[拼音]:daqi tuanliu kuosan
[外文]:turbulent diffusion of atmosphere
相邻的空气质点群,在湍流运动中沿完全不同的轨迹作无规则的运动,使它们之间的距离不断增加,使空气中本来浓度较大的物质,逐渐变得稀疏,相反地,原来在不同地方的物质,也能通过湍流运动而相互混合(见大气湍流)。这种现象和气体或液体中的分子扩散很相似,但两者间的物理过程完全不同,后者是由分子的脉动运动所造成的。
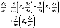
从理论上讲,大气的湍流扩散服从统计规律,宜用统计理论进行研究,但因它和分子扩散现象相似,故最通用的研究方法是借用分子扩散方程的形式,用湍流扩散系数代替分子扩散系数,从这种方程出发进行研究。对于空间任一点(x、y、z),其湍流扩散方程为
一般以平均风向为x方向,y为横风方向,z 为铅直方向。式中x是悬浮物质的浓度,Kx、Ky、Kz分别为x、у、z方向的湍流扩散系数,在非各向同性的湍流扩散中,Kx、Ky、Kz不相等。当扩散源点(排污口)的高度、几何形状以及排放物质的浓度和单位时间内的排放量给定后,即可求出不同气象条件下,扩散物质浓度随空间和时间(t)的分布。在简单的情况下,浓度呈正态分布。
大气湍流扩散过程中,x、у、z 方向上的扩散能力的强弱,由Kx、Ky、Kz来度量。大气中的分子扩散过程甚弱,通常分子扩散系数D≈1.6×10-5米2/秒,与湍流扩散相比几乎可以忽略不计。湍流扩散系数不但是时间和空间的函数,而且依赖于湍流运动的性质和大尺度的气象条件,通常用实验的方法来确定。附图给出烟囱中烟的排放情况与大气层结稳定性的关系。图的右侧为烟的典型形状,左侧为实际气温的铅直分布(实线)和温度的干绝热递减率铅直分布(虚线)(见大气静力稳定度)。如果大气下层为中性稳定层结,上层为稳定层结,则烟不向上扩散,而向下扩散,致使下层烟的浓度增大(b)。通常在大气层结不稳定而且风大的气象条件下,湍流扩散强;而在层结稳定且风小的气象条件下,湍流扩散弱。大气湍流扩散研究,具有重大的实际意义。它和工业排放物对大气的污染直接有关(见空气污染气象学);在军事上也有其重要的用途,如研究核弹爆炸后的尘埃分布等。
- 参考书目
- F.Pasquill,Atmospheric Diffusion,2nd ed.,Ellis Horwood,Chichester,1974.
- D.B.特纳尔著,中国科学院大气物理研究所译:《大气扩散估算手册》,科学技术文献出版社,北京,1978(D.B.Turner,Workbook of Atmospheric Dispersion Estimates,
- U.S.Government Printing Office,Washington,D.C.1970.)