[拼音]:teshu hanshu
[外文]:special function
一些高级超越函数的总称,不是代数函数的完全解析函数通称为超越函数。高级超越函数是超越函数中不为初等函数的泛称。特殊函数多半是从寻求某些数学物理方程的解得出的。它种类繁多,而且不断有新的出现。常见的有:Γ 函数、B 函数、超几何函数、勒让德函数、贝塞尔函数等。一些正交多项式,如雅可比多项式、切比雪夫多项式、埃尔米特多项式、拉盖尔多项式,等等,通常也列入特殊函数的内容中。
特殊函数在物理学,工程技术,计算方法等方面有广泛的应用。研究特殊函数常用的工具是解析函数理论,如围道积分、幂级数展开等等。 L.欧拉、P.-S.拉普拉斯、J.-B.-J.傅里叶等人,都在这方面做过奠基工作。
Γ函数
阶乘n!仅对正整数n及0有意义,扩大到任意复数α,定义阶乘函数为
与阶乘函数密切联系的是Γ函数,它的定义是:当z不为零及负整数时,
Γ(z)是亚纯函数,以0,-1,-2,…为其单极点。Γ(z)满足两个等式:
当α不为零及负整数时,
特殊情形有
n!=(1)n=г(n+1)。
当Re(z)>0时,
当│arg z│≤π-δ(δ>0),│z│→∞ 时,
在这公式中置z=n+1,就可得到斯特林公式
Γ函数是数学中常用的函数之一,许多重要级数的系数,常常用Γ函数表出。
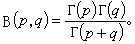
B函数
B函数可以用Γ函数来定义:
当Re(p)>0,Re(q)>0时,
B函数可以用来计算一些定积分的值。例如,当Re(m)>0,Re(n)>0时,
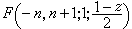
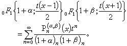
超几何函数
设α,b),с为常数且с不为零及负整数,通常把幂级数
叫做超几何级数。当α=b)=с=1时,它就是几何级数。当α或b)为零或负整数时,它简化成多项式。如果α,b)均不为零及负整数,则它是无穷幂级数,其收敛半径为1,因而在|z|<1 中解析。这时从它出发利用解析开拓可产生完全解析函数。这样的完全解析函数(包括多项式这一特殊情形在内)叫做超几何函数,记作F(α,b);с;z)。这个符号也用来表示上述幂级数。若用θ表示微分算子
,则u=F(α,b);с;z)是高斯微分方程
的一个解。当Re(с)>Re(b))>0,|z|<1时,F(α,b);с;z)
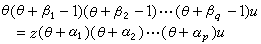
设αj(j=1,2,…,p),βk(k=1,2,…,q)均为常数,且后者不为零及负整数,并设p≤q+1。幂级数
及从它所产生的完全解析函数均可记作
它是微分方程
的一个解。当p=2,q=1时,它就是超几何函数,其余情形叫做广义超几何函数。当p=q=1时,叫做合流超几何函数。
一函数F(z,t),如果通过形式运算(即不管这种运算是否合理)能够展成t的幂级数
不论这个级数是否收敛,只要ƒn(z)有意义,就称F(z,t)为ƒn(z)的母函数。
广义超几何函数及超几何函数可以用来表示多种初等函数、高级超越函数以及它们之中的一些母函数,因而有广泛应用。
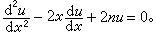
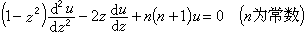
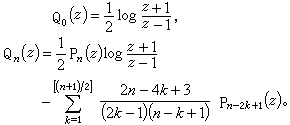
勒让德函数
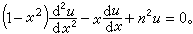
勒让德微分方程
的两个独立解
及
(n≠负整数或负奇数的一半),分别叫做第一类及第二类勒让德函数,并记作 Pn(z),Qn(z)。当n为正整数或零时,Pn(z)为n次多项式,叫做勒让德多项式;而
且
当n为负整数(n=-m-1)时,勒让德微分方程的两个独立解为Pm(z),Qm(z)。当n为负奇数的一半时,
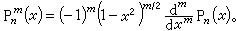
与勒让德函数有密切联系的是连带勒让德函数。当m,n均为整数且0≤m ≤n时,第一类、第二类连带勒让德函数分别为
及
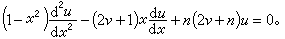
这里z属于在实轴的闭区间[-1,1]上有割线的z面。它们是连带勒让德微分方程
的两个独立解。当-1<x<1时,则规定
当m=1,2,…,n时,
(cosθ)cosmφ,
(cosθ)sinmφ以及Pn(cosθ)构成2n+1个线性无关的n次球面调和函数,可以用来解在球面上满足一定边界条件的拉普拉斯方程
所以在研究电磁、重力、速度等的势函数以及当热平衡时物体的温度要用到它们。
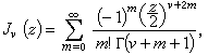
贝塞尔函数
在18世纪中叶欧拉研究圆鼓膜振动问题时,引进了极坐标形式的波动方程
