µ¯ÐÔÁ¦Ñ§

ä¯ÀÀ

¹ÌÌåÁ¦Ñ§µÄÖØÒª·ÖÖ§£¬ËüÑо¿µ¯ÐÔÎïÌåÔÚÍâÁ¦ºÍÆäËûÍâ½çÒòËØ×÷ÓÃϲúÉúµÄ±äÐκÍÄÚÁ¦£¬ÓֳƵ¯ÐÔÀíÂÛ¡£ËüÊDzÄÁÏÁ¦Ñ§¡¢½á¹¹Á¦Ñ§¡¢ËÜÐÔÁ¦Ñ§ºÍijЩ½»²æÑ§¿ÆµÄ»ù´¡£¬¹ã·ºÓ¦ÓÃÓÚ½¨Öþ¡¢»úе¡¢»¯¹¤¡¢º½ÌìµÈ¹¤³ÌÁìÓò¡£

¼òÊ·

¹Å´ú¹­¼ý¾ÍÊÇÀûÓÃÎïÌ嵯ÐÔµÄÀý×Ó¡£µ±Ê±ÈËÃÇÒѲ»×Ô¾õµØÔËÓÃÏÂÁÐÖØÒªÔ­Àí£º½«ÍâÁ¦Ëù×÷µÄ¹¦×ª»¯Îªµ¯ÐÔÌ壨¹­£©µÄÓ¦±äÄÜ£¬È»ºó½«µ¯ÐÔÓ¦±äÄÜѸËÙÊÍ·Å£¬×ª»¯Îª¼ýµÄ¶¯ÄÜ¡£µ«ÊÇÈËÃÇÓÐϵͳµØ¡¢¶¨Á¿µØÑо¿µ¯ÐÔÁ¦Ñ§£¬ÊÇ´Ó17ÊÀ¼Í¿ªÊ¼µÄ¡£µ¯ÐÔÁ¦Ñ§µÄ·¢Õ¹´óÌå¿É·ÖΪËĸöʱÆÚ£º

³õÆÚÖ÷Ҫͨ¹ýʵ¼ù£¬ÓÈÆäÊÇͨ¹ýʵÑé̽Ë÷µ¯ÐÔÁ¦Ñ§»ù±¾¹æÂÉ¡£Ó¢¹úµÄR.ºú¿ËÓÚ1678ÄêºÍ·¨¹úµÄE.ÂíÂÔÌØÓÚ1680Äê·Ö±ð¶ÀÁ¢µØÌá³öÁ˵¯ÐÔÌåµÄ±äÐκÍËùÊÜÍâÁ¦³ÉÕý±ÈµÄ¶¨ÂÉ£¬ºó±»³ÆÎªºú¿Ë¶¨ÂÉ¡£I.Å£¶ÙÓÚ1687ÄêÈ·Á¢ÁËÁ¦Ñ§Èý¶¨ÂÉ£¨¼ûÅ£¶ÙÔ˶¯¶¨ÂÉ£©¡£Í¬Ê±£¬ÊýѧҲÔÚ·ÉÔ¾·¢Õ¹£¬½¨Á¢µ¯ÐÔÁ¦Ñ§ÊýѧÀíÂÛµÄÌõ¼þÒÑ´óÌå¾ß±¸£¬´Ó¶øÍƶ¯µ¯ÐÔÁ¦Ñ§½øÈëµÚ¶þ¸öʱÆÚ¡£

ÔÚ17ÊÀ¼ÍÄ©µÚ¶þ¸öʱÆÚ¿ªÊ¼Ê±£¬ÈËÃÇÖ÷ÒªÑо¿ÁºµÄÀíÂÛ£¨ÏÖÔÚÁºÀíÂÛÒѹéÈë²ÄÁÏÁ¦Ñ§£©¡£µ½19ÊÀ¼Í20Äê´ú·¨¹úµÄC.-L.-M.-H.ÄÉάºÍA.-L.¿ÂÎ÷²Å»ù±¾ÉϽ¨Á¢Á˵¯ÐÔÁ¦Ñ§µÄÊýѧÀíÂÛ¡£¿ÂÎ÷ÔÚ1822¡«1828Äê¼ä·¢±íµÄһϵÁÐÂÛÎÄÖУ¬Ã÷È·µØÌá³öÁËÓ¦±ä¡¢Ó¦±ä·ÖÁ¿¡¢Ó¦Á¦ºÍÓ¦Á¦·ÖÁ¿µÄ¸ÅÄ½¨Á¢Á˵¯ÐÔÁ¦Ñ§µÄ¼¸ºÎ·½³Ì¡¢Ô˶¯(ƽºâ)·½³Ì¡¢¸÷ÏòͬÐÔÒÔ¼°¸÷ÏòÒìÐÔ²ÄÁϵĹãÒåºú¿Ë¶¨ÂÉ£¬´Ó¶øµì¶¨Á˵¯ÐÔÁ¦Ñ§µÄÀíÂÛ»ù´¡£¬´ò¿ªÁ˵¯ÐÔÁ¦Ñ§Ïò×ÝÉî·¢Õ¹µÄÍ»ÆÆ¿Ú¡£

