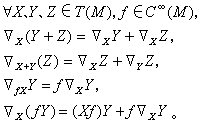
[拼音]:LiMan jihexue
[外文]:Riemannian geometry
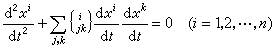
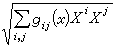
德国数学家(g.f.)b.黎曼在19世纪中期所提出的几何学理论。1854年,他在格丁根大学发表的就职演说,题目是《论作为几何学基础的假设》,可以说是黎曼几何学的发凡。从数学上讲,他发展了空间的概念,首先认识到几何学中所研究的对象是一种“多重广延量”,其中的点可以用n个实数作为坐标来描述,即现代的微分流形的原始形式,为用抽象空间描述自然现象打下了基础。更进一步,他认为,通常所说的几何学只是在当时已知测量范围之内的几何学,如果超出了这个范围,或者是到更细层次的范围里面,空间是否还是欧几里得的则是一个需要验证的问题,需要靠物理学发展的结果来决定。他认为这种空间(也就是流形)上的几何学应该是基于无限邻近点之间的距离。在无限小的意义下,这种距离仍然满足勾股定理。这样,他就提出了黎曼度量的概念。这个思想发源于c.f.高斯。但是黎曼提出了更一般化的观点。在欧几里得几何中, 邻近点的距离平方是
(在笛卡儿坐标下),这确定了欧几里得几何。但是在一般曲线坐标下,则应为
,这里
是相当特殊的一组函数。如果
是一般的函数,又(gij)仍构成正定对称阵,那么从
出发,也可以定义一种几何学,这便是黎曼几何学。由于在每一点的周围,都可以选取坐标使得在这点成立 
,所以在非常小的区域里面勾股定理近似成立。但在大一点的范围里一般就和欧几里得几何学有很大的区别了。
黎曼认识到距离只是加到流形上的一个结构,因此在同一流形上可以有众多的黎曼度量,从而摆脱了经典微分几何曲面论中局限于诱导度量的束缚。这是一个杰出的贡献。
其后,E.B.克里斯托费尔、g.里奇等人又进一步发展了黎曼几何,特别是里奇发展了张量分析的方法,这在广义相对论中起了基本的作用。1915年A.爱因斯坦创立了广义相对论,使黎曼几何在物理中发挥了重大的作用,对黎曼几何的发展产生了巨大的影响。广义相对论真正地用到了黎曼几何学,但其度量形式不是正定的,现称为洛伦茨流形的几何学(见广义相对论)。
广义相对论产生以来,黎曼几何获得了蓬勃的发展,特别是É.嘉当在20世纪20~30年代开创并发展了外微分形式与活动标架法,建立起李群与黎曼几何之间的联系,从而为黎曼几何的发展奠定了重要基础且开辟了广阔的园地,影响极为深远,由此还发展了线性联络及纤维丛方面的研究。半个多世纪以来,黎曼几何的研究也已从局部发展到整体,产生了许多深刻的并在其他数学分支和现代物理学中有重要作用的结果。随着60年代大范围分析的发展,黎曼几何和偏微分方程(特别是微分算子的理论)、多复变函数论、代数拓扑学等学科互相渗透、互相影响。在现代物理中的规范场理论(又称杨-米尔斯理论)中,黎曼几何也成了一个有力的工具。
黎曼流形黎曼几何是黎曼流形上的几何学。黎曼流形指的是一个n维微分流形M,在其上给定了一个黎曼度量g,也就是说,在微分流形M的每一个坐标邻域(U,x)内,用一个正定对称的二次微分形式
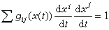
来度量二个无限邻近的点(x1,x2,…,xn)和(x1+dx1,x2+dx2,…,xn+dxn)之间的距离。这里(gij)构成一个正定对称的n×n阵,并假设gij(x)关于(xi)有一定的可微性,而M上连接两点P、Q的曲线C:xi=xi(t),α≤t≤b的长度l(C)就用积分
