[拼音]:Nawel-Situokesl fangcheng
[外文]:Navier-Stokes equation
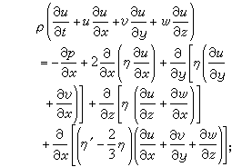
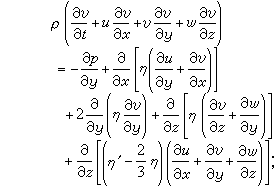
流体的粘性作用不能忽略不计时,由牛顿第二定律得出的流体运动方程。又称N-S方程。当流体运动时,相邻两流体隔离体之间的相互作用,一方面体现为压力(一般说来,压力这个量依赖于密度和温度);另一方面体现为粘性力(而粘性力和变形率有关)。G.G.斯托克斯假设应力张量同变形率张量(见流体力学)成正比。在最一般的情形下,用直角坐标系x、y、z和时间t作自变量,这些方程把速度的三个分量 u、υ、w 同密度ρ、压力p用下列三个微分方程联系起来:
式中η是粘度(或称粘性系数),η'是第二粘度。
和 N-S方程相配的固体壁边界条件是紧靠固体壁的流体附着在固体壁上,并和固体壁同速运动,这叫做流体的附着条件。
同欧拉方程相比,N-S方程多了同粘性有关的项(包含η 和η'的项),它们的项数多、阶次高;固体壁边界条件也多,附着条件比欧拉方程的绕流条件(即允许流体沿固体壁滑过去,也就是比允许沿固体壁切面方向,流体有不同于固体壁的分速度)增多了要求。可见解 N-S方程比解欧拉方程难得多。用位势流理论可以求解欧拉方程,但不用它解N-S方程,关键在于满足不了附着条件。
在很多情形下,流线型物体的边界层的厚度可以不计(或者是把它理解成固体壁的加厚),边界层以外的粘性力(粘度小、变形率也小)也可以不计(见雷诺数),那就相当于在N-S方程中置η=η'=0,使N-S方程就变成了欧拉方程。方程简化了,固体壁处的条件也就松了,即可将绕流条件代替附着条件。
N-S 方程同欧拉方程的上述关系(包括边界条件),说明了在流体力学中不同形式的基本运动方程之间的逻辑上的和谐一致。
从1845年N-S方程建立起,准确满足这方程的有实际意义的解还不多。1970年以来,电子计算机和数值计算方法都有很大发展。用数值方法求解 N-S方程的论文很多,前途很有希望,但仍很艰巨。困难至少有三方面(同解欧拉方程相比):固体壁附近的粘性起显著作用的有旋流动和附着条件过于复杂,尤其是在实际情况下,固体壁的几何形状都很复杂,这就要求计算机有很大的储存量和很高的运算速度;其次是由于激波打到边界层上或由于物体表面形状和外界条件的综合作用,会引起脱体现象,这也是很难算准的;另外更大的困难是对湍流基本机理的理解还不足。
依靠实验室的观测和对实际流动的观测研究,用边界层理论近似地配合欧拉方程求解以获得定量结果,至今仍是多数实际问题的求解方法。