µÚÈý¸öʱÆÚÊÇÏßÐÔ¸÷ÏòͬÐÔµ¯ÐÔÁ¦Ñ§´ó·¢Õ¹µÄʱÆÚ¡£ÕâһʱÆÚµÄÖ÷Òª±êÖ¾Êǵ¯ÐÔÁ¦Ñ§¹ã·ºÓ¦ÓÃÓÚ½â¾ö¹¤³ÌÎÊÌ⡣ͬʱÔÚÀíÂÛ·½Ã潨Á¢ÁËÐí¶àÖØÒªµÄ¶¨Àí»òÔ­Àí£¬²¢Ìá³öÁËÐí¶àÓÐЧµÄ¼ÆËã·½·¨¡£1855¡«1856Äê¼ä·¨¹úµÄA.J.C.B.deʥάÄÏ·¢±íÁ˹ØÓÚÖùÌåŤתºÍÍäÇúµÄÂÛÎÄ£¬¿ÉÒÔ˵ÊǵÚÈý¸öʱÆÚµÄ¿ªÊ¼¡£ÔÚËûµÄÂÛÎÄÖУ¬ÀíÂÛ½á¹ûºÍʵÑé½á¹ûÃÜÇÐÎǺϣ¬Îªµ¯ÐÔÁ¦Ñ§µÄÕýÈ·ÐÔÌṩÁËÓÐÁ¦µÄÖ¤¾Ý¡£1881ÄêµÂ¹úµÄH.R.ºÕ×Ƚâ³öÁËÁ½µ¯ÐÔÌå¾Ö²¿½Ó´¥Ê±µ¯ÐÔÌåÄÚµÄÓ¦Á¦·Ö²¼£¨¼û½Ó´¥ÎÊÌ⣩¡£1898ÄêµÂ¹úµÄG.»ù¶ûÊ©ÔÚ¼ÆËãÔ²¿×¸½½üµÄÓ¦Á¦·Ö²¼Ê±£¬·¢ÏÖÁËÓ¦Á¦¼¯ÖС£ÕâЩ³É¾Í½âÊÍÁ˹ýÈ¥ÎÞ·¨½âÊ͵ÄʵÑéÏÖÏó£¬ÔÚÌá¸ß»úе¡¢½á¹¹µÈÁã¼þµÄÉè¼ÆË®Æ½·½ÃæÆðÁËÖØÒª×÷Óã¬Ê¹µ¯ÐÔÁ¦Ñ§µÃµ½¹¤³Ì½çµÄÖØÊÓ¡£

ÔÚÕâ¸öʱÆÚ£¬µ¯ÐÔÁ¦Ñ§µÄÒ»°ãÀíÂÛÒ²ÓкܴóµÄ·¢Õ¹£¬È¡µÃÁËÏÂÁÐÁ½·½ÃæÖØÒª³É¹û£º

£¨1£©½¨Á¢Á˸÷ÖÖ¹ØÓÚÄÜÁ¿µÄ¶¨Àí(Ô­Àí)¡£ÔÚµ¯ÐÔÁ¦Ñ§µÄ»ù±¾·½³Ì½¨Á¢ºó²»¾Ã£¬¾Í½¨Á¢Á˵¯ÐÔÁ¦Ñ§Ð鹦ԭÀíºÍµ¯ÐÔÁ¦Ñ§×îÐ¡ÊÆÄÜÔ­Àí¡£1872ÄêÒâ´óÀûµÄE.±´µÙ½¨Á¢Á˹¦µÄ»¥µÈ¶¨Àí¡£1873¡«1879Äê¼äÒâ´óÀûµÄA.¿¨Ë¹µÙÀûÑÇŵ½¨Á¢Á˵¯ÐÔÁ¦Ñ§×îСÓàÄÜÔ­Àí¡£´Ó´Ëµ¯ÐÔÁ¦Ñ§ÄÜÁ¿¶¨Àí£¨Ô­Àí£©±ã×ßÉÏÁ˶ÀÁ¢·¢Õ¹µÄµÀ·¡£

£¨2£©·¢Õ¹ÁËÐí¶àÓÐЧµÄ½üËÆ¼ÆËã¡¢ÊýÖµ¼ÆËãºÍÆäËû¼ÆËã·½·¨£¬ÈçÖøÃûµÄÈðÀû£­Àï×È·¨£¬ÎªÖ±½ÓÇó½â·ºº¯¼«ÖµÎÊÌ⿪±ÙÁ˵À·£¬Íƶ¯ÁËÁ¦Ñ§¡¢ÎïÀí¡¢¹¤³ÌÖнüËÆ¼ÆËãµÄÅ·¢Õ¹¡£1913¡«1915Äê¶í¹úµÄ§ª.§¤.²¼²ªÅµ·òºÍ§¢.§¤.Ù¤ÁɽðÌá³öÁËÖøÃûµÄ²¼²ªÅµ·ò£­Ù¤Áɽ𷨡£ºóÀ´£¬ËÕÁªµÄ§¯.§ª.ÄÂ˹ºÕÀûʲάÀûÓÚ20ÊÀ¼Í30Äê´ú·¢Õ¹Á˸´±äº¯ÊýµÄÓ¦Óã¬ÎªÇó½âµ¯ÐÔÁ¦Ñ§Æ½ÃæÎÊÌâÌṩÁËÓÐÁ¦µÄ¹¤¾ß£¨¼ûµ¯ÐÔÁ¦Ñ§¸´±äº¯Êý·½·¨£©¡£»ý·Ö±ä»»ºÍ»ý·Ö·½³ÌµÈÔÚµ¯ÐÔÁ¦Ñ§ÖеÄÓ¦ÓÃÒ²ÓÐÁËз¢Õ¹¡£

´Ó20ÊÀ¼Í20Äê´úÆð£¬µ¯ÐÔÁ¦Ñ§µÄ·¢Õ¹½øÈëµÚËĸöʱÆÚ£¬ÔÚ·¢Õ¹¾­µäÀíÂÛµÄͬʱ£¬¹ã·ºµØÌ½ÌÖÁËÐí¶à¸´ÔÓµÄÎÊÌ⣬³öÏÖÁËÐí¶à±ßÔµ·ÖÖ§£º¸÷ÏòÒìÐԺͷǾùÔÈÌåµÄÀíÂÛ£¬·ÇÏßÐÔ°å¿ÇÀíÂۺͷÇÏßÐÔµ¯ÐÔÁ¦Ñ§£¬¿¼ÂÇζÈÓ°ÏìµÄÈȵ¯ÐÔÁ¦Ñ§£¬Ñо¿¹ÌÌåÍ¬ÆøÌåºÍÒºÌåÏ໥×÷ÓÃµÄÆø¶¯µ¯ÐÔÁ¦Ñ§ºÍË®µ¯ÐÔÀíÂÛÒÔ¼°Õ³µ¯ÐÔÀíÂ۵ȡ£´Åµ¯ÐÔºÍ΢½á¹¹µ¯ÐÔÀíÂÛÒ²¿ªÊ¼½¨Á¢ÆðÀ´¡£´ËÍ⣬»¹½¨Á¢Á˵¯ÐÔÁ¦Ñ§¹ãÒå±ä·ÖÔ­Àí¡£ÕâЩÐÂÁìÓòµÄ·¢Õ¹£¬·á¸»Á˵¯ÐÔÁ¦Ñ§µÄÄÚÈÝ£¬´Ù½øÁËÓйع¤³Ì¼¼ÊõµÄ·¢Õ¹¡£

