[拼音]:tuandong zhikuan
[外文]:turbulence broadening
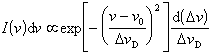
由湍动运动引起的谱线致宽。这种机制是罗斯兰德于1928年提出的。湍动是比原子的尺度大得多而比恒星的半径小得多的气体团的运动。通常把比光子自由程大的湍动称为宏观湍动,比光子自由程小的湍动称为微观湍动。在许多恒星中,都存在因湍动而出现的谱线致宽,特别是在超巨星中更加明显。恒星大气内的原子同时参与两种完全杂乱的运动──热运动和湍动。若视向速度在(ζ,ζ+dζ)内的相对原子数为:
,
式中ζ娭=ζ娿+ζ婈,ζ0为原子热运动的最或然速度,ζt为湍动的最或然速度(都指视向速度),则辐射按频率分布的形式为:
,
式中
。