[拼音]:dixiashui shuizhi fenxi
[外文]:analysis of groundwater quality
应用化学或其他检测技术,测定地下水中各组分含量的方法。它为解决各种水文地质理论和实际问题,提供水质数据。
分类按目的常分为简分析、全分析及专门分析。
(1)简分析,其目的是一般地了解地下水的物理性质和化学成分。分析项目常为:温度、色度、嗅、味及浊度及Ca2+、Mg2+、K+、Na+、CO卲、HCO婣、Cl-、SO厈、总硬度、溶解性总固体、游离二氧化碳、pH值等。
(2)全分析,其目的是详细地了解地下水的物理性质和化学成分,除简分析项目外,增加Fe3+、Fe2+、NH嬃、Al3+、NO婣、NO娛、F-、Br-、I-、暂时硬度、永久硬度、化学需氧量、侵蚀性二氧化碳、硅酸、硼等。
(3)专门分析,根据专门任务的目的与要求,对地下水中某些组分进行的分析。为水文地球化学目的检测铜、铅、锌、铁、锰、镍、钴等微量金属组分,1H、3H、18O、14C等同位素及溶解和逸出的氧、氮、一氧化碳、二氧化碳、甲烷、硫化氢、氩、氦等气体或稀有气体成分;为毒理学目的检测汞、镉、铬、砷、硒、氰化物、挥发酚类、苯并(α )芘、三氯甲烷、四氯化碳、有机氯、有机磷、总α 及总β;为细菌学目的检测总大肠菌群、细菌总数。
分析方法分析化学的各种手段,几乎都已应用于地下水质分析。根据水中欲测组分的含量及要求的分析精度,选择适合的检验方法。滴定法测定Ca2+、Mg2+、Cl-、SO厈、碱度、硬度;比色法测定Fe2+、Fe3+、NH嬃、NO娛、NO婣、Br-、I-、F-;离子选择电极法测定F-、NH嬃、CN-;原子吸收或原子发射光谱法测定钙、镁、铜、铅、锌、镉、铁、锰、镍、钴、铬、钾、钠、锂、铷、铯、锶等;极谱法测定铜、铅、锌、镉、铬、钼、钒、镍、钴、钨及硒;原子荧光光谱法测定砷、硒;离子色谱法测定锂、钠、钾、铵、Cl-、SO厈、NO婣、I-;气相或液相色谱法测定氧、氮、一氧化碳、二氧化碳、甲烷、硫化氢、氩、氦、苯并(α)芘、有机氯及有机磷农药残留物、卤代烷;质谱法测量18O、1H;射气法测量226Ra、222Rn、总α 、总β。
分析结果表示通常用毫克/升、微克/升和毫克当量/升表示。对密度不等于1.00的盐水、卤水等,用克/千克、毫克/千克表示,在报告分析结果时,同时注明水的密度。也可用ppm和ppb表示分析结果。当溶液的密度为1.00时,ppm与毫克当量/升表示的数值是相等的。对于硬度、碱度及酸度,以每升水中含有相当于碳酸钙的毫克数表示。由于硬度几乎全是由钙、镁形成,故也有用毫摩尔/升表示硬度。各国对硬度曾有不同的表示方法。
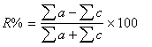
质量保证质量保证包括样品的采集与保存、检验方法、分析测试及质量监控。这些工作中任一环节导致的误差,最终都会传递到分析结果。但不管制度如何完善,误差总是存在,因而对分析结果需从实验室内部和实验室之间两个方面来进行质量评估。对全分析结果的质量评估,曾采用阴离子毫克当量数总和(∑a)与阳离子毫克当量数总和(∑c)是否接近来评估,其偏差为
对一般淡水,当 ∑a∑c>5毫克当量/升时,最大允许偏差为R≤±3%;对∑a+∑c<5毫克当量/升及卤水和严重污染水,则不追求此精度。对于简分析,当钾、钠为实测时,R≤±4%。
在环境监测或微量组分分析中,普遍采用简单数理统计方法,绘制质量控制图和平行双样、加标回收等方法,进行日常质量监控,以评估分析质量和保证分析结果具有可靠性和可比性。