[拼音]:baohong
[外文]:detonation
又称爆震。它是一个伴有大量能量释放的化学反应传输过程。反应区前沿为一以超声速运动的激波,称为爆轰波。爆轰波扫过后,介质成为高温高压的爆轰产物。能够发生爆轰的系统可以是气相、液相、固相或气-液、气-固和液-固等混合相组成的系统。通常把液、固相的爆轰系统称为炸药。
19世纪80年代初,法国物理学家M.贝特洛、P.维埃耶、E.马拉尔和H.-L.勒夏忒列等做过火焰传播实验。他们将一个充满可燃气体混合物的管子一端点燃,发现火焰通常以每秒数厘米到数米的低速传播,但是在某些特殊情况下,这种缓慢的燃烧过程能够转变为高速的特殊燃烧过程,他们称这种现象为爆轰。后来发现,固相和液相炸药也能发生爆轰。
爆轰过程不仅是一个流体动力学过程,还包括复杂的化学反应动力学过程。两者互相影响、互相耦合。爆轰还伴随着热、光、电等效应。爆轰同周围介质相互作用时,周围介质中会产生激波或应力波,推动物体运动,造成物体破坏。人们通常把燃烧(即爆燃)和爆轰联系起来考察。爆轰同燃烧最明显的区别在于传播速度不同。燃烧时火焰传播速度在10-4~10米/秒的量级,小于燃烧物料中的声速;而爆轰波传播速度则在103~104米/秒的量级,大于物料中的声速。例如,化学计量的氢、氧混合物在常压下的燃烧速度为10米/秒,而爆轰速度则约为2820米/秒。爆轰中的化学反应过程高速释放能量。因此,爆轰的功率很大,高效炸药每平方厘米爆轰波阵面的功率高达 1010瓦。这个特点使爆轰成为一种独特的能量转换方式。爆轰现象的研究通常包括爆轰的起爆、爆轰波的结构和爆轰同周围介质的相互作用等问题。
爆轰的起爆
通常应用火花放电或激波使气体混合物起爆,应用雷管和传爆药使药柱起爆。在起爆过程中,激波到爆轰的转变(简称SDT)和爆燃到爆轰的转变(简称DDT)这两个问题是当前爆轰研究中的重要课题。大量的研究表明起爆的过程有两类:
(1)对于气相、液相(不含气泡和杂质)、固相(单晶)均匀系统,初始激波波阵面后的物质整体受热,发生化学反应,并在受热时间最长也即最早受到冲击处转为爆轰。爆轰波在已受到冲击的介质中传播,成为过压爆轰,此过压爆轰波赶上初始激波波阵面而发展成为定常爆轰。
(2)对于液、固态不均匀系统,冲击起爆过程很复杂,初始激波同不均匀系统中的密度不连续处介质相互作用,形成热点,发生化学反应,放出能量加强初始激波,加强的激波同密度不连续处介质相互作用,形成温度更高的热点,使更多的炸药分解,放出更大的能量,这样激波不断得到加强,直接转入定常爆轰。
爆轰波结构
爆轰波的结构是爆轰研究的主要问题。D.L.查普曼于1899年、E.儒盖于1905年分别提出最简单的爆轰波结构理论,后称为C-J理论。20世纪40年代,Я.Б.泽利多维奇 、J.von诺伊曼和W.杜林各自独立地建立起了爆轰波内部结构的模型,后称为ZND模型。
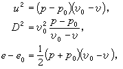
C-J理论它把爆轰波简化为一个冲击压缩间断面,其上的化学反应瞬时完成,在间断面两侧的初态、终态各参量可以用质量、动量和能量三个守恒定律联系起来,经变换可得如下三个方程:
式中p为压强;v为比容(
,ρ为密度);e为比内能;u为质点速度;D为爆轰波传播速度,即爆速;下标"0"表示初态。第二式在p-v平面内为一直线,通常称为瑞利线;第三式称为许贡纽方程,它是p-v平面内的一条曲线,称为许贡纽线(图1)。
一切同初态(p0,v0)满足守恒关系的状态点都在这条线上。爆轰产物的状态方程可写作:
e=e(p,v)。
四个方程中共有五个未知量,要单值确定爆轰参量,还须找出第五个方程。为此,查普曼和儒盖提出了著名的假设(称为C-J假设或C-J条件):稳定爆轰产物的状态对应于许贡纽线和瑞利线的切点J,即C-J点(图1),该点的爆速DJ是极小值,可以证明,在J点有下面关系:
DJ=uJ+cJ,式中c为声速,下标“J”表示J点的值。图1曲线的BA段对应于爆轰过程,AE段不对应于任何实际过程,EF段对应于爆燃过程。 爆轰波和爆燃波的一些性质见表1。