这里α为常数。他采用分离变量法解这个方程,得到贝塞尔微分方程及贝塞尔函数。数年后J.-L.拉格朗日研究行星绕日问题,19世纪初期傅里叶研究圆柱体的热传导问题,都用到贝塞尔函数。所谓贝塞尔微分方程就是形如
的方程,这里v为常数。它的一个解是
称为第一类贝塞尔函数。当v不为整数时,它的另一独立解为
当v为整数n时,则规定
它们称为第二类贝塞尔函数。
设
(z)为两个变量z,v的解析函数,满足一对递推公式
则称
(z)为圆柱函数。J
(z)及Y
(z)均为圆柱函数。圆柱函数可以用来解在圆柱面上满足一定边界条件的拉普拉斯方程及波动方程。
设φ0(x),φ1(x),…,φn(x),…为在开区间(α,b))上有定义的实函数系,ω(x)为定义在(α,b))上的非负函数;如果对任何非负整数m≠n恒有
则称{φn(x)}为在区间(α,b))上以ω(x)为权函数的正交系。如果φn(x)恰为n次多项式,那么φn(x)称为正交多项式。
设v>-1,则J
(z)的零点均为实数,且有无穷个正零点及负零点,其阶均为1。若以j1,j2,j3,…表示J
(z)的正零点按上升顺序的排列,则当v固定时,{J
(jnx)}是在(0,1)上以x为权函数的正交系。
勒让德多项式 Pn(x)
在18世纪后期勒让德研究球体引力及行星绕日运动问题,从母函数
出发,引进了勒让德多项式。它的常用定义是
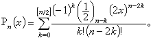
一个多项式如果能够用一个函数的 n阶导数乘上适当的因子表示出来,这种表达式通常叫做这个多项式的罗德里格斯公式。Pn(x)的罗德里格斯公式是
勒让德多项式具有多种积分表示,常用的拉普拉斯第一积分表示为
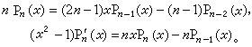
Pn(x)具有递推公式
Pn(x)是在区间(-1,1)中以1为权函数的正交多项式。
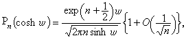
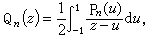
设
=α+iβ,α>0。当
固定,n→∞时,
这里O中常数可取为
,其中A1,A2为绝对常数。当0≤θ≤π时,
Pn(x)有n个单零点,在实轴的开区间(-1,1)中。利用这些零点以及在这些零点处Pń(x)的值,可以构造一种精确度很高的求定积分近似值公式。
1980年前后,有几位数学工作者,利用勒让德多项式,讨论一些数的无理性,扩大了这个古老多项式新的应用,引起人们的重视。
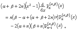
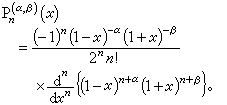
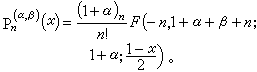
雅可比多项式P
(x)
定义
罗德里格斯公式
母函数
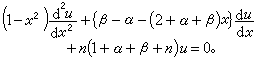
微分方程
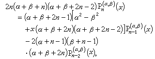
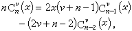
递推公式
正交性
条件α>-1,β>-1;区间(-1,1);权函数(1-x)α(1+x)β。
特殊情形格根堡多项式
勒让德多项式
。
切比雪夫多项式
。
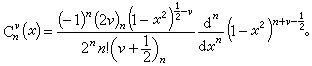
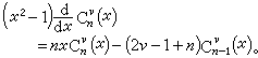
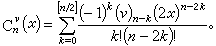
格根堡多项式C
(x)
定义
罗德里格斯公式
母函数
微分方程
递推公式
正交性
条件
;区间(-1,1);权函数
。
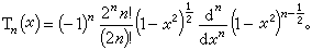
切比雪夫多项式Tn(x)
定义
。
母函数
微分方程
递推公式
,
正交性
区间(-1,1),权函数
。
切比雪夫多项式在函数逼近及计算数学中用到。
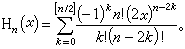
埃尔米特多项式 Hn(x)
定义
罗德里格斯公式
母函数
微分方程
递推公式
正交性
区间(-∞,∞);权函数
。
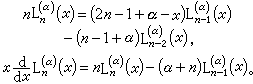
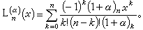
拉盖尔多项式 L
(x)
定义
罗德里格斯公式
母函数
微分方程
递推公式
正交性
条件α>-1;区间(0,∞);权函数xαe-x。
以上所列举的正交多项式都是经典的。在20世纪也引进了许多新的正交多项式,最引人注意的是与贝塞尔函数密切联系的贝塞尔多项式,其定义为
它在证明er的无理性时用到,这里r为有理数。