来计算。为了保证距离的度量与坐标邻域的选取无关,还要求gij满足二阶协变张量的变换规律,用整体黎曼几何的语言来说,就是在微分流形M上给定了一个由分量gij决定的正定对称二阶协变张量场g。M连同g,即(M,g)称为一个n维黎曼流形,g称为度量张量或基本张量。由于历史的原因,黎曼流形又常称黎曼空间,但后者偏重于局部意义,即常指黎曼流形的一个开子集或一个坐标邻域。
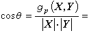
度量张量g在流形M每点P(x1,x2,…,xn)的切空间Tp(M)中就规定了一个内积gp(或记为:〈,〉)用来计算切向量的长度、交角。即若向量X,Y∈Tp(M),而
,
,则X 的长度
;X、Y的交角 θ由
,0≤θ≤π决定。如果cosθ=0,即
,就称X、Y 为互相正交。│尣│=1的向量称为单位向量,Tp(M)中由两两互相正交的单位向量组成的基称为正规正交基,对任一点P∈M,在P点的某一邻域U 内总存在n个单位向量场e1,e2,…,en,使得在U的每点它们构成切空间的一个正规正交基,这n个局部向量场称为一个局部正规正交基或局部正规正交标架。运用局部正规正交标架来研究黎曼几何的方法称为活动标架法。黎曼几何中的许多公式和几何量在活动标架下有特别简单明了的表达式,例如取ω1,ω2,…,ωn为局部正规正交标架e1,e2,…,en的对偶形式,也称对偶基,即满足
的n个一次微分形式,于是在基{ei}下,由于
,度量形式可写为
。
任一仿紧微分流形总具有黎曼度量,这种黎曼度量的数目是非常繁多的,但也不是完全任意的。微分流形的度量结构是受它的拓扑结构所制约的,而这种制约关系正是黎曼几何研究的一个重要内容,还存在许多没有解决的问题。
有了计算曲线长度的方法,黎曼流形(M,g)上任意两点P、Q之间的距离d(P,Q)就可以用M中连接P、Q 的所有分段可微分曲线的长度的下确界来定义,即
d(P, Q)=inf(l(C)),
(连接P,Q 的分段可微分曲线C)。于是,M在上述距离下成为一个度量空间,还可以证明,它所导出的度量拓扑与流形M原有的拓扑是等价的。
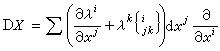
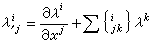
联络、平行移动欧氏空间中两不同点的切向量可以用平行移动的方法移动到同一点处加以比较,而且这种平行移动与移动的道路无关。黎曼流形上不同点的切向量也可以用平行移动的方法加以比较,但一般说来,这时由于流形的弯曲,平行移动与移动的道路有关。设P(xi)为流形上任一点,{ei},i=1, 2,…,n为P点附近的一个局部标架,P +dP 为P 的一个无限邻近点,坐标为xi+dxi。定义P +dP 点的切空间和P 点的切空间的一个线性对应,使得P +dP点的
对应于P点的向量
,这里
是n2个一次微分形式, 称为联络形式, 这样引入的对应称为无穷小平行移动。设
是P点附近的一个局部向量场,那么在点P +dP 的向量
·
经过无穷小平行移动至 P 点后就会得到向量
, 它与P 点的向量
在一阶无穷小范围内的差


称为向量场
的协变微分又称绝对微分,记为DX,
,特别有标架基ei的协变微分为
。
为了可以在流形上整体地定义平行移动,自然要求这样定义的无穷小平行移动与标架的选取无关,即应该保证在标架改变时这样所确定的平行移动和协变微分不受影响。令
表示标架的变换,则
(i,j=1,2,…,n) (1)
就是在标架变换下联络形式的变换规律,这里(
)是(A
)的逆阵。
如果在黎曼流形(M,g) 的各点关于每个标架给定了n2个一次微分形式 {ω
},它们之间满足变换规律(1),就称在M上给定了一个仿射联络或称线性联络(见联络论),{ω
}为相应的联络形式。
设{ωi}为标架{ei}的对偶基,则
,这里
