[拼音]:daishu hanshu
[外文]:algebraic function
由不可约方程
(1)
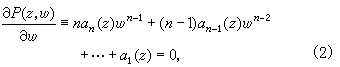
确定的多值函数,式中αj(z)(j=0,1,…,n)是z的多项式。由(1)式和下列方程
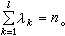
消去w得到的判别式 D(z)是z的非恒为零的多项式。若z0不是D(z)的零点,则p(z0,w)=0恰有n个判别的根wj(j=1,2,…,n)。若再设z0不是αn(z)之零点,则由隐函数定理知,存在 n个判别的正则函数元素(wj(z),B(z0))(j=1,2,…,n)属于方程(1),即在以z0为心的某个圆B(z0)内满足 P(z,wj(z))=0,且wj(z0)=wj(j=1,2,…,n)。若 z0是D(z)之零点,则 P(z0,w)=0 有重根 wk, 设其重级为λk, 且
此时在z0点穿洞的小圆妋(z0)上n个函数元素能分为l个循环
(jk=1,2,…,λk,k=1,2,…,l)并且当沿着在妋(z0)中的曲线围绕z0开拓时,同一循环中的函数元素互相置换。设由 w1(z)在妋(z0)中开拓所得之多值函数为wλ(z),则它可表为某个圆B(z0)内收敛的分数幂级数
此时(wλ(z),B(z0)),是属于方程 (1) 的代数函数元素。当 z0=
时,以ζ=1/z代之,若w1=
,则以u=1/w 代之。再者由属于不可约方程(1)的任一函数元素(正则的或代数的)出发可以用解析开拓方法来联接整个函数,即属于方程 (1)的函数元素经解析开拓所得的函数元素仍属于方程(1),并且任两个属于方程(1)的函数元素能经解析开拓互相得到。因此代数函数是在扩充的复平面╦=C ∪{
}上仅具有有限多个代数分支点和极点的完全解析函数。反之,具有上述特征的完全解析函数,且对于一固定点z0,仅具有有限个以z0为中心的函数元素者,满足一不可约代数方程,且除去一个非零的常数因子外,此方程是惟一的。
应用 B.黎曼的方法可以构造一个新的曲面以代替z平面,使得在此曲面上代数函数为通常的单值函数,这个曲面即是黎曼曲面。相应于代数函数的黎曼曲面是紧的,曲面的亏格即定义为代数函数的亏格。例如,超椭圆曲线 w2=P(z)的亏格
其中P(z)是z的m 次多项式,[α]表示α的整数部分。
由方程(1)联系着的z和w 的有理函数R(z,w)之积分称为阿贝尔积分。
对于这个积分有一系列标准形式,使得任一这类型的积分能通过适当的变数变换变为其中一个标准形式。这个积分是一多值函数,其多值性不仅产生于R 的留数和 w(z)的多值性,而且还依赖于相应的黎曼曲面的拓扑性质。
关于阿贝尔积分之研究还导致代数函数的单值化的可能性问题。代数函数单值化问题是对于方程 (1)所确定的 z和w 的多值对应关系 z凮w,去寻找一个参数表示(z(t),w(t)),其中z(t)和 w(t)是定义于╦ 的子域T上的t的单值函数。代数函数的单值化问题引起了一般单值化理论之发展。19世纪下半叶和20世纪的最初10年,世界上许多杰出的数学家,如黎曼、F.克莱因、H.庞加莱、H.A.施瓦兹、B.H.纽曼和P.克贝等人都作出了重要的贡献,最后于1908年由克贝和庞加莱同时解决。代数函数这个特殊情形的解决,曾引起拓扑学与共形映射理论之结合。对于代数函数单值化的基本结论是:亏格p=0的代数函数由有理函数单值化,即 (z(t),w(t))是两个t的有理函数;亏格p=1时, 由双周期椭圆函数单值化;亏格p≥2时,由单位圆内对某个富克斯群自守的亚纯函数单值化。
代数函数论还沿着算术的方向和几何的方向发展,后者是用几何方法研究代数曲线,并发展为代数几何。
- 参考书目
- P. Appell et E.Goursat,Théorie des Fonctions Algébrique de Leurs Intégralés,T.1~2,Gauthier-Villars,Paris,1929~1930.
- R. Nevanlinna,Uniformisierung, Springer-Verlag, Berlin,1953.