激波关系式

一组联系激波前后介质运动速度、压强、温度、密度等参量的关系式。

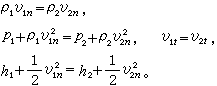
在随激波一起运动的坐标系内,激波是固定不动的。在图1中激波上的P点,联系激波前后介质速度v、压强p、密度ρ和比焓h(单位质量物质的焓)的质量守恒、动量守恒能量守恒方程分别为:

公式 符号

下标1、2分别表示激波前后的参量,nt分别表示沿P点处激波法线方向n和切线方向t的分量。这些基本关系对任何介质,包括气体、液体和固体都适用,但随介质的不同可有不同的表达形式(见固体中的激波)。这些关系式通常称为兰金-许贡纽关系式。为使上述方程组封闭,还应该补充介质的状态方程。气体状态方程研究得比较充分,固体和液体在高温、高压下的状态方程还需要进一步研究。

图

对于比热为常值的完全气体,利用相应的状态方程,可以直接解出斜激波后诸气流参量的关系式:

公式 符号

公式 符号

公式 符号

公式 符号

公式 符号 公式 符号 公式 符号

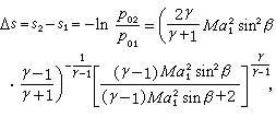
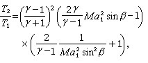
式中c为临界声速(对应于公式 符号=1时的声速);公式 符号1为波前气流的马赫数;β 为激波相对于波前气流方向的倾斜角(图1);Tsp0分别为热力学温度、比熵(单位质量物质的熵)和总压;γ 为比热比。当β 等于90°时,这些关系式就成了正激波关系式

图

在正激波中, 存在关系v1v2=c*2λ1λ2=1,式中λv/c称为速度系数,在流速等于声速时,λ=1。这个关系说明超声速流(λ1>1) 经过正激波变为亚声速流(λ<1),相反的变化则是不可能的。从经正激波的熵增(ΔSS2-S1)同波前马赫数的关系(图2)看出,若波前为亚声速流(公式 符号1<1),则ΔS<0,这违反热力学第二定律,故是不可能的。

图

由质量守恒关系式可直接求出气流经激波后的折角δ同激波倾斜角β的关系:

公式 符号

对于定比热的完全气体,这个关系化为:

公式 符号

对应于一定的公式 符号1,存在一个最大的折角δ公式 符号。在马赫数为公式 符号1的气流遇到一半顶角为α 的尖楔时(图3),若αδ公式 符号,就形成一道依附于尖楔顶端的斜激波;若 αδ公式 符号则产生一道立在尖楔前方的离体弓形激波。

图