[拼音]:Maikesiwei xieqiang zhangliang
[外文]:Maxwell’s stress tensor
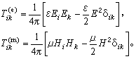
J.C.麦克斯韦用以说明电磁场弹性力学性质的张量。在19世纪关于电荷之间相互作用力的问题上,曾有“超距作用”及“近距作用”两种论点。前者认为相互作用无需经过媒质;后者认为必需借助于媒质。但真空中没有通常的媒质,于是提出以太论。假定空间充满了无质量但有弹性的“以太”,靠它传递作用力和传播波动。为了描述电荷之间作用力,M.法拉第提出力线管概念:每个力线管包含大量的力线,用单位横截面内力线的数目来标志电场强度,并认为这些力线管纵向有张力,横向有压力。力线起始于正电荷而终止于负电荷,异号电荷间的吸力和同号电荷间的斥力即通过力线管的纵向张力和横向压力进行传递。磁场的情形也类似,沿磁力管方向存在张力,垂直于磁力管方向存在压力。麦克斯韦用数学方法证明了法拉第观点,得出了一个类似于弹性力学的方程。其中与胁强相当的张量,称为麦克斯韦胁强张量。它可以用电场E和磁场H表示出来,并分为电和磁两部分,分别以分量
来表示,忽略介质的电致伸缩和磁致伸缩,并用高斯单位制
ε为介电常数(或电容率),μ 为磁导率,δik为克罗内克符号,
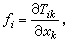
在弹性体内,彻体力密度F) 与胁强张量
的关系为
对一封闭曲面S内的体积V求积分得到给定体积里所受的总力等于S面上胁强的面积分,即
从近代场论的观点看,虽然以太并不存在,但电磁场具有物质性并具有能量和动量,电荷之间的作用是通过电磁场传递的。法拉第和麦克斯韦所设想的胁强相当于电磁场的动量流。因此麦克斯韦胁强张量在近代电磁场理论或电动力学书中又称为电磁场动量流张量,只是增加了一个负号(这是由于定义上的差别)。