。容易看出在标架变换
下,应有
。由此,在标架变换下还成立下述两个关系:
因此,如记
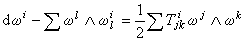
, (2)
, (3)
那么
都分别是一个张量的分量。这就是说,在标架的变换下,应成立
相应的张量分别称为仿射联络的挠率张量和曲率张量。挠率张量等于零的仿射联络则称为无挠率的联络。
黎曼联络、列维-齐维塔平行移动黎曼联络是黎曼流形上最重要和最常用的一种联络。构造如下:设{ei}为关于坐标系(xi)的自然标架,即
,此时
。令
式中
称为第二类克里斯托费尔符号,(gij)为(gij)的逆阵,则不难验证{ω
}决定了一个仿射联络而且满足下列二个性质:
(1)是无挠率的;
(2)相应的无穷小平行移动保持向量的内积。满足①和②的仿射联络称为黎曼联络,也称列维-齐维塔联络,这种联络是惟一的,在自然标架下它就是如上决定起来的。黎曼流形上如果无特殊说明都是用黎曼联络。
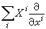
在自然标架下,向量场
的协变微分DX可以表达为
,即分量为
的张量。如果
为另一个向量场,称向量
为X关于Y的协变导数,记为墷
X。容易看出成立下面的性质:
应用这个符号,黎曼联络的两个性质可表达为:

,这里[X,Y]=XY-YX是向量X,Y 的换位运算。特别在正规正交标架下,由
可以推得联络形式ω
关于指标i,j反称,即
。
设T 表示黎曼流形(M,g)上一条曲线с的切向量,X是с上的向量场,如果墷TX=0,即X关于с的切向量的协变导数为零,就称X沿着曲线с平行或称X是曲线с上的平行向量场。在局部坐标系(x)下,若
,那么, X 沿 с平行的条件为 λi(x) 满足常微分方程组∶
,反之,在任意点P(x)给定初始向量
,解上述常微分方程组就可得到с上的一个平行向量场,称为向量X0沿с平行移动生成的向量场,这种关于黎曼联络的平行移动也称为列维-齐维塔平行移动。
从上面所述不难看出一个向量沿着不同的曲线平行移动到同一点所得到的向量一般是不同的,这种差异刻画了黎曼流形的弯曲程度。设P是(M,g)的任一点,l(P)表示以P为始点和终点的闭曲线的集合,如果с1、с2是l(P)中的元素,则复合曲线с1·с2也是l(P)中的元素。对X ∈Tp(M)沿着l(P)中元素C 平行移动回到P点就得到 X┡∈Tp(M),这样l(P)中的一个元素就对应于 Tp(M)→Tp(M)的一个同构。这种同构全体构成的群就称为在P点处的和乐群,当M是连通流形时,不同点的和乐群是同构的,和乐群在黎曼几何的研究中有重要的作用。
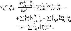
张量的协变微分由向量的协变微分还可引出张量场的协变微分。在任意的标架{ei}下,设对偶基为{ωi},联络形式为{ω
},α阶反变b阶协变的张量场T 在(x)点的分量记为
,则T 的协变微分就是
是一个α阶反变b+1阶协变的张量的分量,称为
的协变导数。特别,若
是T 在自然标架下的分量,那么,
结构方程、比安基恒等式
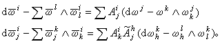
关于黎曼联络方程 (2)和(3)成为:
(4)
方程(4)称为黎曼流形的结构方程。
在自然标架下,从结构方程可以算得曲率张量的分量
用基本张量gij将指标h拉下得到分量为
的一个四阶协变张量,也称为曲率张量,它反映出一个向量沿无限小环路平行移动回到原处所受到的变差,体现出空间的弯曲。不难验证下述关系式:




进一步外微分结构方程中的第二式并利用第一式可得下面的第二比安基恒等式:
。