»ù±¾¹æÂÉ

µ¯ÐÔÁ¦Ñ§ËùÒÀ¾ÝµÄ»ù±¾¹æÂÉÓÐÈý¸ö£º±äÐÎÁ¬Ðø¹æÂÉ¡¢Ó¦Á¦-Ó¦±ä¹ØÏµºÍÔ˶¯(»òƽºâ)¹æÂÉ£¬ËüÃÇÓÐʱ±»³ÆÎªµ¯ÐÔÁ¦Ñ§Èý´ó»ù±¾¹æÂÉ¡£µ¯ÐÔÁ¦Ñ§ÖÐÐí¶à¶¨Àí¡¢¹«Ê½ºÍ½áÂ۵ȣ¬¶¼¿ÉÒÔ´ÓÈý´ó»ù±¾¹æÂÉÍÆµ¼³öÀ´¡£

£¨1£©±äÐÎÁ¬Ðø¹æÂÉ¡¡µ¯ÐÔÁ¦Ñ§£¨ºÍ¸ÕÌåµÄÁ¦Ñ§ÀíÂÛ²»Í¬£©¿¼Âǵ½ÎïÌåµÄ±äÐΣ¬µ«Ö»ÏÞÓÚ¿¼ÂÇÔ­À´Á¬Ðø¡¢±äÐκóÈÔΪÁ¬ÐøµÄÎïÌ壬ÔÚ±äÐιý³ÌÖУ¬ÎïÌå²»²úÉúеIJ»Á¬ÐøÃæ¡£Èç¹ûÎïÌåÖб¾À´¾ÍÓÐÁÑÎÆ£¬Ôòµ¯ÐÔÁ¦Ñ§Ö»¿¼ÂÇÁÑÎÆ²»À©Õ¹µÄÇé¿ö¡£

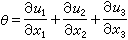
·´Ó³±äÐÎÁ¬Ðø¹æÂɵÄÊýѧ·½³ÌÓÐÁ½Àࣺ¼¸ºÎ·½³ÌºÍÎ»ÒÆ±ß½çÌõ¼þ¡£¼¸ºÎ·½³Ì·´Ó³Ó¦±äºÍÎ»ÒÆµÄÁªÏµ£¬ËüµÄÁ¦Ñ§º¬ÒåÊÇ£¬Ó¦±äÍêÈ«ÓÉÁ¬ÐøµÄÎ»ÒÆËùÒýÆð¡£Ôڵѿ¨¶ù×ø±êϵÖУ¬¼¸ºÎ·½³ÌΪ£º

¹«Ê½ ·ûºÅ¡¡¡¡ (1)

ʽÖÐxiÎª×ø±êϵµÄ×ø±ê;uiΪÓëxiÏàÓ¦µÄÎ»ÒÆ·ÖÁ¿£»¦ÅijΪӦ±ä·ÖÁ¿¡£

ÈôËù¿¼ÂǵÄÎïÌ妸ÔÚÆäÒ»²¿·Ö±ß½çB1ÉϺÍÁíÒ»ÎïÌ妸1ÏàÁ¬½Ó£¬¶øÇÒ¦¸ÔÚB1ÉϵÄÎ»ÒÆ¨±iΪÒÑÖªÁ¿£¬ÔÚB1ÉϱãÓÐÎ»ÒÆ±ß½çÌõ¼þ

ui£½¨±i¡¡ (i£½1£¬2£¬3)¡¡¡¡¡¡¡¡¡¡¡¡(2)

ʽÖÐuiÊǦ¸µÄÎ»ÒÆ¡£Ê½(2)±íʾ¦¸ºÍ¦¸1Á½ÎïÌåÔÚB1ÉÏÌùºÏ½ôÃÜ£¬Ã»Óмä϶¡£·´Ö®Ôò±íʾÓмä϶£¬Î¥·´Á˱äÐκó¼ÌÐø±£³ÖÁ¬ÐøµÄ»ù±¾ÒªÇó¡£

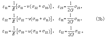
£¨2£©Ó¦Á¦£­Ó¦±ä¹ØÏµ¡¡µ¯ÐÔÌåÖÐÒ»µãµÄÓ¦Á¦×´Ì¬ºÍÓ¦±ä״̬֮¼ä´æÔÚ×ÅÒ»¶¨µÄÁªÏµ£¬ÕâÖÖÁªÏµÓëÈçºÎ´ïµ½ÕâÖÖÓ¦Á¦×´Ì¬ºÍÓ¦±ä״̬µÄ¹ý³ÌÎ޹أ¬¼´Ó¦Á¦ºÍÓ¦±äÖ®¼ä´æÔÚÒ»Ò»¶ÔÓ¦µÄ¹ØÏµ¡£ÈôÓ¦Á¦ºÍÓ¦±ä³ÊÏßÐÔ¹ØÏµ£¬Õâ¸ö¹ØÏµ±ã½Ð×÷¹ãÒåºú¿Ë¶¨ÂÉ£¬¸÷ÏòͬÐÔ²ÄÁϵĹãÒåºú¿Ë¶¨ÂÉÓÐÁ½ÖÖ³£ÓõÄÊýѧÐÎʽ£º

¦Ò11£½¦Ë(¦Å11£«¦Å22£«¦Å33)£«2G¦Å11£¬ ¦Ò23£½2G¦Å23£¬

¦Ò22£½¦Ë(¦Å11£«¦Å22£«¦Å33)£«2G¦Å22£¬ ¦Ò31£½2G¦Å31£¬¡¡(3a)

¦Ò33£½¦Ë(¦Å11£«¦Å22£«¦Å33)£«2G¦Å33£¬ ¦Ò12£½2G¦Å12

ºÍ

¹«Ê½ ·ûºÅ

ʽÖЦÒijΪӦÁ¦·ÖÁ¿£»¦ËºÍGΪÀ­Ã·³£Êý£¬GÓֳƼôÇÐÄ£Á¿£»EΪÑîÊÏÄ£Á¿£¨»òµ¯ÐÔÄ£Á¿£©£»¦ÍΪ²´Ëɱȣ¨¼û²ÄÁϵÄÁ¦Ñ§ÐÔÄÜ£©¡£¦Ë¡¢G¡¢EºÍ¦ÍËĸö³£ÊýÖ®¼ä´æÔÚÏÂÁÐÁªÏµ£º

¹«Ê½ ·ûºÅ¡¡¡¡¡¡¡¡(4)