对实际爆轰系统应用C-J理论进行计算,一般都能得到同实验爆速值相近的结果,这表明 C-J理论基本正确。但是,对气相爆轰进行精密测量得到的爆轰压强和密度值,比用C-J理论得到的值约低10%~15%,对爆轰产物实测得到的马赫数比计算的C-J值约高10%~15%。 这表明C-J理论是一种近似理论。另外,炸药的爆轰实际上存在一个有一定宽度的反应区,而且有些反应区的宽度相当大,因此,将爆轰波仅仅看作一个强间断面已不恰当。这说明还须对爆轰波的内部结构进行深入研究。
ZND模型爆轰波具有双层结构:前面一层是以超声速推进的激波,紧跟在后面的一层是化学反应区。激波仍作为一个强间断面,爆轰物质被瞬时地压缩到高温高密度状态,接着开始化学反应,直到反应区末端达到C-J状态,在反应区内忽略粘性和热传导的影响。图2为ZND模型(下方为压强分布)。 除初始物质、爆轰产物和它们的混合物的状态方程外,还必须建立反应速率方程:
式中ξ为化学反应程度变量,称反应进度;t为时间;λ为反应速率,它是压强p、温度T和ξ的函数。在ZND模型中,ξ=0对应于反应区的初态,即激波后的状态;ξ=1对应于反应区的终态。反应区内各点处于热力学平衡状态。在反应区内各点部分反应许贡纽线的方程式为:
。
由瑞利线、许贡纽线和反应速率方程,原则上就能得出反应区内各参量的空间分布或时间分布。对爆轰这样快速过程中的化学反应动力学问题,迄今还了解得很少。
实验研究
20世纪20年代,C.坎贝尔和D.W.伍德黑德在研究气体混合物的爆轰特性时,首先观察到爆轰波中有周期性扰动存在。爆轰波在圆管中传播时,如果在管内壁涂上一薄层银粉或烟碳,可以观察到螺旋线的痕迹,故称此种爆轰为螺旋爆轰。起初以为螺旋爆轰只是在接近临界条件时才出现的一种不稳定现象,但近20年的大量实验研究发现,气体爆轰波阵面都具有复杂的三维结构。在扁平管中,可以观察到在烟碳层平面上具有很规则的胞格结构。在扩展的球形爆轰中也观察到类似的结构。在液体和固体炸药的爆轰中也发现了与气相爆轰相似的胞格结构。观察到的胞格尺寸比正常爆轰反应区的宽度大1~2个数量级。实验表明,除了沿爆轰波传播方向前进的波外,还有横向的弱激波在作周期性的脉动。图3为爆轰波阵面结构。
根据迄今为止的大量的实验研究结果可以设想,爆轰波一般具有不定常、非平面和多波头的胞格结构。C-J状态只是一个宏观热力学的平均状态,它是大量微观或准微观状态的综合表现。因此,尽管C-J假设不能反映复杂的爆轰波结构,仍不失为一较好的近似。横波的机制则至今未明。
同介质的相互作用
当爆轰波同周围介质相互作用时,在介质中产生激波或应力波,推动物体运动,造成层裂、破碎等。爆轰是一种高速的能量转换方式,也是产生动态超高压的一种手段。压力值可达103吉帕。图4为一些材料的冲击绝热线和炸药爆轰产物的反射许贡纽线。两者的交点决定平面爆轰波正冲击时在物料表面产生激波的初始强度。
如果爆轰波不是垂直而是倾斜作用于物料表面,即爆轰波滑移入射(图5),爆轰产物初始运动方向平行于物料表面,在物料中产生的激波强度要小得多。表2给出两种情况下B炸药冲击波压力的比较。
空心装药(shaped charge)就是利用高效炸药爆轰产生的高压,使金属药形罩变形,产生以每秒数千米高速运动的金属射流,具有强烈的侵彻作用,应用于各种破甲武器。
测试和数值计算
爆轰过程压力高(凝聚相爆轰可达10吉帕的量级)、温度高(103开)、 持续时间短(微秒量级),必须有与此相适应的测试技术;爆轰的数值计算技术在爆轰研究工作中应用日益广泛。
测试爆轰测试常用的仪器有高速照相机、 X射线闪光照相机、高分辨的时间测定仪和脉冲示波器等。目前已有:
(1)画幅频率达2×107幅/秒、扫描速度为20~60毫米/微秒、象质分辨率达25线/毫米的转镜式高速照相机;
(2)电压高达3~6兆伏、闪光时间为20纳秒的X射线闪光照相机;
(3)时间分辨率为纳秒的多通道时间测定仪;
(4)可以测量10~30吉帕动态压力、频率响应为 1兆赫以上的动态测量元件。此外,激光干涉测速、激光全息技术和脉冲激光光谱技术等也已逐渐应用于爆轰的测试工作。
