电子温度

在假定恒星大气处于热动平衡的条件下,电子的速度分布符合麦克斯韦速度分布律:

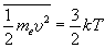
式中ne为电子密度;me为电子质量;k玻耳兹曼常数;v 为电子速度。这就是说,具有一定速度的相对电子数取决于Te所制约的上述分布律,Te就称为气体的电子温度或电子运动温度。电子动能的平均值与 Te 的关系为e。若电子的平均动能由观测得出,则利用这一关系式可求出电子温度。此关系式在非热动平衡的大气(例如日冕、星际气体)中也可应用。在热动平衡态下,只有一个温度;而在非热动平衡态下,描述辐射场的辐射温度TR和描述电子无规运动的电子温度Te以及描述离子(或原子)无规运动的离子温度Ti等均有不同的数值。

根据谱线轮廓的宽度或粒子密度的分布求出太阳色球底层的电子温度大约只有5,000K,而在日冕中电子温度则可高达106K。