曲率张量是黎曼几何中最重要的张量之一。在 n=2的场合,可以看出惟一的独立分量是R1212。而当M是三维欧氏空间E3中曲面时, 关于诱导度量在正规正交基下的R1212恰好是曲面的高斯曲率K。高斯-博内公式揭示了曲率张量与流形的欧拉示性数的内在联系,用纤维丛的思想证明了它的高维推广是陈省身的杰出成果之一。
截面曲率、里奇曲率、数量曲率在任一点P 处的二个独立切向量
决定了P点的一个二维切平面πp(X,Y),称
为πp(X,Y)的截面曲率也称黎曼曲率。可以验证同一二维切平面的截面曲率与基向量X,Y 的选取无关。
截面曲率完全决定了曲率张量,也就是说,如果在一点P 知道了所有的截面曲率, 那么在这点的曲率张量就决定了。另外,截面曲率满足下面的舒尔定理:如果在连通的黎曼流形(M,g)(n≥3)的各点,截面曲率与方向X,Y无关,那么它与点也无关,因而是常数。这种黎曼流形称为常曲率黎曼空间。常曲率为K 的黎曼流形的曲率张量满足条件
。
由曲率张量缩并而得的张量,即分量为
的二阶协变对称张量称为里奇张量 。 设 
,由
决定的量称为在P点X方向的里奇曲率。由
决定的数量函数S 称为在P 点的数量曲率。
截面曲率、里奇曲率以及数量曲率是非常重要的几何量。研究这些量与黎曼流形的几何性质以及拓扑性质之间的关系是黎曼几何的一个重要课题。例如,嘉当-阿达马定理断言:若一个n维单连通完备黎曼流形的截面曲率处处不大于零,那么它与Rn微分同胚。再如迈尔斯定理断言:若完备黎曼流形的里奇曲率处处大于一个正常数h,那么它必是紧流形而且基本群有限。W.克林格贝格和M.伯热证明的球定理断言:如果完备单连通n维黎曼流形M的截面曲率KM 满足
,那么M与n维欧氏球面Sn同胚。这些结果显示了流形的拓扑性质与度量性质之间有密切的联系。在这方面还有许多未解决的问题。
n 维欧氏空间En中连接两点P、Q 的直线段
是连接P、Q 的所有曲线中最短的,而
的长度就等于P、Q 的距离。 假设C 2曲线
=
是连接P、Q的最短线,t是C 的弧长参数,即
。考虑C 的任意一族变分曲线
0≤t≤
,-ε≤s≤ε,即对固定的s,曲线Cs是连接P、Q的曲线,且C0=C。显然C满足
0,也即最短线必是长度泛函的临界点,由欧拉-拉格朗日方程得到C应满足下列微分方程组:
。 (5)
称满足方程(5)的曲线为测地线,欧氏空间中的测地线就是直线,欧氏球面中的测地线是大圆弧。最短线必是测地线,但反之则不一定成立。例如,欧氏球面上以P、Q为端点的大圆优弧虽是测地线却不是连接P、Q的最短线(应为劣弧)。然而,在局部范围内测地线总是最短线,也就是说,任意点P总存在一个局部邻域U,使得对U 中任意点Q,惟一存在一条完全落在U内的测地线C连结P、Q,而且C的长度等于 P、Q 的距离。一条连接两点P、Q 的测地线,如果它的长度恰好等于P、Q 的距离,就称为极小测地线。显然它就是连接P、Q 的最短线。
从(5)不难看出测地线的另一说法是:测地线是切向量沿自身平行的曲线,即墷TT=0。
方程组(5)是一个二阶常微分方程组,因此任意给定一点P和P点的一个单位切向量 X, 总惟一地存在一条测地线过P点且在 P点与X相切。然而它未必能够无限地延伸。而且任意两点间就也不一定能用一条极小测地线连接。例如,设S2P}为二维欧氏球面S2去掉一点P而得到的曲面,于是处在过P点的同一大圆上充分接近P点而分居P 的两侧的两点P1、P2之间就没有极小测地线。
如果一个黎曼流形(M,g) 的任意测地线都能被开拓成在整个t∈(-∞, +∞) 上定义的测地线,则(M,g)称为完备黎曼流形,或称度量张量 g是完备度量。例如,欧氏空间、欧氏球面等都是完备黎曼流形。任何紧黎曼流形(M,g)(即M本身是紧流形)都是完备黎曼流形。完备黎曼流形上任意两点总能用一条极小测地线连接。这就是著名的霍普夫-里诺定理所断言的事实。