ʽ(3a)ÊÊÓÃÓÚÒÑÖªÓ¦±äÇóÓ¦Á¦µÄÎÊÌ⣬ʽ(3b)ÊÊÓÃÓÚÒÑÖªÓ¦Á¦ÇóÓ¦±äµÄÎÊÌâ¡£

£¨3£©Ô˶¯£¨»òƽºâ£©¹æÂÉ¡¡´¦ÓÚÔ˶¯£¨»òƽºâ£©×´Ì¬µÄÎïÌ壬ÆäÖÐÈÎÒ»²¿·Ö¶¼×ñÊØÁ¦Ñ§ÖеÄÔ˶¯(»òƽºâ)¹æÂÉ£¬¼´Å£¶ÙÔ˶¯Èý¶¨ÂÉ¡£·´Ó³Õâ¸ö¹æÂɵÄÊýѧ·½³ÌÓÐÁ½ÀࣺÔ˶¯£¨»òƽºâ£©Î¢·Ö·½³ÌºÍÔØºÉ±ß½çÌõ¼þ¡£Ôڵѿ¨¶ù×ø±êϵÖУ¬Ô˶¯£¨»òƽºâ£©Î¢·Ö·½³ÌΪ£º

¹«Ê½ ·ûºÅ¡¡ (5)

ʽÖÐtΪʱ¼ä£»¦ÑΪ²ÄÁÏÃܶȣ»fiΪ×÷ÓÃÔÚÎïÌåÉϵÄÌåÁ¦£¨ÍâÔØºÉµÄÌå»ýÃܶȣ©·ÖÁ¿¡£ ·½³Ì(5)ʵÖÊÉÏÊÇ´ÓÎïÌåÖиôÀë³öÀ´µÄÒ»¸ö΢СƽÐÐÁùÃæÌåµÄÔ˶¯·½³Ì¡£ÔÚÆ½ºâÎÊÌâÖУ¬¹ßÐÔÁ¦¹«Ê½ ·ûºÅºÜС£¬ºöÂÔÕâЩ¹ßÐÔÁ¦£¬±ãµÃµ½µ¯ÐÔÁ¦Ñ§ÖÐµÄÆ½ºâ΢·Ö·½³Ì¡£¶ÔÓÚ¾ùÔȶøÇÒ¸÷ÏòͬÐÔµÄÎïÌ壬ӦÁ¦·ÖÁ¿¿É°´Ê½(3a)ÓÃÓ¦±ä·ÖÁ¿±íʾ£¬¶øÓ¦±ä·ÖÁ¿Óֿɰ´Ê½(1)ÓÃÎ»ÒÆ·ÖÁ¿±íʾ¡£ Á½¸ö¹«Ê½ÒÀ´Î´úÈë·½³Ì(5)£¬±ãµÃµ½ÓÃÎ»ÒÆ±íʾµÄÔ˶¯Î¢·Ö·½³Ì£º

¹«Ê½ ·ûºÅ¡¡ (6)

ʽÖЦÈΪÌåÓ¦±ä£¬¼´

¹«Ê½ ·ûºÅ£»¡¡¡¡¡¡¡¡¡¡¡¡(7)

¦¤ÎªÀ­ÆÕÀ­Ë¹Ëã·û£¬¼´

¹«Ê½ ·ûºÅ¡£¡¡¡¡¡¡¡¡¡¡ (8)

ÀàËÆµØ£¬ÔÚ·½³Ì(6)ÖÐÂÔÈ¥¹ßÐÔÁ¦¹«Ê½ ·ûºÅ£¬±ã¿ÉµÃµ½ÓÃÎ»ÒÆ·ÖÁ¿±íʾµÄƽºâ΢·Ö·½³Ì¡£

Èç¹û¿¼ÂÇÎïÌåÒ»²¿·Ö±ß½çB2ÊÇ×ÔÓɵģ¬ÔÚËüµÄÉÏÃæÓиø¶¨µÄÍâÔØºÉ£¬Ôò¸ù¾Ý×÷ÓÃÁ¦ºÍ·´×÷ÓÃÁ¦´óСÏàµÈ·½ÏòÏà·´µÄÔ­Àí£¬ÔÚB2ÉÏÓÐÈçÏÂÔØºÉ±ß½çÌõ¼þ£º

¦Á1¦Ò1i+¦Á2¦Ò2i+¦Á3¦Ò3i=ˆVi¡¡(i=1£¬2£¬3)£¬¡¡¡¡ (9)

ʽÖЦÁiΪ±ß½çÍâ·¨Ïß·½ÏòµÄ·½ÏòÓàÏÒ£»ˆViΪ¸ø¶¨µÄ±ß½çÔØºÉ·ÖÁ¿¡£

µ¯ÐÔÁ¦Ñ§ÎÊÌâµÄÌá·¨ºÍÇó½â

ΪÁ˲ûÃ÷Ò»¸öµ¯ÐÔÁ¦Ñ§ÎÊÌ⣬ÐèҪ˵Ã÷ÎïÌåµÄÐÎ×´ºÍÎïÌåµÄ¸÷²¿·ÖÓÉʲô²ÄÁÏ×é³É(Ö±½Ó¸ø³öÎïÌå¸÷²¿·ÖµÄ¹ãÒåºú¿Ë¶¨Âɵ±È»¸üºÃ)£»ËµÃ÷ÎïÌåËù³ÐÊܵÄÔØºÉ£¬°üÀ¨Ìå»ýÁ¦fi¡¢×ÔÓɱ߽çÉϵÄÔØºÉˆVi£»ËµÃ÷´ËÎïÌåºÍÆäËûÎïÌåµÄÁ¬½ÓÇé¿ö¡£ÀýÈ磬Ëù¿¼ÂǵĶÔÏóÊÇÎïÌ妸£¬ËüÔڱ߽çB1ºÍB2ͬÁíÁ½¸öÎïÌ妸1ºÍ¦¸2ÏàÁ¬½Ó¡£Èç¹û¦¸1µÄ¸Õ¶È±È¦¸´óµÃ¶à£¬ÔòB1Éϸ÷µãµÄÎ»ÒÆ¾Í»ù±¾ÉÏÓɦ¸1µÄÎ»ÒÆ¾ö¶¨¡£ÕâÑù£¬¶Ô¦¸À´Ëµ£¬B1Éϸ÷µãµÄÎ»ÒÆÊÇÓÉÍâ½ç¸ø¶¨µÄ£¬Òò¶øÓÐÎ»ÒÆ±ß½çÌõ¼þ(2)¡£Èç¹û¦¸2µÄ¸Õ¶È±È¦¸Ð¡µÃ¶à£¬Ôò¦¸2»ù±¾Éϲ»ÄÜÏÞÖÆB2Éϸ÷µãµÄÎ»ÒÆ¡£ÕâÑù£¬¶Ô¦¸À´Ëµ£¬B2¿É¿´×÷ÊÇ×ÔÓɵģ¬Òò¶øÓÐÔØºÉµÄ±ß½çÌõ¼þ(9)¡£Èç¹û¦¸1»ò¦¸2µÄ¸Õ¶Èͬ¦¸Ïà²î²»¶à£¬Òª½¨Á¢Ç¡µ±µÄ±ß½çÌõ¼þ¾Í²»ÄÇôÈÝÒ×£¬Ðë¾Í¾ßÌåÇé¿ö×÷ϸÖµķÖÎö¡£

