
在近代技术中,光散射是一种重要的分析工具。例如,可以用它确定散射粒子的大小与数密度或散射物质的分子量。星际尘埃可以散射通过宇宙空间的光,尽管散射光本身已减弱到难以检测的程度,但通过透射光的分析,可以求出尘埃的含量及其性质。
非线性散射由于高功率脉冲激光器的问世,出现了许多新的散射现象。这些现象有:
(1)光学倍频,入射波束中两个光子转换成一个能量加倍的光子。例如,从红宝石激光器所发出的光子变成频率为原来的两倍的光子。
(2)光学三次谐波。
(3)光学混频,两束激光相遇后所产生的散射光,其频率为两个入射波的频率之差。
(4)超喇曼效应,散射光的频率是入射光的两倍加上(或减去)v′=E′/h,其中E′是振动能,h是普朗克常数。这些现象都是在极高功率下所发生的强烈散射作用(见非线性光学)。这些非线性散射现象可能在无线电物理研究中具有重要意义。
康普顿散射1922年,美国物理学家A.H.康普顿发现:在散射的X光中有频率略低于入射波的谱线(见康普顿效应)。根据能量为 hv、动量为hv/с的光子和处于静止状态的电子之间弹性碰撞所要求的能量守恒与动量守恒原理,可以得到
λ′-λ=λσ(1-cosθ),
式中 λ与λ′分别表示入射与散射光子的波长,散射角θ是入射与散射光子方向之间的夹角,常数λσ=h/mс,称为康普顿波长,其值为0.0243×10-10 m。这一效应证实了电磁辐射粒子的性质。
- 参考书目
- J. R. Mentzer, Scattering and DiffRaction of Radio Wαves,Pergamon Press, London, 1955.