指数映射设P为黎曼流形(M,g)上任意点,V为P点切空间Tp(M)中一个向量,用γV(t)表示从P 点出发以V为初始切向量的测地线,即уV(0)=P,γ塎
(0)=V,若γV(1)有定义,则映射expp∶V
γV(1)称为P点的指数映射,可以证明:存在Tp(M)中原点的一个开邻域U,使得expp是U到expp(U)的微分同胚,此时将expp(U)嶅M中点采用U 中原像点的坐标为坐标得到的坐标称为法坐标, 相应的邻域expp(U)称为P点的法坐标邻域。采用法坐标系,许多几何量有简明的表达式,所以法坐标系是黎曼几何研究中常用的坐标系。对于完备黎曼流形,指数映射expp在整个 Tp(M)上都有定义,但一般不是一对一的。
用三维欧氏空间中的度量来计算曲面上的曲线长度就在曲面上诱导了一个度量,由此展开的微分几何就是经典的曲面论。在黎曼几何中,设M是m维黎曼流形(N,愡)的一个n维浸入子流形,i:M→N是包含映射。如果用N的黎曼度量愡 来计算M的曲线长度,那么在M上得到一个诱导的黎曼度量g(记为i*愡 ),M关于诱导度量称为N 的一个n维黎曼子流形,m-n称为子流形的余维数。如果(x1,x2,…,xn)和(y1,y2,…,ym)分别是 M和N 的局部坐标系,
,那么
,m;i,j=1,2,…,n),N上在点P∈M的一个向量ξp,如果与M在P点的每一切向量都正交,就称为M在P 点的一个法向量。可以取N 的局部正规正交标架{eα},使得限制在M上时,{ei}是M 的一个局部正规正交标架,而{er},r=n+1,…,m,是M 的m-n个互相正交的单位法向量。设{ωα}是对偶基,{ω
}是N 的黎曼联络形式,N 的结构方程为:
这里
是N 的曲率张量,
限制在M上时,
,即ωr=0,因此从第一个方程得到
。由嘉当引理
,且
,称
为子流形M的第二基本形式,正像三维欧氏空间曲面论中一样,第二基本形式在子流形的研究中起着十分重要的作用。N 的结构方程中的第二个方程限制于M上,并取指标α =i,β=j,与M的结构方程相比较,可以得到M的曲率张量
, 称为子流形的高斯方程。如果再取其他的指标值,还可得到子流形的科达齐方程和里奇方程。
由
定义的法向量称为黎曼子流形的平均曲率向量,如同曲面论一样,平均曲率向量等于零的子流形称为极小子流形。特别当子流形的维数等于 2时,称为极小曲面。而余维数等于 1时称为极小超曲面。一维的极小子流形就是测地线。
极小子流形具有明显的变分意义,它是体积泛函的临界点。历史上,极小子流形的研究与J.普拉托问题有密切的联系:设给定了空间中一条闭的可求长的若尔当曲线C,能否找到一个以C为其边界的极小曲面?极小子流形,特别是极小曲面的存在性,惟一性的分类问题构成了黎曼几何研究的一个重要方面。
当第二基本形式恒等于零,即
的极小子流形称为全测地子流形。这时M中的任意一条测地线也是N中的测地线,或者说,M中的平行移动与在外围空间N中的平行移动是完全一致的。
如果两个黎曼流形(M,g)与(N,愡)之间存在映射ƒ∶M→N,使得ƒ(M)嶅N是N 的一个浸入子流形,且g正好是愡诱导而成的,就称ƒ是(M,g)到(N,愡)的一个等距浸入。当ƒ(M)还是嵌入子流形时,就称为等距嵌入。
一个黎曼流形(M,g)能否等距地浸入或嵌入到高维的欧氏空间中成为黎曼子流形以及这种浸入或嵌入的刚性问题是黎曼几何中由来已久的重要而且有兴趣的研究课题。
关于局部等距嵌入,即黎曼流形的一个局部区域等距嵌入到高维欧氏空间的问题,N.雅内特(1926)和É.嘉当(1927)证明了:每个p维的黎曼流形能局部等距嵌入到En中,如果
。
关于整体等距嵌入问题,J.F.纳什(1956)证明了:任何P维紧黎曼流形能整体等距嵌入到
维欧氏空间中,而非紧的黎曼流形能整体等距嵌入到
维欧氏空间中。
