[拼音]:sijingge lilun
[外文]:quasi-lattice theory
由处理固体溶液发展而来的一种溶液理论,是描述大小相近的球形分子所构成的溶液的理论。X射线分析表明,液体和晶体有相似之处,考虑到液体中的短程有序性,把对固溶体的处理方法推广到液体混合物,就成为似晶格溶液理论。
假设溶液中存在似晶格结构,围绕每个分子最邻近的其他分子有一平均数目,叫做配位数,以z表示。假设两种分子具有相似的大小和形状,每个分子占据一个晶格,晶格是坚硬的,不因组成变化而变化,即混合过程体积不变,VE=0。假设混合物的位能可分解为两项:
(1)处在晶格的平衡位置处的分子的相互作用能;
(2)各分子在平衡位置附近的振动能。混合物的配分函数Z为:
Z=Zc·Zv
式中处在晶格平衡位置的分子的配分函数为Zc,它随混合物的组成而变;Zv为振动分子的配分函数。通过计算Zc就可以计算混合吉布斯函数。NA个A分子与NB个B分子混合,如果只考虑最邻近分子的相互作用,则系统的位能就由所有最邻近的分子贡献而成,其混合吉布斯函数为:
式中W为纯A晶格内部的分子与纯 B晶格内部的分子进行交换时生成一对A-B近邻所获得的能量,称为交换能;NAB为成对A-B近邻的数目;gi为NA个A分子与NB个B分子排列成NAB对近邻的排列方法数;k为玻耳兹曼常数;T为热力学温度。
对上式求和,称为布喇格-威廉斯近似,它考虑混合是完全无规的,上式中gi的总和有一最大项,其值为(NA+NB)!/(NA!NB!),以此代替gi的总和,并以完全无规情况下的NAB的平均值NAB=zNANB/(NA+NB)代入,可得过量吉布斯函数GE:
GE=xAxBN0zW
式中N0为阿伏伽德罗数;xA和xB为A和B的摩尔分数。过量熵为:
SE=0
当W<0时,A、B分子有结合的倾向;当W >0时,有分离为两个共存液相的倾向。实验结果表明,过量熵可能为正值或负值,此理论不能解释。如果溶液的交换能不是零,则会造成溶液中分子分布的不同程度的有序。
另一种近似由E.A.古根海姆提出,称为拟化学近似,它考虑混合过程类似于以下交换“反应”平衡:
根据质量作用定律,可有:
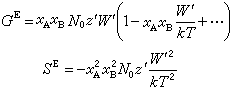
并可以推导出下式:
W′和z′为两个调整参数,所导出的SE恒小于零,这样仍不能解释有些体系的过量熵具有正值的事实,这是似晶格理论的严重缺点。