[拼音]:kekaoxing shuxue lilun
[外文]:mathematical theory of reliability
运用概率统计和运筹学的理论和方法,对单元或系统的可靠性作定量研究。它是可靠性理论的基础之一。所谓可靠性,是指单元或由单元组成的系统在一定条件下完成其预定功能的能力。单元是元件、器件、部件、设备等的泛称。单元或系统的功能丧失,无论其能否修复,都称之为失效。可靠性理论即以失效现象为其研究对象,因而涉及工程设计、失效机理的物理和化学分析、失效数据的收集和处理、可靠性的定量评定以及使用、维修和管理等范围。
可靠性问题的提出,是由于大工业生产及第二次世界大战中研制和使用复杂的军事装备的需要。虽然单元的可靠性不断有很大的提高,但是由于大型系统的结构越来越复杂,要求其完成的功能也越来越广泛,因此定量评定和改善系统可靠性已成为一个重要课题。
通过数学模型定量研究系统的可靠性,并探讨它与系统性能、经济效益之间的关系,是可靠性数学理论的主要方法之一。
可靠性的数量指标
假定系统只有正常和失效两种状态。系统在失效前的一段正常工作时间称为寿命。由于失效是随机现象,因此,寿命可用非负随机变量X 及其分布函数F(t)=P{X ≤t}(见概率分布)来描述。
对失效后不加修复的单元,其可靠性用可靠度来刻画。单元在时刻t的可靠度R(t)定义为:在一定的工作条件下在规定的时间[0,t]中完成其预定功能的概率。因此,若单元的寿命为X,相应的寿命(或失效)分布函数为F(t),则R(t)=P{x>t}=1-F(t),其中t≥0。根据上式的概率含义,可靠度R(t)又称为生存函数。
一个生存到时刻t的单元,称之为有年龄t。在其后长度为x的区间中失效的条件概率为
若
存在,则r(t)称为时刻t的(条件)失效率。当Δt很小时,r(t)Δt可解释为单元生存到t时刻的条件下,在(t,t+Δt]中失效的概率。当X是连续型随机变量,即F′(t)=ƒ(t)存在时,则有r(t)=ƒ(t)/R(t),R(t)>0,此时r(t)与R(t)之间有如下的基本关系R(t)=
。因此,F(t)、R(t)或r(t中任意一个都可用来描述不可修复单元的寿命特征。
对失效后可修复的系统,其状态随时间的进程是正常与失效相交替的一个随机过程。它的可靠性由不同的指标来描述:系统首次失效前的时间T的概率分布及均值;任一时刻t系统正常的概率,即可用度;(0,t]中系统失效次数的分布和均值等。
寿命数据统计分析、寿命分布及分布类、结构函数、网络可靠性、故障树分析、复杂系统可靠性分析以及可靠性中的最优化等,是可靠性数学理论的主要研究内容。
寿命数据统计分析
寿命数据的收集和分析是可靠性定量评定的基础。主要讨论寿命分布类型的确定及其参数估计。由于寿命试验费钱、费时,试验常常不能等到所有受试样本都失效时才结束,此外,现场数据中可能有中途失去观察的情形,因此获得的寿命数据往往是不完全的样本。对于这类不完全样本的参数估计和分布类型检验,在数理统计中有专门的方法来处理,其中以寿命分布是指数时,结果最简单(见寿命数据统计分析)。
寿命分布及分布类
在实际中以下的寿命分布最常使用:
(1)指数分布
,式中t≥0,而λ>0为参数。指数分布的失效率是常数λ,适用于描述某些电子元器件使用期的寿命。
(2)韦布尔分布
称为尺度参数,λ称为形状参数,λ=1即为指数分布。韦布尔分布的失效率为
,
,当 λ<1时,r(t)是单调递减的;当λ>1时,r(t)是单调递增的;当λ=1时,r(t)=λ。由于韦布尔分布的参数适应范围大,已广泛用于描述金属疲劳、真空管、轴承等的寿命。
研究寿命分布的共同性质,需要引入寿命分布类的概念。若对任意固定的x≥0,F(x|t)是t≥0的递增函数,即在同样长的时间间隔x中,单元失效的概率随年龄t增加,则F称为属于失效率递增类,记为F∈IFR。当r(t)存在时,F∈IFR等价于r(t)递增。相仿地,可定义失效率递减类,以及失效率平均递增或递减的类等。
寿命分布类研究中的典型问题有:由属于同一分布类的单元所组成的系统,其寿命是否属于相同的类,以及考察其可靠度界等。
结构函数
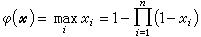
反映单元的状态及由这些单元组成的系统的状态之间的关系。假定系统由n个单元组成,单元与系统都只有两个状态:正常和失效,分别用1和0表示。用变量xi(取值0或1)表示单元i的状态,尣=(x1,x2,…,xn)是单元的状态向量,用函数φ(尣)表示系统的状态,其定义为:
φ(尣)称为系统的结构函数。
通常的系统具有如下的性质:任一单元的失效不会使系统性能改善;系统中不包含多余的对其性能不发生影响的单元。这种系统称为关联系统。这一性质可用结构函数来表达:设φ(尣)是系统的结构函数。对任意的状态向量尣≤у,有φ(尣)≤φ(у),其中尣≤у表示各xi≤yi;对任意的i(1≤i≤n),存在状态向量尣使φ(0i,尣)=0,φ(1i, 尣)=1,其中(0i,尣)及(1i,尣)表示尣的第i个分量分别以0和1代替后所得的向量。