黎曼几何研究中另一个重要的课题是研究黎曼流形之间的一些有重要几何意义和物理学背景的映射,其中包括等距映射、共形映射和调和映射等。
两个黎曼流形(M,g)和(N,g┡)之间的一个映射ƒ,如果满足
,其中 σ 是某一函数,即X,Y∈Tp(M)成立
,则称ƒ为共形映射。特别当M与N 的维数相等而且ƒ是微分同胚时,则称(M,g)共形同胚于(N,g┡),如果此时还有σ呏0,即ƒ*g┡=g,则称ƒ是等距映射。
从定义可以看出,在共形映射下两向量的夹角保持不变,而在等距映射下向量的长度也保持不变。如果一个n维黎曼流形(M,g)的任意点都有一个坐标邻域(U,x),使得在U内度量张量
,即g局部共形于平坦度量δij,就称为共形平坦黎曼流形。
任何一个二维黎曼流形都是共形平坦的,这是由于在等温坐标下,度量张量可表为eσ(dx2+dy2)的形式。
在n>3时,共形平坦黎曼流形的特征是用下面定义的张量来刻画的:设在局部坐标系下,黎曼流形(M,g)的度量张量、曲率张量、里奇张量的分量分别为
,数量曲率为s,那么分量为
式中
所确定的张量场称为(M,g)的共形曲率张量。
共形曲率张量在共形映射下不变,由平坦度量gij=δij决定的共形曲率张量恒为零,所以共形平坦黎曼流形的共形曲率张量等于零。实际上,有下面的更进一步的结论:n(n>3)维的黎曼流形是共形平坦的充要条件为它的共形曲率张量等于零。常曲率空间总是共形平坦的。
设ƒ是n维黎曼流形(M,g)到m维黎曼流形(N,g┡)的с2阶映射。在局部坐标系{U,x}嶅M和{V,y}嶅N下,ƒ可以表示为
和
分别表示(M,g)和(N,g┡)的第二类克里斯托费尔符号,那么用分量
决定的向量场称为映射ƒ的张力场,当τα呏0(α =1,2,…,m),就称ƒ为黎曼流形(M,g)到(N, g┡)的调和映射。
调和映射是一类十分重要的映射,有着深刻的几何意义并和规范场理论有着广泛的联系。例如,当M的维数n=1时,调和映射就是N上的测地线,特别当M=s1时,就是闭测地线;当N 是实数轴时,调和映射就是黎曼流形M上的调和函数;当ƒ是等距浸入或等距嵌入时,调和映射就是极小子流形。
由于τα呏0是一个二阶偏微分方程组,因此,调和映射和二阶椭圆型偏微分方程的理论有密切的联系。
调和映射的存在性基本问题可叙述如下:设ƒ0∶(M,g)→(N,g┡)是黎曼流形间的映射,那么在ƒ0的同伦类中是否存在调和映射ƒ?
假定M和N 都是紧无边界流形,J.伊尔斯和J.H.桑普森证明了:当N 具有非正截面曲率时,答案是肯定的,而L.勒梅韦、J.萨克斯和K.K.乌伦贝克证明了:当M的维数等于2,且π21(N)=0时,答案也是肯定的。
如果M和N 都是紧的,而且M有边界时,R.S.哈密顿首先证明:当N具非正截面曲率时,具有给定边界值的调和映射是存在的。
也可类似地定义洛伦茨流形和黎曼流形间的调和映射,这在理论物理中有作用,但还很少研究。谷超豪证明了从闵科夫斯基平面到任意完备黎曼流形的调和映射的初始值问题和边值问题整体解总是存在的。
- 参考书目
- L.P.Eisenhart,RieMannian Geometry,Princeton Univ.Press,Princeton,1949.
- S.Kobayashi and K.Nomizu,Foundations of Diff-erential Geometry,Vol,1~2,John Wiley & Sons,New York,1963、1969.
- W.Klingenberg,RieMannian Geometry,Walter.de Gruyter,Berlin,1982.
- N.J.Hicks, Notes on Differential Geometry,van Vostrand,Princeton,1965.