¶Ôµ¯ÐÔÁ¦Ñ§µÄƽºâÎÊÌ⣬˵Ã÷ÉÏÊöÈý¸ö·½Ãæ±ã¿ÉÒÔÁË¡£µ«¶Ôµ¯ÐÔÁ¦Ñ§µÄ¶¯Á¦ÎÊÌ⣬»¹Ðè˵Ã÷ÎïÌåµÄ³õʼ״̬£¬¼´

µ±t=t0ʱ£¬ui=ui0£¬¹«Ê½ ·ûºÅ£¬(i=1£¬2£¬3)£¬¡¡(10)

ʽÖÐt0Ϊ³õʼʱ¼ä£»ui0ºÍvi0·Ö±ðΪÎïÌåÔÚ³õʼʱ¿ÌµÄÎ»ÒÆºÍËÙ¶È£¬ËüÃÇÓ¦ÊǸø¶¨µÄº¯Êý¡£

Çó½âÒ»¸öµ¯ÐÔÁ¦Ñ§ÎÊÌ⣬¾ÍÊÇÉ跨ȷ¶¨µ¯ÐÔÌåÖи÷µãµÄÎ»ÒÆ¡¢Ó¦±äºÍÓ¦Á¦¹²15¸öº¯Êý¡£´ÓÀíÂÛÉÏ˵£¬Ö»ÓÐ15¸öº¯ÊýÈ«²¿È·¶¨ºó£¬ÎÊÌâ²ÅËã³¹µ×½â¾ö¡£µ«ÔÚ¸÷ÖÖ¾ßÌåÎÊÌâÖУ¬³£³£Ö»¹ØÐÄÆäÖеÄij¼¸¸öº¯Êý£¬ÓÐʱÉõÖÁÖ»¹ØÐÄÎïÌåµÄijЩ²¿Î»µÄij¼¸¸öº¯Êý¡£ËùÒÔÔÚʵÓÃÉÏ£¬³£³£²»ÐèҪȷ¶¨È«²¿º¯Êý¡£Çó½âʱ£¬¿ÉÓÃʵÑé·½·¨¡¢Êýѧ·½·¨£¬Ò²¿ÉÓÃʵÑéºÍÊýѧÏà½áºÏµÄ·½·¨¡£

ʵÑé·½·¨ÊÇÓûúеµÄ¡¢µçµÄ¡¢¹âµÄÒÔ¼°ÆäËûÊÖ¶ÎÔÚʵÎïÉÏ»òÔÚÄ£ÐÍÉϲâÁ¿ËùÐèµÄÁ¿¡£Ðí¶à¸´ÔÓ¶øÄÑÓÚ¼ÆËãµÄÎÊÌâ¶¼ÊÇÓÃʵÑé·½·¨Çó½âµÄ£¨¼ûʵÑéÓ¦Á¦·ÖÎö£©¡£

Êýѧ·½·¨¾ÍÊǸù¾Ý¼¸ºÎ·½³Ì£¨1£©¡¢Ó¦Á¦-Ó¦±ä¹ØÏµ(3a)»ò(3b)¡¢ Ô˶¯£¨»òƽºâ£©Î¢·Ö·½³Ì(5)¡¢±ß½çÌõ¼þ(2)ºÍ(9)ÒÔ¼°¶¯Á¦ÎÊÌâÖеijõʼÌõ¼þ(10)£¬½â³öui¡¢¦Åij¡¢¦ÒijµÈ15¸öº¯Êý¡£Êýѧ·½·¨µÄÓŵãÊÇÌṩµÄÊý¾Ý±È½ÏÈ«Ãæ£¬µ«µ±Ç°Ö»ÊÊÓÃÓÚ²»Ì«¸´ÔÓµÄÎÊÌâ¡£Õâ·½ÃæµÄÑо¿¹¹³ÉÁËÒÔÊýѧ·½·¨ÎªÖ÷ÒªÑо¿ÊֶεÄÊýѧµ¯ÐÔÁ¦Ñ§¡£

¶ÔÓÚһЩʵÓÃÉÏÖØÒªµÄµ¯ÐÔÁ¦Ñ§ÎÊÌ⣬³£ÐèҪͬʱÓÃʵÑéºÍÊýѧÁ½ÖÖ·½·¨Çó½â£¬ÒÔ±£Ö¤½áÂ۵Ŀɿ¿ÐÔ¡£

³£ÓõÄÊýѧ·½·¨

µ¯ÐÔÁ¦Ñ§Öг£ÓõÄÊýѧ·½·¨¿É·Ö·Ö³ÉÁ½Àࣺ

£¨1£©¾«È·½â·¨¡¡°üÀ¨·ÖÀë±äÁ¿·¨ºÍµ¯ÐÔÁ¦Ñ§µÄ¸´±äº¯Êý·½·¨¡£µ¯ÐÔÁ¦Ñ§ÖеÄÐí¶à¾«È·½âÊÇÓ÷ÖÀë±äÁ¿·¨ÇóµÃµÄ¡£Æä²½Öè´óÖÂÈçÏ£º¸ù¾ÝÎïÌåµÄÐÎ×´£¬Ñ¡ÔñÒ»ÖÖºÏÊʵÄÇúÏß×ø±êϵ£¬²¢Ð´³öÏàÓ¦ÓÚ¸Ã×ø±êϵµÄµ¯ÐÔÁ¦Ñ§Î¢·Ö·½³ÌºÍ±ß½çÌõ¼þ£¬Èç¹û΢·Ö·½³ÌÖеıäÁ¿Äܹ»·ÖÀ룬ͨ³£±ã¿ÉÇóµÃÎÊÌâµÄ½â¡£ÄÜÓ÷ÖÀë±äÁ¿·¨ÇóµÃ¾«È·½âµÄÎÊÌâÓУºÎÞÏ޺ͰëÎÞÏÞÌåµÄÎÊÌ⣬ÇòÌåºÍÇò¿ÇµÄÎÊÌ⣬ÍÖÇòÇ»µÄÎÊÌ⣬ԲÖùºÍÔ²Å̵ÄÎÊÌâµÈ¡£

