风力作用

风对地表形态的塑造过程。这种作用表现为风对地表物质的风蚀、搬运和堆积过程,分布范围很广,干旱区、半湿润区乃至湿润区均有分布。干旱区由于具有干燥多风、地表植被稀疏甚至完全裸露等自然特征,因而那里的风力作用很强,成为荒漠地貌发育的主要外营力,形成了与流水、冰川及重力等其他外营力塑造的地形完全不同的风成景观(见风蚀地貌、风积地貌)。

风蚀作用

指地表物质在风力作用下脱离原地的过程。包括吹蚀作用和磨蚀作用。

吹蚀作用

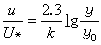
地表松散泥沙或基岩风化碎屑物被风吹扬而离开原地的过程。吹蚀作用的产生取决于近地表的风力状况(流态、流速)和地表泥沙的物理力学性质。由于空气的密度小、粘滞性低,近地表风一般呈紊动状态,其风速的垂直分布基本遵循对数律,方程如下:

公式 符号

其中u为高度y处的风速;k为紊动卡门常数,与温度有关,通常取0.40;y0是风速为零的高度;U*是摩阻流速。风对地表泥沙的拖曳力(或曰剪应力τ)取决于风的摩阻流速和空气密度(ρ)。

公式 符号

风速增大,摩阻流速亦增大,地表泥沙颗粒所受的拖曳力亦随之增加,当风速达到某一程度时就会使地表沙粒开始运动。英国R.A.巴格诺尔德根据起动条件下作用在沙粒上的力的平衡,得出沙粒在开始运动时的最小摩阻流速(又称流体起动条件,U*c)为:

公式 符号

式中ρs为沙粒密度;d为粒径;g为重力加速度;A为经验系数,对于>0.1毫米的石英沙粒其值为0.1。W.J.切皮尔根据作用在沙粒上力的平衡,并考虑到起动现象的随机性,直接用剪切力表示其临界起动值(τc):

公式 符号

式中rsr分别为颗粒和空气比重;d为粒静。两式获得的结果基本相同。

巴格诺尔德在风洞实验中还发现,当沙粒起动以后,由于跃移颗粒的碰撞,风速稍许低于流体起动条件时床面沙粒仍会保持运动,此时A值为0.08,这个起动条件称为冲击起动条件(U*t,又称起动摩阻流速),并表示为(对于石英沙粒):

公式 符号

由上可见,对于>0.1毫米的泥沙颗粒来说,因密度(或比重)和粒径的不同,起始运动所需的风速(临界风速)是不一样的。对于密度相同的泥沙颗粒,临界起动风速将随粒径而变化,遵循平方根律(公式 符号)。这个关系已得到反复证实,而且受颗粒形状等因素的影响很小。根据中国沙漠地区(新疆莎车等地)的观测资料,亦获得十分相似的依存关系(见表)

图

但细粒泥沙(<0.1毫米)并不遵循上述规律,当床面仅由细小颗粒组成时,随着颗粒粒径的减小,流体起动值反而越来越大(图1)。这是由于更细的颗粒一方面受到附面层流层的隐蔽作用,同时易从大气中吸附水分使粒间产生一定粘结力所致。B.弗莱彻通过量纲分析和一系列试验提出包括粗细颗粒在内的统一起动摩阻流速(U*t)公式:

公式 符号

式中v为空气动粘滞系数;c为粒间粘结力。

由图1可以看出,地表最易遭受风力吹蚀的松散泥沙是粒径为 0.1毫米左右的粉细沙,太粗太细均不易为风力所驱动。切皮尔发现等效直径超过 0.5毫米(实际直径0.84毫米)的颗粒(或块体),极少会受到吹蚀(也称之谓不可蚀因子)。钱宁也认为在一般情况下大于粗沙(>1.0毫米)的泥沙颗粒均不易直接为崇力所驱动。风能够在地表吹离更大颗粒的现象是极为罕见的(在南极曾发现有由粒径 5~30毫米颗粒组成的沙波)。因此吹蚀作用通常多限于具有粉细沙颗粒的地域。

