[拼音]:guangxingcha
[外文]:aberration
在同一瞬间,运动中的观测者所观测到的天体的视方向同静止的观测者所观测到的天体的真方向之差。光行差现象是英国天文学家布拉得雷在1725~1728年发现的。
如图所示,观测者在O点随地球以速度v向A点运动,A为地球运动的奔赴点。对于静止的观测者来说,天体S的真方向应为OS;但对于运动中的观测者来说,实际观测到的天体 S 的视方向则为 OS ′。二者之间的夹角α 称为光行差位移。 如果天体的视方向与奔赴点方向之间的夹角为θ,光速为c,根据古典力学变换光行差位移α 的公式为:
位于地球表面的观测者随着地球运动,地球运动有各种成分,因此就有各种相应的光行差。地球绕日公转造成的光行差称为周年光行差。地球自转造成的光行差称为周日光行差。太阳系的天体(包括地球)随太阳在太空中运动(包括太阳运动和银河系自转两种运动)所产生的光行差称为长期光行差。
周日光行差和周年光行差是由地球的周期性运动引起的,其奔赴点方向呈周期变化,因此这些光行差位移也有相应的周期性。这种具有周期性的光行差现象,使所有天体在天球上的视位置描绘出相应周期的椭圆轨迹,这些椭圆称为光行差椭圆。周年光行差椭圆的半长径约为 20.5,半短径为20.5sinβ,β 为天体的黄纬。周日光行差椭圆的半长径约为0.3cos嗞,嗞为观测者所在的纬度。
由太阳本动产生的长期光行差约为13″,但是方向不变,因而只有在研究相对于无本动太阳的问题时,才需要考虑它的影响。由银河系自转产生的光行差约为100多角秒,虽然它的数值很大,但周期很长(2.5×108年),在数千年中,它的方向也可以看成是不变的,在一般研究中可以不予考虑。如果研究的课题涉及的时间达数十万年以上,这种光行差的影响就同周年光行差相当,必须加以考虑。
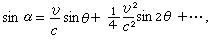
用狭义相对论可以更准确、更完善地解释光行差现象。根据洛伦兹变换可以得出:
式中第一项是上述古典理论的光行差,第二项是光行差的相对论改正。对于周年光行差,后者仅为0.0005。在一般情况下,古典理论已足够精确。二十世纪六十年代以来,由于天体测量的精度提高,某些天文观测已能觉察出后一项的影响。在一些特别精细的研究中,后一项就必须加以考虑。