¶ÔÓÚÄÜ»¯ÎªÆ½Ãæµ÷ºÍº¯Êý»òÆ½ÃæË«µ÷ºÍº¯ÊýµÄÎÊÌ⣬¸´±äº¯Êý·½·¨ÊÇÒ»¸öÓÐЧµÄÇó½â¹¤¾ß¡£ÖùÌåµÄŤתºÍÍäÇúÎÊÌâ¡¢Æ½ÃæÓ¦±äºÍÆ½ÃæÓ¦Á¦ÎÊÌâÒÔ¼°±¡°åÍäÇúÎÊÌâÖеÄÐí¶àÖØÒª¾«È·½â¶¼ÊÇÓø´±äº¯Êý·¨ÇóµÃµÄ¡£

£¨2£©½üËÆ½â·¨¡¡ÎªÇó½âһЩ¸´ÔÓµÄÎÊÌ⣬ÔÚµ¯ÐÔÁ¦Ñ§Öл¹·¢Õ¹ÁËÐí¶à½üËÆ½â·¨¡£ÄÜÁ¿·¨¾ÍÊÇÆäÖÐÓõÃ×î¶àµÄÒ»Àà·½·¨£¬Ëü°Ñµ¯ÐÔÁ¦Ñ§ÎÊÌ⻯ΪÊýѧÖеıä·ÖÎÊÌâ(·ºº¯µÄ¼«ÖµºÍפֵÎÊÌâ)£¬È»ºóÔÙÓÃÈðÀû£­Àï×È·¨Çó½üËÆ½â¡£ÄÜÁ¿·¨µÄÄÚÈݺܷḻ£¬ÊÊÓ¦ÐÔºÜÇ¿¡£¹¤³Ì½çµ±Ç°¹ã·ºÊ¹ÓõÄÓÐÏÞÔª·¨ÊÇÄÜÁ¿·¨µÄÒ»ÖÖз¢Õ¹¡£²î·Ö·¨Ò²ÊÇÒ»ÖÖ³£ÓõĽüËÆ½â·¨£¬ÆäÒªµãÊÇÓòîÉ̽üËÆµØ´úÌæÎ¢ÉÌ£¬´Ó¶ø°ÑÔ­ÓеÄ΢·Ö·½³Ì½üËÆµØ»¯Îª´úÊý·½³Ì¡£´ËÍ⣬±ß½ç»ý·Ö·½³Ì¡¢±ß½çÔª·¨ºÍ¼ÓȨ²ÐÊý·¨¶Ô½â¾öijЩÎÊÌâÒ²ÊÇÓÐЧµÄÊֶΡ£

Êýѧµ¯ÐÔÁ¦Ñ§µÄµäÐÍÎÊÌâ

ÓÐÒÔϼ¸Àࣺ

£¨1£©Ò»°ãÐÔÀíÂÛ¡¡Ëü̽ÌÖ½âµÄ¹²ÐÔºÍÒ»°ãÐÔµÄÇó½â·½·¨¡£Ò»°ãÐÔÀíÂÛÖУ¬×îºËÐĵIJ¿·ÖÊÇÄÜÁ¿Ô­Àí£¨¶¨Àí£©£¬°üÀ¨Ð鹦ԭÀí£¨ÐéÎ»ÒÆÔ­Àí¡¢ÐéÓ¦Á¦Ô­Àí£©¡¢¹¦µÄ»¥µÈ¶¨Àí¡¢×îÐ¡ÊÆÄÜÔ­Àí¡¢×îСÓàÄÜÔ­Àí¡¢ºÕÁÖ¸ñ£­Èð˹ÄɶþÀà±äÁ¿¹ãÒå±ä·ÖÔ­ÀíºÍºúº£²ý£­ðÕ½ò¾ÃÒ»ÀÉÈýÀà±äÁ¿¹ãÒå±ä·ÖÔ­ÀíµÈ¡£½âµÄ´æÔÚÐÔ¡¢Î¨Ò»ÐÔ¡¢½âÎöÐÔ¡¢Æ½¾ùÖµ¶¨ÀíÒÔ¼°½üËÆ½âµÄÊÕÁ²ÐԵȣ¬Ò²¶¼ºÍÄÜÁ¿Ô­ÀíÓÐÃÜÇÐÁªÏµ¡£ÕâЩһ°ãÐÔÀíÂÛ£¬Êǽ¨Á¢¸÷ÖÖ½üËÆ½â·¨ºÍ½¨Á¢¹¤³Ì½á¹¹ÊµÓÃÀíÂÛµÄÒÀ¾Ý¡£

Ò»°ãÐÔÀíÂÛµÄÁíÒ»ÖØÒª·½ÃæÊÇδ֪º¯ÊýµÄ¹é²¢ÀíÂÛ£¬ÆäÖ÷ÒªÄÚÈÝÊǽ«µ¯ÐÔÁ¦Ñ§ÎÊÌâ¹éΪÇó½âÉÙÊý¼¸¸öº¯Êý£¬ÕâЩº¯Êý³£³ÆÎªÓ¦Á¦º¯ÊýºÍÎ»ÒÆº¯Êý¡£