图 磨蚀作用

风通过携带的沙粒对地表的冲击、摩擦过程。洁净的风(非挟沙气流)即使是超过临界起动值的,通常也只能对处于松散状态(无粒间粘结力)的一定粒径范围内的颗粒具有吹蚀作用,对于多数地表则是无显著作用的。但是,风如挟沙形成挟沙气流,则以其所携带的泥沙颗粒为工具,对地表会产生巨大的冲击力和摩擦力。试验证明,风所挟带的以高速跃移的颗粒通过冲击方式可以推动直径6倍于它或重量200余倍于它的颗粒;处于不同胶结程度的土壤结壳或泥沙块体,也会因受被吹扬颗粒的滚动或滑动摩擦,特别是跳跃颗粒的撞击而发生崩解和破碎,使地表增加风吹蚀的泥沙数量,加剧风蚀;各种风蚀地貌(特别是正地形)实质上是由挟沙气流塑造的,如风蚀壁龛(石窝)、风蚀蘑菇、雅丹等。

搬运作用

指风所挟带各种不同粒径的泥沙颗粒被输移的过程。

搬运形式

有跃移、悬移和蠕移3种基本形式。

(1)跃移。沙粒由风力上扬作用而脱离地表后,在气流中取得动量加速前移(图2)。由于空气密度比沙粒密度小得多(约1:2000),沙粒所受阻力较小,所以在落到地面时仍有相当动量,或反弹跃起,或冲击其他颗粒跃起,使风沙运动很快达到很大强度。以0.10~0.15毫米的沙粒最易以跃移方式运动。据风洞试验和野外观测资料,天然沙丘沙呈跃移的沙量在气流挟带的全部沙量中所占比例虽随风速增大而增加,但变动不大,平均约占3/4。跃移颗粒的运动轨迹类似一抛物线,降落角较小,一般为10°~16°。起跳角变化较大,约40%的起跳角在30°~50°,28%在60°~80°。跃移长度与高度之比值随起跳角加大而变小。沙粒在跃移过程中还不断旋转,转速达每秒几百转至上千转。

图

(2)悬移。一般小于 0.1毫米的泥沙颗粒由于其沉速通常小于吹蚀风的脉动向上分速,一旦被跃移颗粒逐出地面便以悬移方式运动,其运动性质完全取决于上空气流结构。 T.von卡门曾计算过细粒泥沙自地表外移以后,在空气中持续的时间(T)和所能达到的距离(L):

公式 符号 公式 符号

式中μ为空气粘滞系数;U为平均风速;ε是紊动交换系数,对于较强劲的风可取104~105毫米2/秒。由公式可见,一个数量级的粒径差异会使悬移颗粒在气流中的悬持时间增大 4个数量级。因而较细的粉沙和粘土颗粒容易为气流输移较大的距离并达到较高的高度。在沙丘沙的风力输移中,悬移量所占比例一般不足5%,甚至在1%以下。

(3)蠕移。较大的颗粒因风压或跃移颗粒的冲击作用使之沿地面滚动或滑动。其移动速度很低,平均每秒只有1~2厘米,而跃移颗粒平均速度每秒可达数百厘米。凡在0.5~1.0毫米的粗沙一般均以蠕移方式运动,蠕移量约占全部输沙量的1/4左右。

在风力输移泥沙的各种运动形式中,以跃移为最重要,它是输移沙量的主体。这与以悬移为主的流水输沙不同,产生这种差别的根本原因在于流体介质(空气和水)的密度差异很大(约1:800)。钱宁把上述3种运动形式的泥沙分别称为跃移质、悬移质和蠕移质,跃移质和蠕移质又统称为推移质

