[拼音]:jibo
[外文]:shock wave
又称冲击波。在流体(液体、气体)和固体中以高于声速传播的并且起压缩作用的波。这里主要说明流体中尤其是气体中的激波。受到压缩的流体同没有受到压缩的流体之间有一个很薄的波阵面把它们隔开,从波阵面前到波阵面后压力有突跃。热力学状态函数熵有增量。波阵面后的压力p2同波阵面前的压力p1的比值p2/p1定量地表示激波的强弱。最弱的激波就是声波,它的传播速度是声速,这时p2/p1接近于1。气体的密度容易改变,气体中p2/p1超过1.05就属于激波,强激波的p2/p1值可达十几(如瓦斯爆轰),更强的激波p2/p1值可达几十直至几十万以上(如炸药或核弹爆炸)。在空气中飞行的物体当气体速度超过声速时,在物体的周围就会产生激波(图1)。水的密度不容易改变,所以它的p2/p1值超过 500~1000以上时才属于激波。在固体中p2/p1值更高时才属于激波。在流体中,激波强度越大,它的传播速度和声速的比就越高。传播的规律和波阵面后介质的运动状况也越不同于声波。激波的衰减、反射、绕射等规律,两个激波相碰撞或互相追赶等现象也不同于声波。
通过激波阵面的压力突然从p1上升到p2是一个热力学的不可逆过程,伴随有熵的增加。在气体中,如果p2/p1值不太大,熵的增加同
的三次方成正比。声波的
很小,因此,可看作没有熵增加的可逆过程。气体激波阵面带着一阵风,就是说造成了阵面后的气体相对于阵面前的气体有高速流。当空气中的p2/p1值达到5.28时,激波阵面后的气流相对于它前面的气流的速度可达
倍的波前声速;p2/p1值达到21.4时,激波阵面后的气流相对于它前面的气流的速度约达 3.4倍的波前声速;激波阵面后的气流的热力学温度T是它前面的 4.53倍。
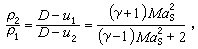
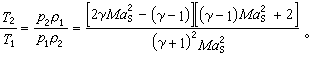
激波阵面很薄,在气体中它的厚度只有分子自由程的量级,在离地面10千米以下较稠密的大气中,它比最薄的纸张还要薄。对激波应用质量、动量、能量等守恒律时,流体力学中把波阵面看作是没有厚度的几何面,在这个面的两侧热力学量(压力 p、密度ρ、声速с)和流速 u的数值都不相同(不连续)。就是说它是一种间断面。对于满足p=ρRT的完全气体,如果比热容比γ是常数,也不考虑在超过1200℃的高温时一氧化氮的形成以及其他分离和电离等现象,那么,p、ρ、u 等值在激波前、后的量之间可用简单的定量关系式。激波阵面的运动速度用D表示(图2),紧贴在波阵面两侧的量:激波阵面前用 p1、ρ1、U1、с1表示;激波阵面后用 p2、ρ2、U2、с2表示。激波相对于激波阵面前气体的传播速度是D-u1(值总大于с1)。通常称
为激波马赫数,它总是大于1,并且也是激波强度的标志。按质量、动量、能量三个守恒律和熵增加的原理可导出公式:
(1)
(2)
(3)
当Mas→1时正是声波的情形。Mas=2.16时u2-u1=
正是前面所举的例子。当 Mas>4.5后,空气的温度超过6000℃时电离显著。离散和电离会使状态方程偏离完全气体的情形,式(1)~(3)的定量结果就不够准确了,但定性趋势还是对的。在实际的近似估算中,常用等效γ<的近似做法,即Mas高时仍用完全气体公式,但取γ<1.4,例如,1.3、1.2,在很高温度时取γ=1.1。
当激波阵面面积足够大时,
=1.06就足以打碎窗玻璃;在
=0.4~0.6时,就足以使动物的肺和肝受到致命的伤害,也足以推倒砖木结构的房屋。