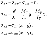
£¨2£©ÖùÌåŤתºÍÍäÇú¡¡Ò»¸ö²àÃæ²»ÊÜÍâÁ¦µÄϸ³¤ÖùÌ壬ÔÚÁ½¶ËÃæÉϵÄÍâÁ¦×÷ÓÃÏ»á²úÉúŤתºÍÍäÇú¡£¸ù¾ÝʥάÄÏÔ­Àí£¬ÖùÌåÖм䲿·ÖµÄÓ¦Á¦×´Ì¬Ö»Óë×÷ÓÃÔÚ¶ËÃæÉÏÔØºÉµÄºÏÁ¦ºÍºÏÁ¦¾ØÓйأ¬¶øÓëÔØºÉµÄ¾ßÌå·Ö²¼Î޹ء£Òò´Ë£¬ÖùÌåÖм䲿·ÖµÄÓ¦Á¦ÓÐÒÔϵıí´ïʽ£º

¹«Ê½ ·ûºÅ¡¡¡¡¡¡¡¡¡¡¡¡ (11)

ÕâÀïµÄx¡¢yÖáΪºá½ØÃæµÄÁ½¸öÖ÷Öá;zÖáÆ½ÐÐÓÚÖùÌåµÄĸÏߣ»¦Òxx¡¢¦Òyy¡¢¦Òzz¡¢¦Òxy¡¢¦Òyz¡¢¦ÒxzΪӦÁ¦·ÖÁ¿£»AΪºá½ØÃæµÄÃæ»ý;IxºÍIyΪºá½ØÃæ¶ÔxÖáºÍyÖáµÄ¹ßÐÔ¾Ø(¼û½ØÃæµÄ¼¸ºÎÐÔÖÊ);N¡¢¦¬xºÍ¦¬y·Ö±ðΪ×÷ÓÃÔÚ½ØÃæÉϵÄÖáÏòºÏÁ¦¡¢¶ÔxÖáºÍyÖáµÄÍ侨¡£Í侨¦¬x¡¢¦¬yÊÇ×ø±êzµÄÏßÐÔº¯Êý£¬¿ÉÓòÄÁÏÁ¦Ñ§µÄ·½·¨ÇóµÃ¡£Ê½£¨11£©¸ø³öµÄ¦Òxx¡¢¦Òyy¡¢¦Òzz¡¢¦ÒxyÓë²ÄÁÏÁ¦Ñ§µÄ½âÏàͬ£¬µ«¸ø³öµÄ¼ôÓ¦Á¦¦Òxz¡¢¦Òyz±È²ÄÁÏÁ¦Ñ§µÄ½á¹û¾«È·¡£¾ö¶¨¦Òxz¡¢¦ÒyzµÄÎÊÌâ×îºó¿É¹éΪÇó½âÒ»¸öÆ½Ãæµ÷ºÍº¯ÊýµÄ±ßÖµÎÊÌâ¡£

£¨3£©Æ½ÃæÎÊÌâ¡¡Æ½ÃæÎÊÌâÊǵ¯ÐÔÁ¦Ñ§Öз¢Õ¹µÃ±È½Ï³ÉÊ죬ӦÓõñȽϹãµÄÒ»ÀàÎÊÌâ¡£Æ½ÃæÎÊÌâ¿É·ÖÎªÆ½ÃæÓ¦Á¦ÎÊÌâºÍÆ½ÃæÓ¦±äÎÊÌâ¡£Á½ÕßµÄÓ¦ÓöÔÏó²»Í¬£¬µ«¶¼¿É¹éΪÏàͬµÄÊýѧÎÊÌ⩤©¤Æ½ÃæË«µ÷ºÍº¯ÊýµÄ±ßÖµÎÊÌâ¡£

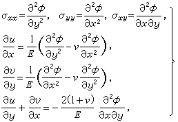
Æ½ÃæÓ¦Á¦ÎÊÌâÊÊÓÃÓÚ±¡°å¡£ÈôÔÚ±¡°åµÄÁ½¸ö±íÃæÉÏÎÞÍâÁ¦£¬¶øÔÚ²àÃæÉÏÓÐÑØºñ¶È¾ùÔÈ·Ö²¼µÄÔØºÉ£¨Í¼1£©£¬Ôò±¡°åÖеÄÎ»ÒÆºÍÓ¦Á¦ÓÐÈçÏÂÌØµã£º¦Òxz=¦Òyz=¦Òzz=0£¬ÇÒ¦Òxx¡¢¦Òyy¡¢¦ÒxyÒÔ¼°x¡¢y·½ÏòµÄÎ»ÒÆu¡¢v¶¼Óë×ø±êzÎ޹ء£¶ÔÓÚ¸÷ÏòͬÐÔ²ÄÁÏ£¬ÉÏÊöÎå¸ö²»µÈÓÚÁãµÄÁ¿¿ÉÒÔÓÃÒ»¸öÓ¦Á¦º¯Êý¦Õ(x£¬¹«Ê½ ·ûºÅ)£¨°¬ÀïÓ¦Á¦º¯Êý£©±íʾΪ£º

ͼ1 Æ½ÃæÓ¦Á¦ÎÊÌâ ͼ3

¹«Ê½ ·ûºÅ¡¡¡¡(12)

¶øÓ¦Á¦º¯Êý¦ÕÊÇÒ»¸öÆ½ÃæË«µ÷ºÍº¯Êý£¬¼´

¦¤¦¤¦Õ£½0¡£¡¡¡¡¡¡¡¡¡¡¡¡¡¡(13)

Æ½ÃæÓ¦±äÎÊÌâÊÊÓÃÓÚ³¤ÖùÌåµÄÖм䲿·Ö¡£ÈôÖùÌåµÄÁ½¶ËÃæ¹Ì¶¨²»¶¯£¬¶ø×÷ÓÃÔÚ²àÃæÉϵÄÔØºÉºÍ×ø±êzÎ޹أ¬ÇÒºÏÁ¦¼°ºÏÁ¦¾ØµÈÓÚÁ㣨ͼ2£©£¬

ͼ

ÔòÖùÌåÖм䲿·ÖµÄÓ¦Á¦ºÍÎ»ÒÆÓÐÈçÏÂÌØµã£º¦Òxz=¦Òyz=0£¬×ÝÏòÎ»ÒÆw£½0£¬ÇÒ¦Òxx¡¢¦Òyy¡¢¦Òxy¡¢u¡¢vÓë×ø±êzÎ޹ء£¶ÔÓÚ¸÷ÏòͬÐԵIJÄÁÏ£¬ÉÏÊöÎå¸ö²»µÈÓÚÁãµÄÁ¿Ò²¿ÉÓÃÒ»¸öË«µ÷ºÍº¯Êý¦Õ±íʾΪ¹«Ê½(13)£¬²»¹ýÐ뽫ÆäÖеÄEºÍ¦Í·Ö±ð´úÒÔ