典型的关联系统有:串联系统,即其中任一单元失效则系统失效;并联系统,即当所有单元失效时,则系统失效;k-out-of-n(F)系统,即当其中k或k个以上的单元失效时系统就失效,它是串联或并联系统的推广。在实际中,常用的2-out-of-3(F)系统是由三个单元组成而按多数单元的状态进行表决的系统。这三种系统的结构函数分别为
关联系统研究的问题是复杂系统结构函数的表达式、系统可靠度的求法及其上下界等。为了反映单元和系统功能的渐变性,多状态关联系统的研究已得到重视。
网络可靠性
许多实际系统都可抽象成网络。例如计算机互联网络、通讯网络、输油输气网络等。假定一个网络的顶点和边(见图论)只有正常和失效两种状态,而失效是互相独立的,且已知每个顶点和边正常的概率。从某一顶点能把信息发送到另一个(或 k个)指定的顶点的概率,称为网络的可靠度。在网络可靠度的计算中,因其结构复杂而必须寻找简化网络的方法以及有效的算法,并比较不同算法的优劣。近年来已出现了不少较好的算法,关于计算的复杂性问题也有进展。
故障树分析
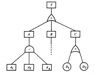
简称 FTA。用演绎法按事件发生的前后逻辑关系,找出引起系统失效或某个不希望出现的事件(称作顶端事件)发生的所有事件的可能组合。例如,研究锅炉爆炸事件T。造成爆炸的原因有诸如压力过大等种种事件A,B,…,D。若A,B,…,D之一发生就会引起T发生,则T与这些事件之间的关系就由逻辑门“或”来表示;若A、B同时发生才引起T发生,则T与A、B之间的关系就由逻辑门“与”来表示;循此下去,对A,B,…,D诸事件逐一分析,直到找出最基本的失效原因(基本事件)为止。这一过程可表示如图
,其形状如倒植的树,所以称之为故障树,其中
表示“或”门;
表示“与”门;
表示事件;○表示基本事件。
对一个顶端事件T 进行故障树分析时,其基本步骤是:建立故障树;定性评定,即找出引起T发生的所有可能的基本事件的组合;定量评定,即根据基本事件发生的概率求T发生的概率。
FTA起源于20世纪60年代初,已用于宇宙航行、核电站安全分析等产业部门。由于这种方法形象直观,便于工程和管理人员使用。这一方法的弱点是建立故障树颇费时间和人力,对于复杂的系统,还难免会漏掉一些重要的失效原因。此外,评定复杂的故障树必须借助于计算机来进行。
对于包含有“非”门及其他逻辑门的故障树的评定方法以及利用计算机辅助建立故障树等,都是目前FTA研究的中心。
复杂系统可靠性分析
一个由1000个单元组成的系统是常见的,若每个单元的可靠度为0.999,单元间彼此独立,任一单元失效均使系统失效,则系统的可靠度为
可见相当之低。因此为提高系统的可靠度(可用度),可采用备件并联工作等手段,或者在系统中引入修理和更换。讨论的问题有:已知系统的结构、单元的寿命和修复(或更换)时间分布、系统中修理工数目和修理规则等,研究系统可靠性的定量指标或者探讨如何合理确定修理工数目或修理规则,使某个目标函数达到最优。通过数学模型,使用马尔可夫过程、更新过程、马尔科夫更新过程、补充变量法等分析方法进行研究,其处理手法与排队论相近。
例如,由一个单元构成的最简单的系统。若系统的寿命和修复时间有参数λ、μ的指数分布,且互相独立。设时刻t=0时系统正常,且失效后修复的系统与新的一样。则系统首次失效前的时间有参数λ的指数分布。利用马尔科夫过程或更新过程可得到时刻t的可用度
以及(0,t]中平均失效次数
当t趋于无穷时,A(t)趋于常数
这表示在稳态下就平均而言,系统可资利用的时间所占的比例,等于一个周斯
中正常工作时间
所占的比例。这个公式为工程技术界广泛采用。
当系统结构复杂时,一般求不出可靠性指标的解析式,常用计算机模拟。
可靠性中的最优化
包括更换策略以及备件最优化问题。
在许多场合,一个运行中的单元失效所带来的损失,远比更换一个未失效单元的费用大得多,因此把那些年龄长的单元及时更换下来是具有实际意义的。从而,要研究不同更换策略下系统可靠性指标的改善以及选择最优策略的问题。
典型的策略有:按年龄更换策略,即当单元年龄到T时或单元在T前失效时进行更换。成批更换策略,即系统在失效时或在时刻kT(k=1,2,…)进行更换。
假定每次更换的费用对失效单元为с1,对未失效单元为с2(с2<с1),则在[0,t]中平均费用为
,这里N 1(t)、N 2(t)分别为[0,t]中失效数和未失效而更换的单元数,E为数学期望。对有限时间t,或无限时间,目标函数分别选作[0,t]中平均费用
或极限平均费用
。所谓策略最优化问题,是指确定最佳更换时间T使目标函数值最小。
备件最优化问题,是研究在一定的资源(如费用、重量、体积等)限制下,如何合理地确定备件数目使系统可靠度达极大。
典型的问题是系统由k个独立的级串联而成,第j级由nj个独立同型的单元并联组成,每个单元的可靠度为pj。假定第j 级要用第i种资源,用量为gij(nj), 它是nj的严格增函数。资源i 的总量为bi,i=1,2,…,m,j=1,2,…,k。求最佳单元配置数目n=(n1,n2,…,nk),使系统可靠度
在约束条件
下达极大。