搬运高度

挟沙气流中的泥沙在不同高度上的相对含量(或浓度、输沙率)随风力和地表性质等不同而有变化。据中国沙漠地区的观测资料,跃移质含量在各种风速下随高度的分布似遵循对数律,含量随高度增加而递减(图 3)。日本河村等曾从理论上探讨跃移质含量沿垂线的分布,并与实验结果作了比较,得出图4所示的分布规律(其中u0.3为0.3米高处的风速)。跃移质主要集中在地表附近,随风速增大,跃移高度也逐渐增加。

图3 图4

悬移质含沙量在不同高度上的分布遵循幂函数规律,即在对数纸上呈一直线(图5 )。

图

切皮尔在土壤风蚀研究中发现,跃移质、蠕移质和悬移质的相对含量变化很大,跃移量在50~70%、蠕移量在5~25%、悬移量在3~40%的范围内变化。这反映了土壤质地差异的影响。对于荒漠沙丘沙来说,一般情况下悬移量很少,因而其垂直分布主要取于推移质的分布。

搬运强度

即输沙率。输沙率是单位时间单位宽度内在搬运层中所通过的泥沙量,这个数值直接反映风沙活动的强度。各国学者对此推导了很多计算公式,但大多是因地而异的经验计算式,具有一定理论基础而且应用较广的是巴格诺尔德及河村的推移质输沙率公式。

巴格诺尔德以沙粒传输中的动量变化为基础,推导出如下公式:

公式 符号

式中d为所研究的泥沙粒径;D为0.25毫米标准沙的粒径。c值如下:几乎均匀的沙,c=1.5;天然沙丘沙,c=1.8;分选很差的沙,c=2.8。若用一定高度上测得的风速u替代U*,则得:

公式 符号

河村对作用在床面上的剪切力有不同考虑,得到下列方程:

公式 符号

式中k4为实验确定的常数,河村取为2.84×10-3

钱宁在综合比较这两个公式时指出:在U*<40厘米/秒时,河村公式较可靠;在U*=40~70厘米/秒范围内,巴格诺尔德公式更可靠。

影响输沙率的因素很多,它不仅取决于风速和泥沙粒径等因素,而且受地形以及沙层湿度和空气稳定度等影响。因此,在风沙工程实践中仍多采用实测值经统计分析后求得特定条件下的输沙强度。根据中国沙漠地区的观测资料,在干燥裸露的沙质地表输沙强度基本上与(u-ut)3成正比。当风速显著高于临界起动值后,输沙率会急剧增加。

风积作用

由于风力减弱或地面障碍,挟沙气流中的泥沙发生沉落和堆积的过程。悬移质泥沙从原地以悬浮状态被风输移较大的距离,当风速减弱到其脉动向上分速小于颗粒的沉速时,便会在广大地面上较均匀地沉积下来。贴近地面的推移质因地面各种形式的障碍或因地表性质的差异而发生堆积,推移质从吹蚀到堆积的搬运距离常常是有限的。各种障碍物(包括地形起伏)均会使气流受阻,形成涡旋。涡旋的出现增大了阻力,使气流的挟沙能力急剧降低,甚至完全丧失,结果风沙在障碍物附近大量堆积,形成沙堆。地表性质的变化也会导致风沙堆积,如坚硬地面有利于跃移质的弹跳跃起,松软的沙土地面却易发生堆积。

经风力搬运、堆积的物质,称为风成沙。它具有与湖成沙、河成沙和海成沙不同的特点:

(1)风成沙的粒度均一、分选最好,最大粒径一般在1毫米以下,小于0.06毫米的沙粒含量甚少,分选系数多在1.1~1.4之间。

(2)磨圆度较高,据中国各沙漠统计,沙粒磨圆度指数平均为39.99,而非风成沙为29.31。

(3)较大颗粒表面在镜下显出不光整,有麻点和碟形凹坑,具溶蚀痕迹和SiO2淀积物。小于 0.1毫米颗粒这些现象不明显。

(4)风成沙矿物的组成以石英为主,有少量长石和各种重矿物(角内石、绿帘石等,一般有16~22种之多),容易磨损的矿物极少,如易碎的云母在风成沙中很少见到。