¹«Ê½ ·ûºÅ¡£

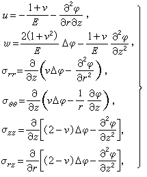
£¨4£©±ä½ØÃæÖáŤת¡¡±ä½ØÃæÖáÊÜŤʱ£¬ÔÚ½ØÃæµÄ¹ý¶ÉÇø(ͼ3)³£ÓÐÓ¦Á¦¼¯ÖÐÏÖÏó¡£·ÖÎöÕâÀàÎÊÌâÒÔȡԲÖù×ø±êϵ(r£¬¦È£¬z)Ϊ·½±ã¡£ÔÚÔ²Öù×ø±êϵÖеÄÎ»ÒÆ·ÖÁ¿ºÍÓ¦Á¦·ÖÁ¿·Ö±ð¼ÇΪu¡¢v¡¢wºÍ¦Òrr¡¢¦Ò¦È¦È¡¢¦Òzz¡¢¦Ò¦Èz¡¢¦Òrz¡¢¦Òr¦È¡£ÕâÀàÎÊÌâµÄÁ¦Ñ§ÌصãÊÇ£ºu£½w£½0£¬¦Òrr£½¦Ò¦È¦È£½¦Òzz£½¦Òrz=0£¬v¡¢¦Òr¦È¡¢¦Ò¦ÈzÓë×ø±êzÎ޹ء£ÉÏÊö²»µÈÓÚÁãµÄÁ½¸ö¼ôÓ¦Á¦¦Ò¦ÈzºÍ¦Òr¦È¿ÉÓÃÒ»¸öÓ¦Á¦º¯Êý†ê(r£¬z)±íʾΪ£º

¹«Ê½ ·ûºÅ£¬¡¡¡¡¡¡¡¡ (14)

¶ø†êÂú×ãÏÂÁÐÆ«Î¢·Ö·½³Ì£º

¹«Ê½ ·ûºÅ¡£¡¡¡¡¡¡¡¡¡¡¡¡(15)

ÕâÀàÎÊÌâ×îºó¹éΪ·½³Ì(15)µÄ±ßÖµÎÊÌâ¡£

£¨5£©»Ø×ªÌåµÄÖá¶Ô³Æ±äÐΡ¡¸÷ÏòͬÐԵĻØ×ªÌåÔÚÖá¶Ô³ÆÔغÉ×÷ÓÃÏ£¬±ØÈ»²úÉúÖá¶Ô³ÆµÄ±äÐΡ£ÔÚÔ²Öù×ø±êϵ(r£¬¦È£¬z)ÖУ¬Öá¶Ô³Æ±äÐεÄÌØµãÊÇ£ºv£½0£¬¦Òr¦È=¦Ò¦Èz=0£¬ÇÒu¡¢w¡¢¦Òrr¡¢¦Ò¦È¦È¡¢¦Òzz¡¢¦ÒrzÓë×ø±ê¦ÈÎ޹ء£ÉÏÊö²»µÈÓÚÁãµÄÁù¸öÁ¿£¬¿ÉÒÔÓÃÒ»¸öÎ»ÒÆº¯Êý†ê(x£¬y)±íʾΪ£º

¹«Ê½ ·ûºÅ¡¡¡¡¡¡ (16)

ÆäÖЦ¤ÊÇÖá¶Ô³ÆµÄÀ­ÆÕÀ­Ë¹Ëã·û£¬¼´

¹«Ê½ ·ûºÅ£»¡¡¡¡¡¡¡¡¡¡ (17)

¶ø†êÊÇÖá¶Ô³ÆµÄË«µ÷ºÍº¯Êý£¬¼´

¦¤¦¤†ê£½0¡£¡¡¡¡¡¡¡¡¡¡¡¡¡¡¡¡¡¡(18)

£¨6£©¹¤³Ì½á¹¹Ôª¼þµÄʵÓÃÀíÂÛ¡¡´Ó¹ãÒåÉÏ˵£¬¸÷ÖÖ¹¤³Ì½á¹¹Ôª¼þµÄʵÓÃÀíÂÛ(Èç¸Ë¡¢°å¡¢¿ÇµÄʵÓÃÀíÂÛ)¶¼Êǵ¯ÐÔÁ¦Ñ§µÄÌØÊâ·ÖÖ§£¬¶øÇÒÊÇ×îÓÐʵÓüÛÖµµÄ·ÖÖ§¡£ÕâЩʵÓÃÀíÂÛ·Ö±ðÒÀ¾Ý½á¹¹Ôª¼þÐÎ×´¼°ÆäÊÜÁ¦µÄÌØµã£¬¶ÔÎ»ÒÆ·Ö²¼×÷һЩºÏÀíµÄ¼ò»¯¼ÙÉ裬¶Ô¹ãÒåºú¿Ë¶¨ÂÉÒ²×÷ÏàÓ¦µÄ¼ò»¯¡£ÕâÑù£¬¾ÍÄÜʹÊýѧ·½³Ì¼ÈµÃµ½³ä·Ö¼ò»¯ÓÖ±£ÁôÁËÖ÷ÒªµÄÁ¦Ñ§ÌØÐÔ¡£´Óµ¯ÐÔÁ¦Ñ§¿´£¬ÕâЩ½á¹¹Ôª¼þµÄʵÓÃÀíÂÛ¶¼ÊǽüËÆÀíÂÛ£¬Æä½üËÆÐÔ´ó¶à±íÏÖΪ°´ÕÕÕâЩÀíÂÛ¼ÆËãµÃµ½µÄÓ¦Á¦ºÍÓ¦±ä²»ÄÜÑϸñÂú×ãºú¿Ë¶¨ÂÉ¡£

²Î¿¼ÊéÄ¿
  1. ÐìÖ¥ÂÚÖø£º¡¶µ¯ÐÔÁ¦Ñ§¡·£¬ÉϲᣬÈËÃñ½ÌÓý³ö°æÉ磬±±¾©£¬1982¡£
  2. ÍõÁú¸¦Öø£º¡¶µ¯ÐÔÀíÂÛ¡·£¬¿ÆÑ§³ö°æÉ磬±±¾©£¬1979¡£