[拼音]:rerong
[外文]:heat capacity
物体在某一过程中,每升高(或降低)单位温度时从外界吸收(或放出)的热量。如传递的热量为 ΔQ温度改变ΔT时,物体在该过程中的热容C被定义为
其单位为 J/K。热容同物质的性质、所处的状态及传递热量的过程有关,并同物质系统的质量成正比。可见,必须指明系统所经历的过程,热容才具有确定的值。热容随过程的不同而不同,它不是态函数。对于一般的流体系统,如气体、液体,在实际问题中经常用到的是系统在等压过程和等容过程的热容,分别称为定压热容CP0和定容热容Cv。
,
,
对实际气体和液体来说,定压热容不仅同温度有关,还同所处的压强有关,因而CP0随温度T、压强p而变化。与此相似, Cv随温度T、体积V而变化。当p或V一定时,热容将只随温度变化。以水为例,在标准大气压下,1克水温度在 0~100°C之间其定压热容随温度的变化如下图所示。
应用热力学第一定律和热力学态函数,还可将CP0和Cv表示为如下的常用形式
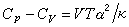
式中H和U为系统的态函数焓和内能。CP0和Cv均可由实验测出,因为实验装置中固定压强较为容易,所以通常测量的是定压热容,而定容热容是通过测量等压膨胀系数α 及等温压缩系数 k,利用关系
而得到(V 为物体的体积,T 为热力学温度)。对气体来说,还可测量出CP0和Cv的比值γ,应用γ=CP0/ Cv,计算得到Cv。
各种不同的系统在一定条件下,有其各自的热容,列表如下:
表中每一种热容均是两个参量的函数,当状态变化的范围较小时,热容实际上可视为常数。当温度趋于绝对零度时,各种物质的热容都趋近于零。
对于单元二相系,还可以引入二相平衡热容的概念。以C娝表示相1的二相平衡热容,其定义是在加热过程中保持相1同相2平衡的条件下,使处于相1的物质温度升高1K所吸收的热量。C姟表示相2的二相平衡热容,即在加热过程中保持相2同相1平衡,使处于相2的物质温度升高1K所吸收的热量。计算表明,一定质量水的二相平衡热容同水的定压热容相差很少。