数值计算首先是C-J定常爆轰的计算,其次是起爆过程和爆轰与惰性介质相互作用的数值模拟。计算中的一个必要前提是要知道爆轰产物的状态方程。迄今还不能不依赖爆轰数据,仅从炸药的分子结构和基本物理、化学性质得到凝聚相爆轰产物的状态方程。目前引用的BKW状态方程、LJD状态方程、JWL状态方程和JCZ状态方程等都是半经验性质的方程。尽管如此,爆轰的数值计算已能提供许多有用的知识,帮助解决许多工程技术问题,并有利于对爆轰本质的深入研究。例如,C.L.马德提出的FORTRAN BKW计算程序,采用最小自由能法计算多个化学反应产物的平衡组成,不仅可以计算由10种化学元素组成的爆炸物、由20种气体和 5种固体组成的混合体系的C-J爆轰参量,还可以计算许贡纽线和等熵线,给出与实际情况大致符合的定量描述。近年来,爆轰的数值模拟技术有很大进展,发展了一维、二维和三维流体力学计算程序以模拟爆轰产物同惰性介质的相互作用,并且同化学动力学方程、炸药的本构方程(见本构关系)和爆轰产物状态方程结合起来得到均匀的和不均匀的炸药起爆过程的模型,可以预估某种炸药在特定条件下的起爆特性。
几类爆轰
气相、凝聚相(液或固)和多相(混合相)系统中都能发生爆轰。
气相爆轰在同一压力下,若气体混合物的初始温度升高,从而密度减小,则爆速减小;而在同一温度下,若压力升高,密度增大,则爆速增大。在气体混合物中掺入氮或其他惰性气体,会使爆速和爆轰压减小。表3列出一些气体混合物在室温和 1个大气压时的实测爆轰参量值。对于气体混合物,在一定的浓度范围内才能发生爆轰。在此浓度范围外,同样的条件不能引起爆轰。这个浓度范围称为爆轰极限。表 4列出一些气体混合物的爆轰极限值。在浓度极限的范围内,爆速随浓度而改变,不同气体混合物的变化情况不同,有的出现爆速的极大值或极小值。
凝聚相爆轰
即液相或固相的爆轰。凝聚相爆轰系统通常称为炸药。炸药的爆速都随装药密度的增大而增大,一般呈线性关系。表5列出一些液态和固态炸药的实测爆轰参量值。炸药的爆速还随着药柱直径的加大而增大。一般为:
式中R为药柱直径;DR为药柱直径为R时的爆速;D∞为对应于无穷大直径药柱的爆速;K为常数。对于各种炸药药柱,都存在一个最小直径,称为临界直径,例如,密度为1.71克/厘米3的RDX/TNT(65/35)炸药在无外壳情况下的临界直径为4毫米。小于临界直径时,爆轰波不能定常传播。这是由于药柱爆轰时,侧向稀疏波(即膨胀波)传入化学反应区的缘故。单质炸药和混合炸药的临界直径都随炸药颗粒尺寸的减小和药柱初始密度的增大而减小。工业上应用的药包也受药包直径和装药密度的影响。
多相爆轰
包括气、液、固中的二相系统或三相系统中的爆轰。例如,液体燃料同空气混合而成的气溶胶,煤粉、金属粉末同空气的混合物,在一定条件下都能发生爆轰。 所谓燃料空气炸药(FAE)就是一种两相爆轰系统。把环氧乙烷或其他燃料用爆炸的方法分散在空气中,形成云雾,再用引爆装置使云雾爆轰,爆轰波以及空气中形成的激波可以产生足够强烈的破坏作用。这种原理已在武器中得到实际应用。金属粉末、煤粉、谷物粉末等同空气的混合物发生爆轰时,常造成很大灾害,是安全研究中的重要课题。
- 参考书目
- Я.Б.泽尔道维奇、A.C.康巴涅耶茨著,徐华舫译:《爆震原理》,高等教育出版社,北京,1958。(Я.Б.Зельдович и А.С.Компанеец,Τеοрия деmοнаци嬮,Гостехиздат,Μосква,1955.)
- W.Fickett and W. C. Davis, Detonation,Univ.of California Press,Berkeley,Los,Angeles and London,1979.
- C.L.Mader,Numerical Modeling of Detonations,Univ.of California Press,Berkley,Los Angeles and London,1979.